Laatste update :
18/03/2026
Immunosuppressivum   Ciclosporin  
injecteerbaar geneesmiddel
Oogwater Orale Oplossing zalf
Stabiliteit in oplossing Stabiliteit in mengsels Factoren die de stabiliteit beïnvloeden Verenigbaarheden Toedieningswijze Literatuur pdf
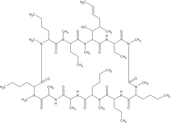
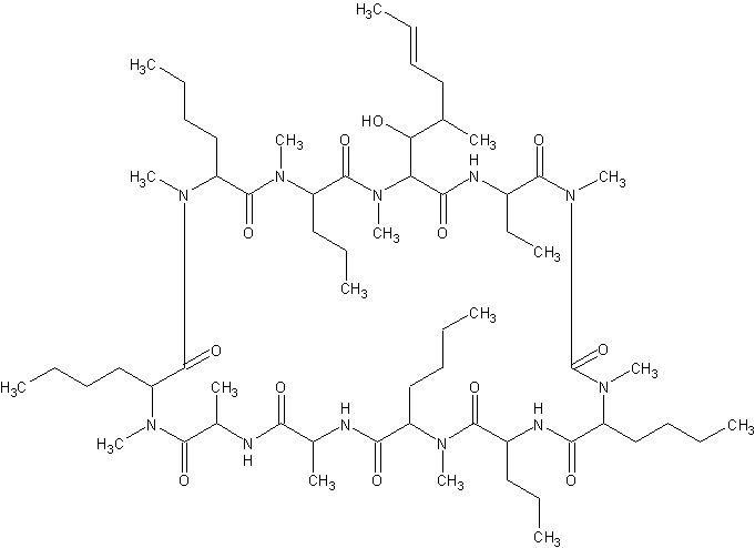
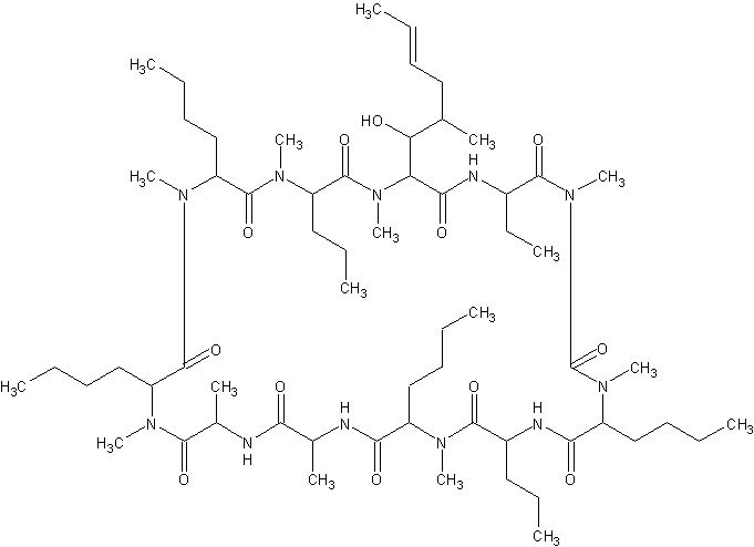
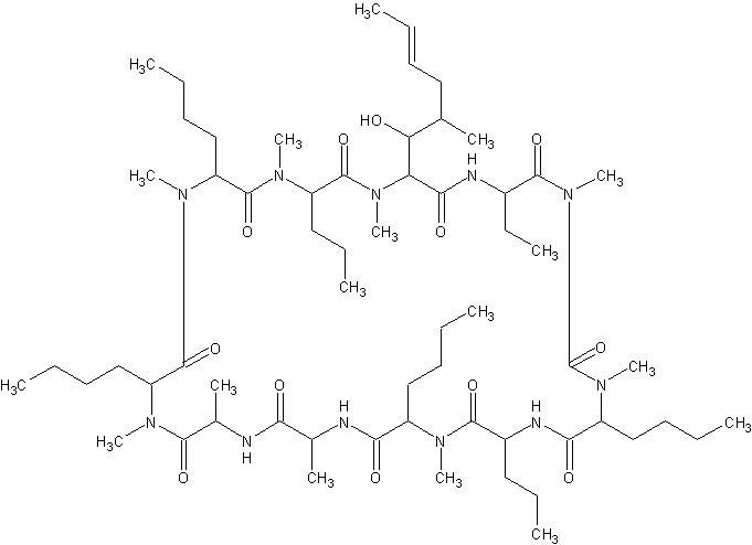
   Molecuulstructuur  

Merknamen in verschillende landen   Merknamen in verschillende landen     

Handelsnamen zijn slechts een indicatie; de samenstelling van hulpstoffen kan per land variëren afhankelijk van de fabrikant

Cyclosporine Canada, USA
Graftin Indië
Sandimmum Argentinië, Australië, België, Chili, Colombia, Denemarken, Duitsland, Finland, Griekenland, Groot Britannië, Hongarije, Ierland, IJsland, Iran, Italië, Luxemburg, Maleisië, Marokko, Mexico, nieuw Zeeland, Noorwegen, Oostenrijk, Peru, Polen, Portugal, Saudi-Arabië, Spanje, Tunisie, Turkije, Verenigde Arabische Emiraten, Zweden, Zwitserland
Verenigbaarheden   injecteerbaar geneesmiddel   Verenigbaarheden : Ciclosporin              
In dit scherm worden de verenigbaarheden en onverenigbaarheden weergegeven. In het geval van een onverenigbaarheid wordt ook het type (neerslag, kleurverandering, modificatie van een emulsie, etc) weergegeven. De weergegeven verenigbaarheden zijn meestal alleen op uiterlijk beoordeeld, er heeft zelden een chemische beoordeling van iedere component plaatsgevonden. De verenigbaarheden betreffen gelijktijdige toediening aan de patient middels de Y-site. De data kan niet gebruikt worden in de beoordeling van verenigbaarheden van componenten in infuuszakken of spuiten. Die informatie is te vinden onder ‘stabiliteit in mengsels’.
Stof Oplosmiddel Literatuur
Verenigbaar
