最新更新 :
18/03/2026
免疫抑制剂   Ciclosporin  
注射液
口服剂 眼药水 药膏
溶液稳定性 混合物稳定性 影响稳定性的因素 兼容性 用药途径 引用文献 PDF
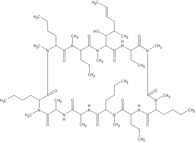
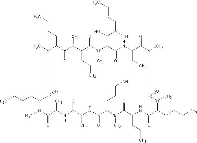
   化学式  

商品名   商品名     

商品名仅供参考, 药品所用的辅料可能依国家或厂商不同有所不同。

Cyclosporine 加拿大, 美国
Graftin 印度
Sandimmum 丹麦, 伊朗, 冰岛, 匈牙利, 卢森堡, 哥伦比亚, 土耳其, 墨西哥, 奥地利, 希腊, 德国, 意大利, 挪威, 摩洛哥, 新西蘭, 智利, 比利时, 沙特阿拉伯, 波兰, 澳大利亚, 爱尔兰, 瑞典, 瑞士, 秘鲁, 突尼斯, 芬兰, 英国, 葡萄牙, 西班牙, 阿根廷, 阿联酋, 马来西亚
兼容性   注射液   兼容性 : Ciclosporin              
This screen indicates the compatibilities or incompatibilities with, in this case, the type of incompatibility (precipitation, color change, modification of an emulsion, etc.). The compatibilities shown here are mostly physical only, with the chemical stability of each molecule rarely being assessed. The evaluation of these mixtures was studied to consider the possibility of Y-site administration to the patient. These data cannot be used for making mixtures in advance in bags or syringes. This type of information is available in the screen "Stability in mixture ».
分子 溶剂 引用文献
兼容
注射液 Ciclosporin 2.5 mg/ml
肠外营养(二种混合物) 3948
兼容
注射液 Ciclosporin 5 mg/ml
注射液 Ceftaroline fosamil 2,22 mg/ml
NaCl 0,9% 3249
兼容
注射液 Ciclosporin 5 mg/ml
注射液 Ceftobiprole medocaril sodium 2 mg/ml
NaCl 0,9% 2269
兼容
注射液 Ciclosporin 5 mg/ml
注射液 Doripenem 5 mg/ml
NaCl 0,9% 2262
兼容
注射液 Ciclosporin 1 mg/ml
注射液 Insulin aspart 1 UI/ml
NaCl 0,9% 1508
兼容
注射液 Ciclosporin 2 mg/ml
注射液 Magnesium sulfate 30 mg/ml
葡萄糖5% 291
立即沉澱 不相容
注射液 Ciclosporin 5 mg/ml
肠外营养(含脂肪) 1415
兼容
注射液 Ciclosporin 5 mg/ml
注射液 Anidulafungin 0.5 mg/ml
葡萄糖5% 1982
立即渾濁 不相容
注射液 Ciclosporin 50 mg/ml
注射液 Ketamine hydrochloride 50 mg/ml
2109
立即沉澱 不相容
注射液 Ciclosporin 50 mg/ml
Ringer乳酸溶液 4603
濁度損失 不相容
注射液 Ciclosporin 5 mg/ml
注射液 Amphotericin B cholesteryl sulfate complex 0.83 mg/ml
葡萄糖5% 921
兼容
注射液 Ciclosporin 5 mg/ml
注射液 Ceftaroline fosamil 2,22 mg/ml
葡萄糖5% 3249
兼容
注射液 Ciclosporin 5 mg/ml
注射液 Ceftobiprole medocaril sodium 2 mg/ml
Ringer乳酸溶液 2269
立即渾濁 不相容
注射液 Ciclosporin 5 mg/ml
注射液 Ceftolozane / tazobactam 10/5 mg/ml
NaCl 0,9% 3828
立即渾濁 不相容
注射液 Ciclosporin 5 mg/ml
注射液 Ceftolozane / tazobactam 10/5 mg/ml
葡萄糖5% 3828
兼容
注射液 Ciclosporin 5 mg/ml
注射液 Doripenem 5 mg/ml
葡萄糖5% 2262
兼容
注射液 Ciclosporin 1 mg/ml
注射液 Insulin aspart 1 UI/ml
葡萄糖5% 1508
立即渾濁 不相容
注射液 Ciclosporin 5 mg/ml
注射液 Isavuconazonium sulfate 1.5 mg/ml
葡萄糖5% 3829
立即渾濁 不相容
注射液 Ciclosporin 5 mg/ml
注射液 Isavuconazonium sulfate 1.5 mg/ml
NaCl 0,9% 3829
兼容
