آخر تحديث :
18/03/2026
مخفض المناعة   Ciclosporin  
حقن
المراهم عن طريق الفم  قطرات العين
الاستقرار في حلول استقرار مخاليط العوامل التي تؤثر على الاستقرار التوافق طريقة التعاطي مراجع pdf
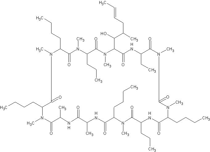
   التركيب الكيميائي  

حجز الاسم التجاري   حجز الاسم التجاري     

تحذير الأسماء التجاريه المختلفه قد تحتوي علي محتوي إضافات مختلفة حسب الدوله و المعمل

Cyclosporine الولايات المتحدة, كندا
Graftin الهند
Sandimmum أستراليا, ألمانيا, أيسلندا, إسبانيا, إيران, إيطاليا, الأرجنتين, الإمارات العربية المتحدة, البرتغال, الدنمارك, السويد, العربية السعودية, المغرب, المكسيك, النرويج, النمسا, ايرلندا, بريطانيا العظمي, بلجيكا, بولندا, بيرو, تركيا, تشيلي, تونس, زيلاندا الجديدة, سويسرا, فنلندا, كولومبيا, لوكسمبورغ, ماليزيا, هنغاريا, يونان
التوافق   حقن   التوافق : Ciclosporin              
This screen indicates the compatibilities or incompatibilities with, in this case, the type of incompatibility (precipitation, color change, modification of an emulsion, etc.). The compatibilities shown here are mostly physical only, with the chemical stability of each molecule rarely being assessed. The evaluation of these mixtures was studied to consider the possibility of Y-site administration to the patient. These data cannot be used for making mixtures in advance in bags or syringes. This type of information is available in the screen "Stability in mixture ».
مركب مذيب مراجع
kompatibel
حقن Ciclosporin 2.5 mg/ml
 التغذية الوريدية (خالية من الدهن) 3948
kompatibel
حقن Ciclosporin 5 mg/ml
حقن Ceftaroline fosamil 2,22 mg/ml
كلوريد الصوديوم 0.9% 3249
kompatibel
حقن Ciclosporin 5 mg/ml
حقن Ceftobiprole medocaril sodium 2 mg/ml
كلوريد الصوديوم 0.9% 2269
kompatibel
حقن Ciclosporin 5 mg/ml
حقن Doripenem 5 mg/ml
كلوريد الصوديوم 0.9% 2262
kompatibel
حقن Ciclosporin 1 mg/ml
حقن Insulin aspart 1 UI/ml
كلوريد الصوديوم 0.9% 1508
kompatibel
حقن Ciclosporin 2 mg/ml
حقن Magnesium sulfate 30 mg/ml
الجلوكوز %5 291
هطول فوري غير متوافق
حقن Ciclosporin 5 mg/ml
التغذية الوريدية (مع الدهون) 1415
kompatibel
حقن Ciclosporin 5 mg/ml
حقن Anidulafungin 0.5 mg/ml
الجلوكوز %5 1982
التعكر الفوري غير متوافق
حقن Ciclosporin 50 mg/ml
حقن Ketamine hydrochloride 50 mg/ml
2109
هطول فوري غير متوافق
حقن Ciclosporin 50 mg/ml
محلول رينجر  اللاكتات 4603
فقدان العكارة غير متوافق
حقن Ciclosporin 5 mg/ml
حقن Amphotericin B cholesteryl sulfate complex 0.83 mg/ml
الجلوكوز %5 921
kompatibel
حقن Ciclosporin 5 mg/ml
حقن Ceftaroline fosamil 2,22 mg/ml
الجلوكوز %5 3249
kompatibel
حقن Ciclosporin 5 mg/ml
حقن Ceftobiprole medocaril sodium 2 mg/ml
محلول رينجر  اللاكتات 2269
التعكر الفوري غير متوافق
حقن Ciclosporin 5 mg/ml
حقن Ceftolozane / tazobactam 10/5 mg/ml
كلوريد الصوديوم 0.9% 3828
التعكر الفوري غير متوافق
حقن Ciclosporin 5 mg/ml
حقن Ceftolozane / tazobactam 10/5 mg/ml
الجلوكوز %5 3828
kompatibel
حقن Ciclosporin 5 mg/ml
حقن Doripenem 5 mg/ml
الجلوكوز %5 2262
kompatibel
حقن Ciclosporin 1 mg/ml
حقن Insulin aspart 1 UI/ml
الجلوكوز %5 1508
التعكر الفوري غير متوافق
حقن Ciclosporin 5 mg/ml
حقن Isavuconazonium sulfate 1.5 mg/ml
الجلوكوز %5 3829
التعكر الفوري غير متوافق
حقن Ciclosporin 5 mg/ml
حقن Isavuconazonium sulfate 1.5 mg/ml
كلوريد الصوديوم 0.9% 3829
kompatibel
