Τελευταία ενημέρωση :
18/03/2026
Ανοσοκατασταλτικό   Ciclosporin  
Ενέσιμο
Αλοιφές Οφθαλμικές σταγόνες Πόσιμο διάλυμα
Σταθερότητα διαλυμάτων Σταθερότητα σε μίγματα Παράγοντας που επηρεάζει τη σταθερότητα Συμβατότητες Τρόπος χορήγησης Βιβλιογραφία pdf
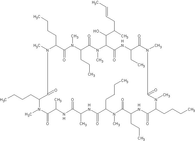
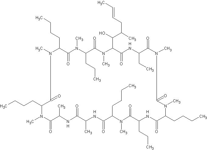
   χημική δομή  

Εμπορική ονομασία   Εμπορική ονομασία     

Οι εμπορικές ονομασίες είναι ενδεικτικές και η σύνθεση των εκδόχων μπορεί να διαφέρει ανάλογα με τη χώρα και τα εργαστήρια

Cyclosporine Η.Π.Α., Καναδάς
Graftin Ινδία
Sandimmum Yhdistyneet arabiemiirikunnat, Αργεντινή, Αυστραλία, Αυστρία, Βέλγιο, Γερμανία, Δανία, Ελβετία, Ελλάδα, Ιράν, Ιρλανδία, Ισλανδία, Ισπανία, Ιταλία, Κολομβία, Λουξεμβούργο, Μαλαισία, Μαρόκο, Μεγάλη Βρετανία, Μεξικό, νέα Ζηλανδία, Νορβηγία, Ουγγαρία, Περού, Πολωνία, Πορτογαλία, Σαουδική Αραβία, Σουηδία, Τουρκία, Τυνησία, Φινλανδία, Χιλή
Συμβατότητες    Ενέσιμο   Συμβατότητες : Ciclosporin              
Σε αυτή την οθόνη εμφανίζονται οι συμβατότητες ή ασυμβατότητες. Σε αυτή την περίπτωση εμφανίζονται το είδος της ασυμβατότητας (ίζημα, αλλαγή χρώματος, μεταβολή γαλακτώματος, κλπ). Οι συμβατότητες που παρουσιάζονται εδώ είναι κυρίως φυσικές, ενώ η χημική σταθερότητα κάθε μορίου σπάνια περιλαμβάνεται. Η αξιολόγηση αυτών των μιγμάτων μελετήθηκε προκειμένου να εκτιμηθεί η πιθανότητα χορήγησης στον ασθενή στο Υ κέντρο. Τα δεδομένα αυτά δεν μπορούν να χρησιμοποιηθούν για την εκ των προτέρων δημιουργία μιγμάτων σε ασκούς ή σύριγγες. Αυτό το είδος πληροφορίας υπάρχει και μπορεί να αναζητηθεί στην οθόνη «Σταθερότητα σε μίγμα».
Συστατικό Διαλυτικό Βιβλιογραφία
Σύμφωνος
Ενέσιμο Ciclosporin 2.5 mg/ml
Παρεντερική  θρέψη (ελεύθερο λιπιδίων) 3948
Σύμφωνος
Ενέσιμο Ciclosporin 5 mg/ml
Ενέσιμο Ceftaroline fosamil 2,22 mg/ml
Χλωριούχο νάτριο 0,9% 3249
Σύμφωνος
Ενέσιμο Ciclosporin 5 mg/ml
Ενέσιμο Ceftobiprole medocaril sodium 2 mg/ml
Χλωριούχο νάτριο 0,9% 2269
Σύμφωνος
Ενέσιμο Ciclosporin 5 mg/ml
Ενέσιμο Doripenem 5 mg/ml
Χλωριούχο νάτριο 0,9% 2262
Σύμφωνος
Ενέσιμο Ciclosporin 1 mg/ml
Ενέσιμο Insulin aspart 1 UI/ml
Χλωριούχο νάτριο 0,9% 1508
Σύμφωνος
Ενέσιμο Ciclosporin 2 mg/ml
Ενέσιμο Magnesium sulfate 30 mg/ml
Γλυκόζη 5% 291
Άμεση βροχόπτωση Ασύμβατες
Ενέσιμο Ciclosporin 5 mg/ml
Παρεντερική διατροφή (με λιπίδια) 1415
Σύμφωνος
Ενέσιμο Ciclosporin 5 mg/ml
