Ultimo aggiornamento :
18/03/2026
Immunosoppressore   Ciclosporin  
Iniezione
Collirio Soluzione orale Unguenti
Stabilità in soluzione Stabilità in miscela Fattori che influenzano la stabilità Compatibilità metodo di iniezione Bibliografia pdf
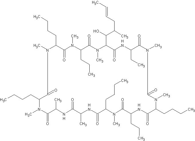
   Struttura chimica  

Nome commerciale   Nome commerciale     

Trade names are indicative and excipients composition can be different depending on the country and manufacturers

Cyclosporine Canada, Stati Uniti d’America
Graftin India
Sandimmum Arabia Saudita, Argentina, Australia, Austria, Belgio, Chile, Colombia, Danimarca, Emirati Arabi Uniti, Finlandia, Germania, Gran Bretagna, Grecia, Iran, Irlanda, Islanda, Italia, Lussemburgo, Malaysia, Marocco, Messico, Norvegia, nuova Zelanda, Perù, Polonia, Portogallo, Spagna, Svezia, Svizzera, Tunisia, Turchia, Ungheria
Compatibilità   Iniezione   Compatibilità : Ciclosporin              
explication_incompatibilite_molecules
Molecola Solvente Bibliografia
Compatibile
Iniezione Ciclosporin 2.5 mg/ml
Nutrizione parenterale (privo di lipidi) 3948
Compatibile
Iniezione Ciclosporin 5 mg/ml
Iniezione Ceftaroline fosamil 2,22 mg/ml
Cloruro di sodio 0,9% 3249
Compatibile
Iniezione Ciclosporin 5 mg/ml
Iniezione Ceftobiprole medocaril sodium 2 mg/ml
Cloruro di sodio 0,9% 2269
Compatibile
Iniezione Ciclosporin 5 mg/ml
Iniezione Doripenem 5 mg/ml
Cloruro di sodio 0,9% 2262
Compatibile
Iniezione Ciclosporin 1 mg/ml
Iniezione Insulin aspart 1 UI/ml
Cloruro di sodio 0,9% 1508
Compatibile
Iniezione Ciclosporin 2 mg/ml
Iniezione Magnesium sulfate 30 mg/ml
Glucosio 5% 291
Precipitazioni immediate Incompatibile
Iniezione Ciclosporin 5 mg/ml
Nutrizione parenterale (con lipidi) 1415
Compatibile
Iniezione Ciclosporin 5 mg/ml
Iniezione Anidulafungin 0.5 mg/ml
Glucosio 5% 1982
Torbidità immediata Incompatibile
Iniezione Ciclosporin 50 mg/ml
Iniezione Ketamine hydrochloride 50 mg/ml
2109
Precipitazioni immediate Incompatibile
Iniezione Ciclosporin 50 mg/ml
Ringer lattato 4603
Perdita di torbidità Incompatibile
Iniezione Ciclosporin 5 mg/ml
Iniezione Amphotericin B cholesteryl sulfate complex 0.83 mg/ml
Glucosio 5% 921
Compatibile
Iniezione Ciclosporin 5 mg/ml
Iniezione Ceftaroline fosamil 2,22 mg/ml
Glucosio 5% 3249
Compatibile
Iniezione Ciclosporin 5 mg/ml
Iniezione Ceftobiprole medocaril sodium 2 mg/ml
Ringer lattato 2269
Torbidità immediata Incompatibile
Iniezione Ciclosporin 5 mg/ml
Iniezione Ceftolozane / tazobactam 10/5 mg/ml
Cloruro di sodio 0,9% 3828
Torbidità immediata Incompatibile
Iniezione Ciclosporin 5 mg/ml
Iniezione Ceftolozane / tazobactam 10/5 mg/ml
Glucosio 5% 3828
Compatibile
Iniezione Ciclosporin 5 mg/ml
Iniezione Doripenem 5 mg/ml
Glucosio 5% 2262
Compatibile
Iniezione Ciclosporin 1 mg/ml
Iniezione Insulin aspart 1 UI/ml
Glucosio 5% 1508
Torbidità immediata Incompatibile
Iniezione Ciclosporin 5 mg/ml
Iniezione Isavuconazonium sulfate 1.5 mg/ml
Glucosio 5% 3829
Torbidità immediata Incompatibile
Iniezione Ciclosporin 5 mg/ml
Iniezione Isavuconazonium sulfate 1.5 mg/ml
Cloruro di sodio 0,9% 3829
Compatibile
Iniezione Ciclosporin 2,5 mg/ml
Nutrizione parenterale (con lipidi) 2730
Torbidità immediata Incompatibile
Iniezione Ciclosporin 50 mg/ml
Iniezione Amoxicillin sodium / clavulanic acid 100/10 mg/ml
3824
Compatibile
Iniezione Ciclosporin 1.2 mg/ml
Iniezione Cefmetazole sodium 100 mg/ml
Acqua per preparato iniettabile 93
Compatibile
Iniezione Ciclosporin 5 mg/ml
Iniezione Ceftaroline fosamil 2,22 mg/ml
