Последнее обновление :
18/03/2026
Иммуннодепрессант   Ciclosporin  
Инъекция
Глазные капли Мази Раствор для перорального приёма
Стабильность растворов Стабильность смесей Факторы, которые влияют на стабильность Совместимость Способы введения Библиография pdf
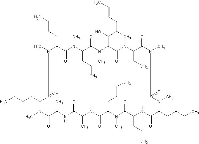
   Химическая структура  

Товарное название   Товарное название     

Trade names are indicative and excipients composition can be different depending on the country and manufacturers

Cyclosporine Канада, Соединённые Штаты Америки
Graftin Индия
Sandimmum Австралия, Австрия, Аргентина, Бельгия, Великобритания, Венгрия, Германия, Греция, Дания, Иран, Ирландия, Исландия, Испания, Италия, Колумбия, Люксембург, Малайзия, Марокко, Мексика, новая Зеландия, Норвегия, Объединенные Арабские Эмираты, Перу, Польша, Португалия, Саудовская Аравия, Тунис, Турция, Финляндия, чили, Швейцария, Швеция
Совместимость   Инъекция   Совместимость : Ciclosporin              
Эта таблица показывает совместимость или несовместимость препаратов, по возможности тип несовместимости (преципитат, смена цвета, разложение эмульсии и др.). Показанные здесь совместимости в основном физические, по возможности указана и химическая стабильность каждой молекулы. Анализ этих смесей произведён для исследования возможности ввести препараты пациенту в Y-соединении систем. Эти данные нельзя использовать, чтобы приготовить лекарства на будущее в мешках или шприцах. Эта информация доступна в разделе "Стабильность смесей".
Молекула Растворитель Ссылки
совместимый
Инъекция Ciclosporin 2.5 mg/ml
Парентеральное питание (бинарная смесь) 3948
совместимый
Инъекция Ciclosporin 5 mg/ml
Инъекция Ceftaroline fosamil 2,22 mg/ml
Натрия хлорид 0,9% 3249
совместимый
Инъекция Ciclosporin 5 mg/ml
Инъекция Ceftobiprole medocaril sodium 2 mg/ml
Натрия хлорид 0,9% 2269
совместимый
Инъекция Ciclosporin 5 mg/ml
Инъекция Doripenem 5 mg/ml
Натрия хлорид 0,9% 2262
совместимый
Инъекция Ciclosporin 1 mg/ml
Инъекция Insulin aspart 1 UI/ml
Натрия хлорид 0,9% 1508
совместимый
Инъекция Ciclosporin 2 mg/ml
Инъекция Magnesium sulfate 30 mg/ml
Глюкоза 5% 291
Немедленные осадки несовместимый
Инъекция Ciclosporin 5 mg/ml
Парентеральное питание (с липидами) 1415
совместимый
Инъекция Ciclosporin 5 mg/ml
Инъекция Anidulafungin 0.5 mg/ml
Глюкоза 5% 1982
Немедленная мутность несовместимый
Инъекция Ciclosporin 50 mg/ml
Инъекция Ketamine hydrochloride 50 mg/ml
2109
Немедленные осадки несовместимый
Инъекция Ciclosporin 50 mg/ml
Раствор Рингера лактата 4603
Потеря мутности несовместимый
Инъекция Ciclosporin 5 mg/ml
Инъекция Amphotericin B cholesteryl sulfate complex 0.83 mg/ml
Глюкоза 5% 921
совместимый
Инъекция Ciclosporin 5 mg/ml
Инъекция Ceftaroline fosamil 2,22 mg/ml
Глюкоза 5% 3249
совместимый
Инъекция Ciclosporin 5 mg/ml
Инъекция Ceftobiprole medocaril sodium 2 mg/ml
Раствор Рингера лактата 2269
Немедленная мутность несовместимый
Инъекция Ciclosporin 5 mg/ml
Инъекция Ceftolozane / tazobactam 10/5 mg/ml
Натрия хлорид 0,9% 3828
Немедленная мутность несовместимый
Инъекция Ciclosporin 5 mg/ml
Инъекция Ceftolozane / tazobactam 10/5 mg/ml
Глюкоза 5% 3828
совместимый
Инъекция Ciclosporin 5 mg/ml
Инъекция Doripenem 5 mg/ml
Глюкоза 5% 2262
совместимый
Инъекция Ciclosporin 1 mg/ml
Инъекция Insulin aspart 1 UI/ml
Глюкоза 5% 1508
Немедленная мутность несовместимый
Инъекция Ciclosporin 5 mg/ml
Инъекция Isavuconazonium sulfate 1.5 mg/ml
Глюкоза 5% 3829
Немедленная мутность несовместимый
Инъекция Ciclosporin 5 mg/ml
Инъекция Isavuconazonium sulfate 1.5 mg/ml
Натрия хлорид 0,9% 3829
совместимый
Инъекция Ciclosporin 2,5 mg/ml
Парентеральное питание (с липидами) 2730
