Poslední aktualizace :
18/03/2026
Imunosupresivum   Ciclosporin  
injekce
Humbuk Masti Perorální roztok
Stabilita roztoků Stabilita směsí Faktory ovlivňující stabilitu Kompatibilita Způsoby aplikace Odkazy pdf
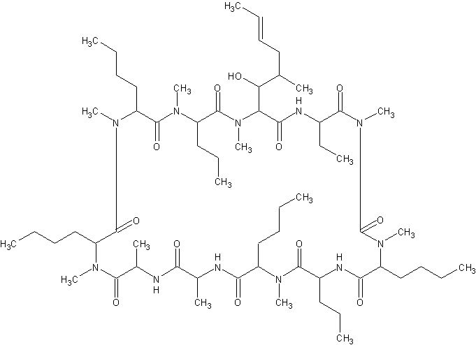
   Chemický vzorec  

Obchodní název   Obchodní název     

Trade names are indicative and excipients composition can be different depending on the country and manufacturers

Cyclosporine Kanada, USA
Graftin Indie
Sandimmum äpanÏlsko, Argentina, Austrálie, Belgie, Chile, Dánsko, Finsko, Írán, Irsko, Island, Itálie, Kolumbie, Lucembursko, Malajsie, MaÔarsko, Maroko, Mexiko, NÏmecko, Norsko, nový Zéland, Peru, Polsko, Portugalsko, Rakousko, Saúdská Arábie, Spojené arabské emiráty, Švédsko, Švýcarsko, Tunisko, Turecko, Velká Británie, ÿecko
Kompatibilita   injekce   Kompatibilita : Ciclosporin              
Tato obrazovka ukazuje kompatibilitu nebo nekompatibilitu s, v tomto případě, typem nekompatibility (srážení, změna barvy, modifikace emulze atd.). Zde uvedené kompatibility jsou většinou pouze fyzikální, přičemž chemická stabilita každé molekuly je zřídka hodnocena. Hodnocení těchto směsí bylo studováno, aby se zvážila možnost podání Y-místa pacientovi. Tyto údaje nelze použít k přípravě směsí předem v pytlích nebo stříkačkách. Tento typ informací je k dispozici na obrazovce „Stabilita ve směsi“.
SlouËenina RozpouötÏdlo Odkazy
Kompatibilní
injekce Ciclosporin 2.5 mg/ml
Parenterální výživa (binární směs) 3948
Kompatibilní
injekce Ciclosporin 5 mg/ml
injekce Ceftaroline fosamil 2,22 mg/ml
Chlorid sodný 0,9% 3249
Kompatibilní
injekce Ciclosporin 5 mg/ml
injekce Ceftobiprole medocaril sodium 2 mg/ml
Chlorid sodný 0,9% 2269
Kompatibilní
injekce Ciclosporin 5 mg/ml
injekce Doripenem 5 mg/ml
Chlorid sodný 0,9% 2262
Kompatibilní
injekce Ciclosporin 1 mg/ml
injekce Insulin aspart 1 UI/ml
Chlorid sodný 0,9% 1508
Kompatibilní
injekce Ciclosporin 2 mg/ml
injekce Magnesium sulfate 30 mg/ml
GlukÛza 5% 291
Okamžité srážení Nekompatibilní
injekce Ciclosporin 5 mg/ml
Parenterální výživa (lipidy) 1415
Kompatibilní
injekce Ciclosporin 5 mg/ml
injekce Anidulafungin 0.5 mg/ml
GlukÛza 5% 1982
Okamžitá zákal Nekompatibilní
injekce Ciclosporin 50 mg/ml
injekce Ketamine hydrochloride 50 mg/ml
2109
Okamžité srážení Nekompatibilní
injekce Ciclosporin 50 mg/ml
RingerŐs laktátový roztok 4603
Ztráta zákalu Nekompatibilní
injekce Ciclosporin 5 mg/ml
injekce Amphotericin B cholesteryl sulfate complex 0.83 mg/ml
GlukÛza 5% 921
Kompatibilní
injekce Ciclosporin 5 mg/ml
injekce Ceftaroline fosamil 2,22 mg/ml
GlukÛza 5% 3249
Kompatibilní
injekce Ciclosporin 5 mg/ml
injekce Ceftobiprole medocaril sodium 2 mg/ml
RingerŐs laktátový roztok 2269
Okamžitá zákal Nekompatibilní
injekce Ciclosporin 5 mg/ml
injekce Ceftolozane / tazobactam 10/5 mg/ml
Chlorid sodný 0,9% 3828
Okamžitá zákal Nekompatibilní
injekce Ciclosporin 5 mg/ml
injekce Ceftolozane / tazobactam 10/5 mg/ml
GlukÛza 5% 3828
Kompatibilní
injekce Ciclosporin 5 mg/ml
injekce Doripenem 5 mg/ml
GlukÛza 5% 2262
Kompatibilní
injekce Ciclosporin 1 mg/ml
injekce Insulin aspart 1 UI/ml
GlukÛza 5% 1508
Okamžitá zákal Nekompatibilní
injekce Ciclosporin 5 mg/ml
injekce Isavuconazonium sulfate 1.5 mg/ml
GlukÛza 5% 3829
Okamžitá zákal Nekompatibilní
injekce Ciclosporin 5 mg/ml
injekce Isavuconazonium sulfate 1.5 mg/ml
Chlorid sodný 0,9% 3829
Kompatibilní
injekce Ciclosporin 2,5 mg/ml
Parenterální výživa (lipidy) 2730
Okamžitá zákal Nekompatibilní