注射液 Ciclosporin 2,5 mg/ml
肠外营养(含脂肪) 2730
立即渾濁 不相容
注射液 Ciclosporin 50 mg/ml
注射液 Amoxicillin sodium / clavulanic acid 100/10 mg/ml
3824
兼容
注射液 Ciclosporin 1.2 mg/ml
注射液 Cefmetazole sodium 100 mg/ml
注射用水 93
兼容
注射液 Ciclosporin 5 mg/ml
注射液 Ceftaroline fosamil 2,22 mg/ml
Ringer乳酸溶液 3249
兼容
注射液 Ciclosporin 5 mg/ml
注射液 Cloxacillin sodium 100 mg/ml
注射用水 3012
兼容
注射液 Ciclosporin
注射液 Dimenhydrinate
2087
兼容
注射液 Ciclosporin 50 mg/ml
注射液 Ketamine hydrochloride 50 mg/ml
4389
兼容
注射液 Ciclosporin 5 mg/ml
注射液 Linezolid 2 mg/ml
无 1925
兼容
注射液 Ciclosporin
肠外营养(二种混合物) 3985
4小時後出現沉澱 不相容
注射液 Ciclosporin 5 mg/ml
肠外营养(二种混合物) 301
兼容
注射液 Ciclosporin 2.5 mg/ml
肠外营养(含脂肪) 3948
立即沉澱 不相容
注射液 Ciclosporin 1 mg/ml
注射液 Aciclovir sodium 5 mg/ml
NaCl 0,9% 2335
4小時內渾濁 不相容
注射液 Ciclosporin 10 mg/ml
注射液 Atenolol 0,1 mg/ml
NaCl 0,9% 4698
兼容
注射液 Ciclosporin 5 mg/ml
注射液 Caspofungin acetate 0,7 mg/ml
NaCl 0,9% 2247
兼容
注射液 Ciclosporin 0,5 mg/ml
注射液 Ciprofloxacin lactate 2 mg/ml
NaCl 0,9% 289
兼容
注射液 Ciclosporin 0,5 mg/ml
肠外营养(含脂肪) 2730
兼容
注射液 Ciclosporin 1 mg/ml
肠外营养(含脂肪) 2730
兼容
注射液 Ciclosporin 5 mg/ml
注射液 Ceftobiprole medocaril sodium 2 mg/ml
葡萄糖5% 2269
兼容
注射液 Ciclosporin 1.27 mg/ml
注射液 Defibrotide 8 mg/ml
NaCl 0,9% 3728
兼容
注射液 Ciclosporin 5 mg/ml
注射液 Lansoprazole 0.55 mg/ml
NaCl 0,9% 1625
兼容
注射液 Ciclosporin 1 mg/ml
注射液 Meropenem 10 mg/ml
葡萄糖5% 2335
立即渾濁 不相容
注射液 Ciclosporin 5 mg/ml
注射液 Telavancin hydrochloride 7.5 mg/ml
Ringer乳酸溶液 3254
兼容
注射液 Ciclosporin
葡萄糖5% 3229
兼容
注射液 Ciclosporin 5 mg/ml
注射液 Meropenem 50 mg/ml
注射用水 4319
產生氣泡 不相容
注射液 Ciclosporin 1 mg/ml
注射液 Mycophenolate mofetil 5,9 mg/ml
葡萄糖5% 2192
兼容
注射液 Ciclosporin 5 mg/ml
注射液 Telavancin hydrochloride 7.5 mg/ml
葡萄糖5% 3254
兼容
注射液 Ciclosporin
NaCl 0,9% 3229
兼容
注射液 Ciclosporin 5 mg/ml
注射液 Micafungin 1.5 mg/ml
NaCl 0,9% 2108
未指定的不兼容性 不相容
注射液 Ciclosporin 50 mg/ml
注射液 N-acetylcysteine 200 mg/ml
无 3766
立即沉澱 不相容
注射液 Ciclosporin 50 mg/ml
注射液 Naloxone hydrochloride 0.4 mg/ml
无 3408
立即沉澱 不相容
注射液 Ciclosporin
注射液 Pantoprazole sodium
2090
兼容
注射液 Ciclosporin 5 mg/ml
注射液 Propofol 10 mg/ml
无 300
立即沉澱 不相容
注射液 Ciclosporin 50 mg/ml
注射液 Salbutamol sulfate 1 mg/ml
无 3216
兼容
注射液 Ciclosporin 5 mg/ml
注射液 Sargramostim 6 §15 µg/ml
NaCl 0,9% 891
立即渾濁 不相容
注射液 Ciclosporin 5 mg/ml
注射液 Tedizolid phosphate 0.8 mg/ml
NaCl 0,9% 3827
立即渾濁 不相容
注射液 Ciclosporin 5 mg/ml
注射液 Telavancin hydrochloride 7,5 mg/ml
NaCl 0,9% 3254
立即沉澱 不相容
注射液 Ciclosporin 50 mg/ml
注射液 Thiopental sodium 25 mg/ml
NaCl 0,9% 3767

  Mentions Légales