Немедленная мутность несовместимый
Инъекция Ciclosporin 50 mg/ml
Инъекция Amoxicillin sodium / clavulanic acid 100/10 mg/ml
3824
совместимый
Инъекция Ciclosporin 1.2 mg/ml
Инъекция Cefmetazole sodium 100 mg/ml
Вода для инъекций 93
совместимый
Инъекция Ciclosporin 5 mg/ml
Инъекция Ceftaroline fosamil 2,22 mg/ml
Раствор Рингера лактата 3249
совместимый
Инъекция Ciclosporin 5 mg/ml
Инъекция Cloxacillin sodium 100 mg/ml
Вода для инъекций 3012
совместимый
Инъекция Ciclosporin
Инъекция Dimenhydrinate
2087
совместимый
Инъекция Ciclosporin 50 mg/ml
Инъекция Ketamine hydrochloride 50 mg/ml
4389
совместимый
Инъекция Ciclosporin 5 mg/ml
Инъекция Linezolid 2 mg/ml
Нет 1925
совместимый
Инъекция Ciclosporin
Парентеральное питание (бинарная смесь) 3985
Осадки через 4 часа несовместимый
Инъекция Ciclosporin 5 mg/ml
Парентеральное питание (бинарная смесь) 301
совместимый
Инъекция Ciclosporin 2.5 mg/ml
Парентеральное питание (с липидами) 3948
Немедленные осадки несовместимый
Инъекция Ciclosporin 1 mg/ml
Инъекция Aciclovir sodium 5 mg/ml
Натрия хлорид 0,9% 2335
Мутность за 4 часа несовместимый
Инъекция Ciclosporin 10 mg/ml
Инъекция Atenolol 0,1 mg/ml
Натрия хлорид 0,9% 4698
совместимый
Инъекция Ciclosporin 5 mg/ml
Инъекция Caspofungin acetate 0,7 mg/ml
Натрия хлорид 0,9% 2247
совместимый
Инъекция Ciclosporin 0,5 mg/ml
Инъекция Ciprofloxacin lactate 2 mg/ml
Натрия хлорид 0,9% 289
совместимый
Инъекция Ciclosporin 0,5 mg/ml
Парентеральное питание (с липидами) 2730
совместимый
Инъекция Ciclosporin 1 mg/ml
Парентеральное питание (с липидами) 2730
совместимый
Инъекция Ciclosporin 5 mg/ml
Инъекция Ceftobiprole medocaril sodium 2 mg/ml
Глюкоза 5% 2269
совместимый
Инъекция Ciclosporin 1.27 mg/ml
Инъекция Defibrotide 8 mg/ml
Натрия хлорид 0,9% 3728
совместимый
Инъекция Ciclosporin 5 mg/ml
Инъекция Lansoprazole 0.55 mg/ml
Натрия хлорид 0,9% 1625
совместимый
Инъекция Ciclosporin 1 mg/ml
Инъекция Meropenem 10 mg/ml
Глюкоза 5% 2335
Немедленная мутность несовместимый
Инъекция Ciclosporin 5 mg/ml
Инъекция Telavancin hydrochloride 7.5 mg/ml
Раствор Рингера лактата 3254
совместимый
Инъекция Ciclosporin
Глюкоза 5% 3229
совместимый
Инъекция Ciclosporin 5 mg/ml
Инъекция Meropenem 50 mg/ml
Вода для инъекций 4319
Производство пузырьков газа несовместимый
Инъекция Ciclosporin 1 mg/ml
Инъекция Mycophenolate mofetil 5,9 mg/ml
Глюкоза 5% 2192
совместимый
Инъекция Ciclosporin 5 mg/ml
Инъекция Telavancin hydrochloride 7.5 mg/ml
Глюкоза 5% 3254
совместимый
Инъекция Ciclosporin
Натрия хлорид 0,9% 3229
совместимый
Инъекция Ciclosporin 5 mg/ml
Инъекция Micafungin 1.5 mg/ml
Натрия хлорид 0,9% 2108
Неопределенная несовместимость несовместимый
Инъекция Ciclosporin 50 mg/ml
Инъекция N-acetylcysteine 200 mg/ml
Нет 3766
Немедленные осадки несовместимый
Инъекция Ciclosporin 50 mg/ml
Инъекция Naloxone hydrochloride 0.4 mg/ml
Нет 3408
Немедленные осадки несовместимый
Инъекция Ciclosporin
Инъекция Pantoprazole sodium
2090
совместимый
Инъекция Ciclosporin 5 mg/ml
Инъекция Propofol 10 mg/ml
Нет 300
Немедленные осадки несовместимый
Инъекция Ciclosporin 50 mg/ml
Инъекция Salbutamol sulfate 1 mg/ml
Нет 3216
совместимый
Инъекция Ciclosporin 5 mg/ml
Инъекция Sargramostim 6 §15 µg/ml
Натрия хлорид 0,9% 891
Немедленная мутность несовместимый
Инъекция Ciclosporin 5 mg/ml
Инъекция Tedizolid phosphate 0.8 mg/ml
Натрия хлорид 0,9% 3827
Немедленная мутность несовместимый
Инъекция Ciclosporin 5 mg/ml
Инъекция Telavancin hydrochloride 7,5 mg/ml
Натрия хлорид 0,9% 3254
Немедленные осадки несовместимый
Инъекция Ciclosporin 50 mg/ml
Инъекция Thiopental sodium 25 mg/ml
Натрия хлорид 0,9% 3767

  Mentions Légales