injekce Ciclosporin 50 mg/ml
injekce Amoxicillin sodium / clavulanic acid 100/10 mg/ml
3824
Kompatibilní
injekce Ciclosporin 1.2 mg/ml
injekce Cefmetazole sodium 100 mg/ml
Voda pro injekci 93
Kompatibilní
injekce Ciclosporin 5 mg/ml
injekce Ceftaroline fosamil 2,22 mg/ml
RingerŐs laktátový roztok 3249
Kompatibilní
injekce Ciclosporin 5 mg/ml
injekce Cloxacillin sodium 100 mg/ml
Voda pro injekci 3012
Kompatibilní
injekce Ciclosporin
injekce Dimenhydrinate
2087
Kompatibilní
injekce Ciclosporin 50 mg/ml
injekce Ketamine hydrochloride 50 mg/ml
4389
Kompatibilní
injekce Ciclosporin 5 mg/ml
injekce Linezolid 2 mg/ml
Žádné 1925
Kompatibilní
injekce Ciclosporin
Parenterální výživa (binární směs) 3985
Srážky po 4 hodinách Nekompatibilní
injekce Ciclosporin 5 mg/ml
Parenterální výživa (binární směs) 301
Kompatibilní
injekce Ciclosporin 2.5 mg/ml
Parenterální výživa (lipidy) 3948
Okamžité srážení Nekompatibilní
injekce Ciclosporin 1 mg/ml
injekce Aciclovir sodium 5 mg/ml
Chlorid sodný 0,9% 2335
Zákal za 4 hodiny Nekompatibilní
injekce Ciclosporin 10 mg/ml
injekce Atenolol 0,1 mg/ml
Chlorid sodný 0,9% 4698
Kompatibilní
injekce Ciclosporin 5 mg/ml
injekce Caspofungin acetate 0,7 mg/ml
Chlorid sodný 0,9% 2247
Kompatibilní
injekce Ciclosporin 0,5 mg/ml
injekce Ciprofloxacin lactate 2 mg/ml
Chlorid sodný 0,9% 289
Kompatibilní
injekce Ciclosporin 0,5 mg/ml
Parenterální výživa (lipidy) 2730
Kompatibilní
injekce Ciclosporin 1 mg/ml
Parenterální výživa (lipidy) 2730
Kompatibilní
injekce Ciclosporin 5 mg/ml
injekce Ceftobiprole medocaril sodium 2 mg/ml
GlukÛza 5% 2269
Kompatibilní
injekce Ciclosporin 1.27 mg/ml
injekce Defibrotide 8 mg/ml
Chlorid sodný 0,9% 3728
Kompatibilní
injekce Ciclosporin 5 mg/ml
injekce Lansoprazole 0.55 mg/ml
Chlorid sodný 0,9% 1625
Kompatibilní
injekce Ciclosporin 1 mg/ml
injekce Meropenem 10 mg/ml
GlukÛza 5% 2335
Okamžitá zákal Nekompatibilní
injekce Ciclosporin 5 mg/ml
injekce Telavancin hydrochloride 7.5 mg/ml
RingerŐs laktátový roztok 3254
Kompatibilní
injekce Ciclosporin
GlukÛza 5% 3229
Kompatibilní
injekce Ciclosporin 5 mg/ml
injekce Meropenem 50 mg/ml
Voda pro injekci 4319
Výroba plynových bublin Nekompatibilní
injekce Ciclosporin 1 mg/ml
injekce Mycophenolate mofetil 5,9 mg/ml
GlukÛza 5% 2192
Kompatibilní
injekce Ciclosporin 5 mg/ml
injekce Telavancin hydrochloride 7.5 mg/ml
GlukÛza 5% 3254
Kompatibilní
injekce Ciclosporin
Chlorid sodný 0,9% 3229
Kompatibilní
injekce Ciclosporin 5 mg/ml
injekce Micafungin 1.5 mg/ml
Chlorid sodný 0,9% 2108
Nespecifikovaná nekompatibilita Nekompatibilní
injekce Ciclosporin 50 mg/ml
injekce N-acetylcysteine 200 mg/ml
Žádné 3766
Okamžité srážení Nekompatibilní
injekce Ciclosporin 50 mg/ml
injekce Naloxone hydrochloride 0.4 mg/ml
Žádné 3408
Okamžité srážení Nekompatibilní
injekce Ciclosporin
injekce Pantoprazole sodium
2090
Kompatibilní
injekce Ciclosporin 5 mg/ml
injekce Propofol 10 mg/ml
Žádné 300
Okamžité srážení Nekompatibilní
injekce Ciclosporin 50 mg/ml
injekce Salbutamol sulfate 1 mg/ml
Žádné 3216
Kompatibilní
injekce Ciclosporin 5 mg/ml
injekce Sargramostim 6 §15 µg/ml
Chlorid sodný 0,9% 891
Okamžitá zákal Nekompatibilní
injekce Ciclosporin 5 mg/ml
injekce Tedizolid phosphate 0.8 mg/ml
Chlorid sodný 0,9% 3827
Okamžitá zákal Nekompatibilní
injekce Ciclosporin 5 mg/ml
injekce Telavancin hydrochloride 7,5 mg/ml
Chlorid sodný 0,9% 3254
Okamžité srážení Nekompatibilní
injekce Ciclosporin 50 mg/ml
injekce Thiopental sodium 25 mg/ml
Chlorid sodný 0,9% 3767

  Mentions Légales