Ringer lattato 3249
Compatibile
Iniezione Ciclosporin 5 mg/ml
Iniezione Cloxacillin sodium 100 mg/ml
Acqua per preparato iniettabile 3012
Compatibile
Iniezione Ciclosporin
Iniezione Dimenhydrinate
2087
Compatibile
Iniezione Ciclosporin 50 mg/ml
Iniezione Ketamine hydrochloride 50 mg/ml
4389
Compatibile
Iniezione Ciclosporin 5 mg/ml
Iniezione Linezolid 2 mg/ml
Nessuno 1925
Compatibile
Iniezione Ciclosporin
Nutrizione parenterale (privo di lipidi) 3985
Precipitazioni dopo 4 ore Incompatibile
Iniezione Ciclosporin 5 mg/ml
Nutrizione parenterale (privo di lipidi) 301
Compatibile
Iniezione Ciclosporin 2.5 mg/ml
Nutrizione parenterale (con lipidi) 3948
Precipitazioni immediate Incompatibile
Iniezione Ciclosporin 1 mg/ml
Iniezione Aciclovir sodium 5 mg/ml
Cloruro di sodio 0,9% 2335
Torbidità in 4 ore Incompatibile
Iniezione Ciclosporin 10 mg/ml
Iniezione Atenolol 0,1 mg/ml
Cloruro di sodio 0,9% 4698
Compatibile
Iniezione Ciclosporin 5 mg/ml
Iniezione Caspofungin acetate 0,7 mg/ml
Cloruro di sodio 0,9% 2247
Compatibile
Iniezione Ciclosporin 0,5 mg/ml
Iniezione Ciprofloxacin lactate 2 mg/ml
Cloruro di sodio 0,9% 289
Compatibile
Iniezione Ciclosporin 0,5 mg/ml
Nutrizione parenterale (con lipidi) 2730
Compatibile
Iniezione Ciclosporin 1 mg/ml
Nutrizione parenterale (con lipidi) 2730
Compatibile
Iniezione Ciclosporin 5 mg/ml
Iniezione Ceftobiprole medocaril sodium 2 mg/ml
Glucosio 5% 2269
Compatibile
Iniezione Ciclosporin 1.27 mg/ml
Iniezione Defibrotide 8 mg/ml
Cloruro di sodio 0,9% 3728
Compatibile
Iniezione Ciclosporin 5 mg/ml
Iniezione Lansoprazole 0.55 mg/ml
Cloruro di sodio 0,9% 1625
Compatibile
Iniezione Ciclosporin 1 mg/ml
Iniezione Meropenem 10 mg/ml
Glucosio 5% 2335
Torbidità immediata Incompatibile
Iniezione Ciclosporin 5 mg/ml
Iniezione Telavancin hydrochloride 7.5 mg/ml
Ringer lattato 3254
Compatibile
Iniezione Ciclosporin
Glucosio 5% 3229
Compatibile
Iniezione Ciclosporin 5 mg/ml
Iniezione Meropenem 50 mg/ml
Acqua per preparato iniettabile 4319
Produzione di bolle di gas Incompatibile
Iniezione Ciclosporin 1 mg/ml
Iniezione Mycophenolate mofetil 5,9 mg/ml
Glucosio 5% 2192
Compatibile
Iniezione Ciclosporin 5 mg/ml
Iniezione Telavancin hydrochloride 7.5 mg/ml
Glucosio 5% 3254
Compatibile
Iniezione Ciclosporin
Cloruro di sodio 0,9% 3229
Compatibile
Iniezione Ciclosporin 5 mg/ml
Iniezione Micafungin 1.5 mg/ml
Cloruro di sodio 0,9% 2108
Incompatibilità non specificata Incompatibile
Iniezione Ciclosporin 50 mg/ml
Iniezione N-acetylcysteine 200 mg/ml
Nessuno 3766
Precipitazioni immediate Incompatibile
Iniezione Ciclosporin 50 mg/ml
Iniezione Naloxone hydrochloride 0.4 mg/ml
Nessuno 3408
Precipitazioni immediate Incompatibile
Iniezione Ciclosporin
Iniezione Pantoprazole sodium
2090
Compatibile
Iniezione Ciclosporin 5 mg/ml
Iniezione Propofol 10 mg/ml
Nessuno 300
Precipitazioni immediate Incompatibile
Iniezione Ciclosporin 50 mg/ml
Iniezione Salbutamol sulfate 1 mg/ml
Nessuno 3216
Compatibile
Iniezione Ciclosporin 5 mg/ml
Iniezione Sargramostim 6 §15 µg/ml
Cloruro di sodio 0,9% 891
Torbidità immediata Incompatibile
Iniezione Ciclosporin 5 mg/ml
Iniezione Tedizolid phosphate 0.8 mg/ml
Cloruro di sodio 0,9% 3827
Torbidità immediata Incompatibile
Iniezione Ciclosporin 5 mg/ml
Iniezione Telavancin hydrochloride 7,5 mg/ml
Cloruro di sodio 0,9% 3254
Precipitazioni immediate Incompatibile
Iniezione Ciclosporin 50 mg/ml
Iniezione Thiopental sodium 25 mg/ml
Cloruro di sodio 0,9% 3767

  Mentions Légales