Ενέσιμο Anidulafungin 0.5 mg/ml
Γλυκόζη 5% 1982
Άμεση θολότητα Ασύμβατες
Ενέσιμο Ciclosporin 50 mg/ml
Ενέσιμο Ketamine hydrochloride 50 mg/ml
2109
Άμεση βροχόπτωση Ασύμβατες
Ενέσιμο Ciclosporin 50 mg/ml
Γαλακτικό διάλυμα Ringer 4603
Απώλεια θολότητας Ασύμβατες
Ενέσιμο Ciclosporin 5 mg/ml
Ενέσιμο Amphotericin B cholesteryl sulfate complex 0.83 mg/ml
Γλυκόζη 5% 921
Σύμφωνος
Ενέσιμο Ciclosporin 5 mg/ml
Ενέσιμο Ceftaroline fosamil 2,22 mg/ml
Γλυκόζη 5% 3249
Σύμφωνος
Ενέσιμο Ciclosporin 5 mg/ml
Ενέσιμο Ceftobiprole medocaril sodium 2 mg/ml
Γαλακτικό διάλυμα Ringer 2269
Άμεση θολότητα Ασύμβατες
Ενέσιμο Ciclosporin 5 mg/ml
Ενέσιμο Ceftolozane / tazobactam 10/5 mg/ml
Χλωριούχο νάτριο 0,9% 3828
Άμεση θολότητα Ασύμβατες
Ενέσιμο Ciclosporin 5 mg/ml
Ενέσιμο Ceftolozane / tazobactam 10/5 mg/ml
Γλυκόζη 5% 3828
Σύμφωνος
Ενέσιμο Ciclosporin 5 mg/ml
Ενέσιμο Doripenem 5 mg/ml
Γλυκόζη 5% 2262
Σύμφωνος
Ενέσιμο Ciclosporin 1 mg/ml
Ενέσιμο Insulin aspart 1 UI/ml
Γλυκόζη 5% 1508
Άμεση θολότητα Ασύμβατες
Ενέσιμο Ciclosporin 5 mg/ml
Ενέσιμο Isavuconazonium sulfate 1.5 mg/ml
Γλυκόζη 5% 3829
Άμεση θολότητα Ασύμβατες
Ενέσιμο Ciclosporin 5 mg/ml
Ενέσιμο Isavuconazonium sulfate 1.5 mg/ml
Χλωριούχο νάτριο 0,9% 3829
Σύμφωνος
Ενέσιμο Ciclosporin 2,5 mg/ml
Παρεντερική διατροφή (με λιπίδια) 2730
Άμεση θολότητα Ασύμβατες
Ενέσιμο Ciclosporin 50 mg/ml
Ενέσιμο Amoxicillin sodium / clavulanic acid 100/10 mg/ml
3824
Σύμφωνος
Ενέσιμο Ciclosporin 1.2 mg/ml
Ενέσιμο Cefmetazole sodium 100 mg/ml
Ενέσιμο ύδωρ 93
Σύμφωνος
Ενέσιμο Ciclosporin 5 mg/ml
Ενέσιμο Ceftaroline fosamil 2,22 mg/ml
Γαλακτικό διάλυμα Ringer 3249
Σύμφωνος
Ενέσιμο Ciclosporin 5 mg/ml
Ενέσιμο Cloxacillin sodium 100 mg/ml
Ενέσιμο ύδωρ 3012
Σύμφωνος
Ενέσιμο Ciclosporin
Ενέσιμο Dimenhydrinate
2087
Σύμφωνος
Ενέσιμο Ciclosporin 50 mg/ml
Ενέσιμο Ketamine hydrochloride 50 mg/ml
4389
Σύμφωνος
Ενέσιμο Ciclosporin 5 mg/ml
Ενέσιμο Linezolid 2 mg/ml
Ουδέν 1925
Σύμφωνος
Ενέσιμο Ciclosporin
Παρεντερική  θρέψη (ελεύθερο λιπιδίων) 3985
Καταβύθιση μετά από 4 ώρες Ασύμβατες
Ενέσιμο Ciclosporin 5 mg/ml
Παρεντερική  θρέψη (ελεύθερο λιπιδίων) 301
Σύμφωνος
Ενέσιμο Ciclosporin 2.5 mg/ml
Παρεντερική διατροφή (με λιπίδια) 3948
Άμεση βροχόπτωση Ασύμβατες
Ενέσιμο Ciclosporin 1 mg/ml
Ενέσιμο Aciclovir sodium 5 mg/ml
Χλωριούχο νάτριο 0,9% 2335
Θολότητα σε 4 ώρες Ασύμβατες
Ενέσιμο Ciclosporin 10 mg/ml