حقن Ciclosporin 2,5 mg/ml
التغذية الوريدية (مع الدهون) 2730
التعكر الفوري غير متوافق
حقن Ciclosporin 50 mg/ml
حقن Amoxicillin sodium / clavulanic acid 100/10 mg/ml
3824
kompatibel
حقن Ciclosporin 1.2 mg/ml
حقن Cefmetazole sodium 100 mg/ml
حقن المياه لل 93
kompatibel
حقن Ciclosporin 5 mg/ml
حقن Ceftaroline fosamil 2,22 mg/ml
محلول رينجر  اللاكتات 3249
kompatibel
حقن Ciclosporin 5 mg/ml
حقن Cloxacillin sodium 100 mg/ml
حقن المياه لل 3012
kompatibel
حقن Ciclosporin
حقن Dimenhydrinate
2087
kompatibel
حقن Ciclosporin 50 mg/ml
حقن Ketamine hydrochloride 50 mg/ml
4389
kompatibel
حقن Ciclosporin 5 mg/ml
حقن Linezolid 2 mg/ml
لا شيء 1925
kompatibel
حقن Ciclosporin
 التغذية الوريدية (خالية من الدهن) 3985
هطول الأمطار بعد 4 ساعات غير متوافق
حقن Ciclosporin 5 mg/ml
 التغذية الوريدية (خالية من الدهن) 301
kompatibel
حقن Ciclosporin 2.5 mg/ml
التغذية الوريدية (مع الدهون) 3948
هطول فوري غير متوافق
حقن Ciclosporin 1 mg/ml
حقن Aciclovir sodium 5 mg/ml
كلوريد الصوديوم 0.9% 2335
العكارة في 4 ساعات غير متوافق
حقن Ciclosporin 10 mg/ml
حقن Atenolol 0,1 mg/ml
كلوريد الصوديوم 0.9% 4698
kompatibel
حقن Ciclosporin 5 mg/ml
حقن Caspofungin acetate 0,7 mg/ml
كلوريد الصوديوم 0.9% 2247
kompatibel
حقن Ciclosporin 0,5 mg/ml
حقن Ciprofloxacin lactate 2 mg/ml
كلوريد الصوديوم 0.9% 289
kompatibel
حقن Ciclosporin 0,5 mg/ml
التغذية الوريدية (مع الدهون) 2730
kompatibel
حقن Ciclosporin 1 mg/ml
التغذية الوريدية (مع الدهون) 2730
kompatibel
حقن Ciclosporin 5 mg/ml
حقن Ceftobiprole medocaril sodium 2 mg/ml
الجلوكوز %5 2269
kompatibel
حقن Ciclosporin 1.27 mg/ml
حقن Defibrotide 8 mg/ml
كلوريد الصوديوم 0.9% 3728
kompatibel
حقن Ciclosporin 5 mg/ml
حقن Lansoprazole 0.55 mg/ml
كلوريد الصوديوم 0.9% 1625
kompatibel
حقن Ciclosporin 1 mg/ml
حقن Meropenem 10 mg/ml
الجلوكوز %5 2335
التعكر الفوري غير متوافق
حقن Ciclosporin 5 mg/ml
حقن Telavancin hydrochloride 7.5 mg/ml
محلول رينجر  اللاكتات 3254
kompatibel
حقن Ciclosporin
الجلوكوز %5 3229
kompatibel
حقن Ciclosporin 5 mg/ml
حقن Meropenem 50 mg/ml
حقن المياه لل 4319
إنتاج فقاعات الغاز غير متوافق
حقن Ciclosporin 1 mg/ml
حقن Mycophenolate mofetil 5,9 mg/ml
الجلوكوز %5 2192
kompatibel
حقن Ciclosporin 5 mg/ml
حقن Telavancin hydrochloride 7.5 mg/ml
الجلوكوز %5 3254
kompatibel
حقن Ciclosporin
كلوريد الصوديوم 0.9% 3229
kompatibel
حقن Ciclosporin 5 mg/ml
حقن Micafungin 1.5 mg/ml
كلوريد الصوديوم 0.9% 2108
عدم توافق غير محدد غير متوافق
حقن Ciclosporin 50 mg/ml
حقن N-acetylcysteine 200 mg/ml
لا شيء 3766
هطول فوري غير متوافق
حقن Ciclosporin 50 mg/ml
حقن Naloxone hydrochloride 0.4 mg/ml
لا شيء 3408
هطول فوري غير متوافق
حقن Ciclosporin
حقن Pantoprazole sodium
2090
kompatibel
حقن Ciclosporin 5 mg/ml
حقن Propofol 10 mg/ml
لا شيء 300
هطول فوري غير متوافق
حقن Ciclosporin 50 mg/ml
حقن Salbutamol sulfate 1 mg/ml
لا شيء 3216
kompatibel
حقن Ciclosporin 5 mg/ml
حقن Sargramostim 6 §15 µg/ml
كلوريد الصوديوم 0.9% 891
التعكر الفوري غير متوافق
حقن Ciclosporin 5 mg/ml
حقن Tedizolid phosphate 0.8 mg/ml
كلوريد الصوديوم 0.9% 3827
التعكر الفوري غير متوافق
حقن Ciclosporin 5 mg/ml
حقن Telavancin hydrochloride 7,5 mg/ml
كلوريد الصوديوم 0.9% 3254
هطول فوري غير متوافق
حقن Ciclosporin 50 mg/ml
حقن Thiopental sodium 25 mg/ml
كلوريد الصوديوم 0.9% 3767

  Mentions Légales