Siste oppdatering :
18/03/2026
Immunosuppressiva   Ciclosporin  
Injeksjon
Mikstur Salver Øyedråper
Oppløsningsstabilitet Stabilitet i blandinger Faktorer som påvirker stabiliteten Kompatibilitet Administrasjonsmåte Referanser pdf
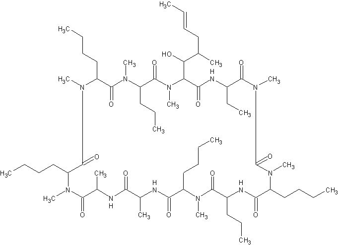
   Kjemisk struktur  

Handelsnavn   Handelsnavn     

Handelsnavn er veiledende og sammensetning av hjelpestoffer kan være forskjellig avhengig av land og produsent

Cyclosporine Canada, USA
Graftin India
Sandimmum Argentina, Australia, Belgia, Chile, Colombia, Danmark, De forente arabiske emirater, Finland, Hellas, Iran, Irland, Island, Italia, Luxembourg, Malaysia, Marokko, Mexico, New Zealand, Norge, Peru, Polen, Portugal, Saudi-Arabia, Spania, Storbritannia, Sveits, Sverige, Tunisia, Tyrkia, Tyskland, Ungarn, Østerrike
Kompatibilitet   Injeksjon   Kompatibilitet : Ciclosporin              
Dette skjermbildet viser kompatibilitet eller inkompatibilitet med, i dette tilfellet, typen inkompatibilitet (nedbør, fargeendring, modifisering av en emulsjon, etc.). Kompatibilitetene som er vist her, er for det meste bare fysiske, og den kjemiske stabiliteten til hvert molekyl blir sjelden vurdert. Evalueringen av disse blandingene ble studert for å vurdere muligheten for Y-stedadministrasjon til pasienten. Disse dataene kan ikke brukes til å lage blandinger på forhånd i poser eller sprøyter. Denne typen informasjon er tilgjengelig på skjermen "Stabilitet i blanding".
Legemiddel Oppløsningsmiddel Referanser
Kompatibel
Injeksjon Ciclosporin 2.5 mg/ml
Parenteral ernæring(lipid-free) 3948
Kompatibel
Injeksjon Ciclosporin 5 mg/ml
Injeksjon Ceftaroline fosamil 2,22 mg/ml
Natriumklorid 0,9 % 3249
Kompatibel
Injeksjon Ciclosporin 5 mg/ml
Injeksjon Ceftobiprole medocaril sodium 2 mg/ml
Natriumklorid 0,9 % 2269
Kompatibel
Injeksjon Ciclosporin 5 mg/ml
Injeksjon Doripenem 5 mg/ml
Natriumklorid 0,9 % 2262
Kompatibel
Injeksjon Ciclosporin 1 mg/ml
Injeksjon Insulin aspart 1 UI/ml
Natriumklorid 0,9 % 1508
Kompatibel
Injeksjon Ciclosporin 2 mg/ml
Injeksjon Magnesium sulfate 30 mg/ml
Glukose 5 % 291
Umiddelbar nedbør Uforenlig
Injeksjon Ciclosporin 5 mg/ml
Parenteral ernæring (med lipider) 1415
Kompatibel
Injeksjon Ciclosporin 5 mg/ml
Injeksjon Anidulafungin 0.5 mg/ml
Glukose 5 % 1982
Umiddelbar turbiditet Uforenlig
Injeksjon Ciclosporin 50 mg/ml
Injeksjon Ketamine hydrochloride 50 mg/ml
2109
Umiddelbar nedbør Uforenlig
Injeksjon Ciclosporin 50 mg/ml
Ringers laktatoppløsning 4603
Tap av turbiditet Uforenlig
Injeksjon Ciclosporin 5 mg/ml
Injeksjon Amphotericin B cholesteryl sulfate complex 0.83 mg/ml
Glukose 5 % 921
Kompatibel
Injeksjon Ciclosporin 5 mg/ml
Injeksjon Ceftaroline fosamil 2,22 mg/ml
Glukose 5 % 3249
Kompatibel
Injeksjon Ciclosporin 5 mg/ml
Injeksjon Ceftobiprole medocaril sodium 2 mg/ml
Ringers laktatoppløsning 2269
Umiddelbar turbiditet Uforenlig
Injeksjon Ciclosporin 5 mg/ml
Injeksjon Ceftolozane / tazobactam 10/5 mg/ml
Natriumklorid 0,9 % 3828
Umiddelbar turbiditet Uforenlig
Injeksjon Ciclosporin 5 mg/ml
Injeksjon Ceftolozane / tazobactam 10/5 mg/ml
Glukose 5 % 3828
Kompatibel
Injeksjon Ciclosporin 5 mg/ml
Injeksjon Doripenem 5 mg/ml
Glukose 5 % 2262
Kompatibel
Injeksjon Ciclosporin 1 mg/ml
Injeksjon Insulin aspart 1 UI/ml
Glukose 5 % 1508
Umiddelbar turbiditet Uforenlig
Injeksjon Ciclosporin 5 mg/ml
Injeksjon Isavuconazonium sulfate 1.5 mg/ml
Glukose 5 % 3829
Umiddelbar turbiditet Uforenlig
Injeksjon Ciclosporin 5 mg/ml
Injeksjon Isavuconazonium sulfate 1.5 mg/ml
Natriumklorid 0,9 % 3829
Kompatibel
Injeksjon Ciclosporin 2,5 mg/ml
Parenteral ernæring (med lipider) 2730