Ενέσιμο Atenolol 0,1 mg/ml
Χλωριούχο νάτριο 0,9% 4698
Σύμφωνος
Ενέσιμο Ciclosporin 5 mg/ml
Ενέσιμο Caspofungin acetate 0,7 mg/ml
Χλωριούχο νάτριο 0,9% 2247
Σύμφωνος
Ενέσιμο Ciclosporin 0,5 mg/ml
Ενέσιμο Ciprofloxacin lactate 2 mg/ml
Χλωριούχο νάτριο 0,9% 289
Σύμφωνος
Ενέσιμο Ciclosporin 0,5 mg/ml
Παρεντερική διατροφή (με λιπίδια) 2730
Σύμφωνος
Ενέσιμο Ciclosporin 1 mg/ml
Παρεντερική διατροφή (με λιπίδια) 2730
Σύμφωνος
Ενέσιμο Ciclosporin 5 mg/ml
Ενέσιμο Ceftobiprole medocaril sodium 2 mg/ml
Γλυκόζη 5% 2269
Σύμφωνος
Ενέσιμο Ciclosporin 1.27 mg/ml
Ενέσιμο Defibrotide 8 mg/ml
Χλωριούχο νάτριο 0,9% 3728
Σύμφωνος
Ενέσιμο Ciclosporin 5 mg/ml
Ενέσιμο Lansoprazole 0.55 mg/ml
Χλωριούχο νάτριο 0,9% 1625
Σύμφωνος
Ενέσιμο Ciclosporin 1 mg/ml
Ενέσιμο Meropenem 10 mg/ml
Γλυκόζη 5% 2335
Άμεση θολότητα Ασύμβατες
Ενέσιμο Ciclosporin 5 mg/ml
Ενέσιμο Telavancin hydrochloride 7.5 mg/ml
Γαλακτικό διάλυμα Ringer 3254
Σύμφωνος
Ενέσιμο Ciclosporin
Γλυκόζη 5% 3229
Σύμφωνος
Ενέσιμο Ciclosporin 5 mg/ml
Ενέσιμο Meropenem 50 mg/ml
Ενέσιμο ύδωρ 4319
Παραγωγή φυσαλίδων αερίου Ασύμβατες
Ενέσιμο Ciclosporin 1 mg/ml
Ενέσιμο Mycophenolate mofetil 5,9 mg/ml
Γλυκόζη 5% 2192
Σύμφωνος
Ενέσιμο Ciclosporin 5 mg/ml
Ενέσιμο Telavancin hydrochloride 7.5 mg/ml
Γλυκόζη 5% 3254
Σύμφωνος
Ενέσιμο Ciclosporin
Χλωριούχο νάτριο 0,9% 3229
Σύμφωνος
Ενέσιμο Ciclosporin 5 mg/ml
Ενέσιμο Micafungin 1.5 mg/ml
Χλωριούχο νάτριο 0,9% 2108
Απροσδιόριστη ασυμβατότητα Ασύμβατες
Ενέσιμο Ciclosporin 50 mg/ml
Ενέσιμο N-acetylcysteine 200 mg/ml
Ουδέν 3766
Άμεση βροχόπτωση Ασύμβατες
Ενέσιμο Ciclosporin 50 mg/ml
Ενέσιμο Naloxone hydrochloride 0.4 mg/ml
Ουδέν 3408
Άμεση βροχόπτωση Ασύμβατες
Ενέσιμο Ciclosporin
Ενέσιμο Pantoprazole sodium
2090
Σύμφωνος
Ενέσιμο Ciclosporin 5 mg/ml
Ενέσιμο Propofol 10 mg/ml
Ουδέν 300
Άμεση βροχόπτωση Ασύμβατες
Ενέσιμο Ciclosporin 50 mg/ml
Ενέσιμο Salbutamol sulfate 1 mg/ml
Ουδέν 3216
Σύμφωνος
Ενέσιμο Ciclosporin 5 mg/ml
Ενέσιμο Sargramostim 6 §15 µg/ml
Χλωριούχο νάτριο 0,9% 891
Άμεση θολότητα Ασύμβατες
Ενέσιμο Ciclosporin 5 mg/ml
Ενέσιμο Tedizolid phosphate 0.8 mg/ml
Χλωριούχο νάτριο 0,9% 3827
Άμεση θολότητα Ασύμβατες
Ενέσιμο Ciclosporin 5 mg/ml
Ενέσιμο Telavancin hydrochloride 7,5 mg/ml
Χλωριούχο νάτριο 0,9% 3254
Άμεση βροχόπτωση Ασύμβατες
Ενέσιμο Ciclosporin 50 mg/ml
Ενέσιμο Thiopental sodium 25 mg/ml
Χλωριούχο νάτριο 0,9% 3767

  Mentions Légales