injecteerbaar geneesmiddel Ciclosporin 2.5 mg/ml
Parenterale voeding (zonder vet) 3948
Verenigbaar
injecteerbaar geneesmiddel Ciclosporin 5 mg/ml
injecteerbaar geneesmiddel Ceftaroline fosamil 2,22 mg/ml
Natriumchloride 0,9% 3249
Verenigbaar
injecteerbaar geneesmiddel Ciclosporin 5 mg/ml
injecteerbaar geneesmiddel Ceftobiprole medocaril sodium 2 mg/ml
Natriumchloride 0,9% 2269
Verenigbaar
injecteerbaar geneesmiddel Ciclosporin 5 mg/ml
injecteerbaar geneesmiddel Doripenem 5 mg/ml
Natriumchloride 0,9% 2262
Verenigbaar
injecteerbaar geneesmiddel Ciclosporin 1 mg/ml
injecteerbaar geneesmiddel Insulin aspart 1 UI/ml
Natriumchloride 0,9% 1508
Verenigbaar
injecteerbaar geneesmiddel Ciclosporin 2 mg/ml
injecteerbaar geneesmiddel Magnesium sulfate 30 mg/ml
Glucose 5% 291
Onmiddellijke neerslag Onverenigbaar
injecteerbaar geneesmiddel Ciclosporin 5 mg/ml
Parenterale voeding (met lipiden) 1415
Verenigbaar
injecteerbaar geneesmiddel Ciclosporin 5 mg/ml
injecteerbaar geneesmiddel Anidulafungin 0.5 mg/ml
Glucose 5% 1982
Onmiddellijke troebelheid Onverenigbaar
injecteerbaar geneesmiddel Ciclosporin 50 mg/ml
injecteerbaar geneesmiddel Ketamine hydrochloride 50 mg/ml
2109
Onmiddellijke neerslag Onverenigbaar
injecteerbaar geneesmiddel Ciclosporin 50 mg/ml
Ringer-lactaat 4603
Verlies van troebelheid Onverenigbaar
injecteerbaar geneesmiddel Ciclosporin 5 mg/ml
injecteerbaar geneesmiddel Amphotericin B cholesteryl sulfate complex 0.83 mg/ml
Glucose 5% 921
Verenigbaar
injecteerbaar geneesmiddel Ciclosporin 5 mg/ml
injecteerbaar geneesmiddel Ceftaroline fosamil 2,22 mg/ml
Glucose 5% 3249
Verenigbaar
injecteerbaar geneesmiddel Ciclosporin 5 mg/ml
injecteerbaar geneesmiddel Ceftobiprole medocaril sodium 2 mg/ml
Ringer-lactaat 2269
Onmiddellijke troebelheid Onverenigbaar
injecteerbaar geneesmiddel Ciclosporin 5 mg/ml