Umiddelbar turbiditet Uforenlig
Injeksjon Ciclosporin 50 mg/ml
Injeksjon Amoxicillin sodium / clavulanic acid 100/10 mg/ml
3824
Kompatibel
Injeksjon Ciclosporin 1.2 mg/ml
Injeksjon Cefmetazole sodium 100 mg/ml
Vann til injeksjon 93
Kompatibel
Injeksjon Ciclosporin 5 mg/ml
Injeksjon Ceftaroline fosamil 2,22 mg/ml
Ringers laktatoppløsning 3249
Kompatibel
Injeksjon Ciclosporin 5 mg/ml
Injeksjon Cloxacillin sodium 100 mg/ml
Vann til injeksjon 3012
Kompatibel
Injeksjon Ciclosporin
Injeksjon Dimenhydrinate
2087
Kompatibel
Injeksjon Ciclosporin 50 mg/ml
Injeksjon Ketamine hydrochloride 50 mg/ml
4389
Kompatibel
Injeksjon Ciclosporin 5 mg/ml
Injeksjon Linezolid 2 mg/ml
Ingen 1925
Kompatibel
Injeksjon Ciclosporin
Parenteral ernæring(lipid-free) 3985
Nedbør etter 4 timer Uforenlig
Injeksjon Ciclosporin 5 mg/ml
Parenteral ernæring(lipid-free) 301
Kompatibel
Injeksjon Ciclosporin 2.5 mg/ml
Parenteral ernæring (med lipider) 3948
Umiddelbar nedbør Uforenlig
Injeksjon Ciclosporin 1 mg/ml
Injeksjon Aciclovir sodium 5 mg/ml
Natriumklorid 0,9 % 2335
Turbiditet på 4 timer Uforenlig
Injeksjon Ciclosporin 10 mg/ml
Injeksjon Atenolol 0,1 mg/ml
Natriumklorid 0,9 % 4698
Kompatibel
Injeksjon Ciclosporin 5 mg/ml
Injeksjon Caspofungin acetate 0,7 mg/ml
Natriumklorid 0,9 % 2247
Kompatibel
Injeksjon Ciclosporin 0,5 mg/ml
Injeksjon Ciprofloxacin lactate 2 mg/ml
Natriumklorid 0,9 % 289
Kompatibel
Injeksjon Ciclosporin 0,5 mg/ml
Parenteral ernæring (med lipider) 2730
Kompatibel
Injeksjon Ciclosporin 1 mg/ml
Parenteral ernæring (med lipider) 2730
Kompatibel
Injeksjon Ciclosporin 5 mg/ml
Injeksjon Ceftobiprole medocaril sodium 2 mg/ml
Glukose 5 % 2269
Kompatibel
Injeksjon Ciclosporin 1.27 mg/ml
Injeksjon Defibrotide 8 mg/ml
Natriumklorid 0,9 % 3728
Kompatibel
Injeksjon Ciclosporin 5 mg/ml
Injeksjon Lansoprazole 0.55 mg/ml
Natriumklorid 0,9 % 1625
Kompatibel
Injeksjon Ciclosporin 1 mg/ml
Injeksjon Meropenem 10 mg/ml
Glukose 5 % 2335
Umiddelbar turbiditet Uforenlig
Injeksjon Ciclosporin 5 mg/ml
Injeksjon Telavancin hydrochloride 7.5 mg/ml
Ringers laktatoppløsning 3254
Kompatibel
Injeksjon Ciclosporin
Glukose 5 % 3229
Kompatibel
Injeksjon Ciclosporin 5 mg/ml
Injeksjon Meropenem 50 mg/ml
Vann til injeksjon 4319
Produksjon av gassbobler Uforenlig
Injeksjon Ciclosporin 1 mg/ml
Injeksjon Mycophenolate mofetil 5,9 mg/ml
Glukose 5 % 2192
Kompatibel
Injeksjon Ciclosporin 5 mg/ml
Injeksjon Telavancin hydrochloride 7.5 mg/ml
Glukose 5 % 3254
Kompatibel
Injeksjon Ciclosporin
Natriumklorid 0,9 % 3229
Kompatibel
Injeksjon Ciclosporin 5 mg/ml
Injeksjon Micafungin 1.5 mg/ml
Natriumklorid 0,9 % 2108
Uspesifisert inkompatibilitet Uforenlig
Injeksjon Ciclosporin 50 mg/ml
Injeksjon N-acetylcysteine 200 mg/ml
Ingen 3766
Umiddelbar nedbør Uforenlig
Injeksjon Ciclosporin 50 mg/ml
Injeksjon Naloxone hydrochloride 0.4 mg/ml
Ingen 3408
Umiddelbar nedbør Uforenlig
Injeksjon Ciclosporin
Injeksjon Pantoprazole sodium
2090
Kompatibel
Injeksjon Ciclosporin 5 mg/ml
Injeksjon Propofol 10 mg/ml
Ingen 300
Umiddelbar nedbør Uforenlig
Injeksjon Ciclosporin 50 mg/ml
Injeksjon Salbutamol sulfate 1 mg/ml
Ingen 3216
Kompatibel
Injeksjon Ciclosporin 5 mg/ml
Injeksjon Sargramostim 6 §15 µg/ml
Natriumklorid 0,9 % 891
Umiddelbar turbiditet Uforenlig
Injeksjon Ciclosporin 5 mg/ml
Injeksjon Tedizolid phosphate 0.8 mg/ml
Natriumklorid 0,9 % 3827
Umiddelbar turbiditet Uforenlig
Injeksjon Ciclosporin 5 mg/ml
Injeksjon Telavancin hydrochloride 7,5 mg/ml
Natriumklorid 0,9 % 3254
Umiddelbar nedbør Uforenlig
Injeksjon Ciclosporin 50 mg/ml
Injeksjon Thiopental sodium 25 mg/ml
Natriumklorid 0,9 % 3767

  Mentions Légales