injecteerbaar geneesmiddel Ceftolozane / tazobactam 10/5 mg/ml
Natriumchloride 0,9% 3828
Onmiddellijke troebelheid Onverenigbaar
injecteerbaar geneesmiddel Ciclosporin 5 mg/ml
injecteerbaar geneesmiddel Ceftolozane / tazobactam 10/5 mg/ml
Glucose 5% 3828
Verenigbaar
injecteerbaar geneesmiddel Ciclosporin 5 mg/ml
injecteerbaar geneesmiddel Doripenem 5 mg/ml
Glucose 5% 2262
Verenigbaar
injecteerbaar geneesmiddel Ciclosporin 1 mg/ml
injecteerbaar geneesmiddel Insulin aspart 1 UI/ml
Glucose 5% 1508
Onmiddellijke troebelheid Onverenigbaar
injecteerbaar geneesmiddel Ciclosporin 5 mg/ml
injecteerbaar geneesmiddel Isavuconazonium sulfate 1.5 mg/ml
Glucose 5% 3829
Onmiddellijke troebelheid Onverenigbaar
injecteerbaar geneesmiddel Ciclosporin 5 mg/ml
injecteerbaar geneesmiddel Isavuconazonium sulfate 1.5 mg/ml
Natriumchloride 0,9% 3829
Verenigbaar
injecteerbaar geneesmiddel Ciclosporin 2,5 mg/ml
Parenterale voeding (met lipiden) 2730
Onmiddellijke troebelheid Onverenigbaar
injecteerbaar geneesmiddel Ciclosporin 50 mg/ml
injecteerbaar geneesmiddel Amoxicillin sodium / clavulanic acid 100/10 mg/ml
3824
Verenigbaar
injecteerbaar geneesmiddel Ciclosporin 1.2 mg/ml
injecteerbaar geneesmiddel Cefmetazole sodium 100 mg/ml
Water voor injectie 93
Verenigbaar
injecteerbaar geneesmiddel Ciclosporin 5 mg/ml
injecteerbaar geneesmiddel Ceftaroline fosamil 2,22 mg/ml
Ringer-lactaat 3249
Verenigbaar
injecteerbaar geneesmiddel Ciclosporin 5 mg/ml
injecteerbaar geneesmiddel Cloxacillin sodium 100 mg/ml
Water voor injectie 3012
Verenigbaar
injecteerbaar geneesmiddel Ciclosporin
injecteerbaar geneesmiddel Dimenhydrinate
2087
Verenigbaar
injecteerbaar geneesmiddel Ciclosporin 50 mg/ml
injecteerbaar geneesmiddel Ketamine hydrochloride 50 mg/ml
4389
Verenigbaar
injecteerbaar geneesmiddel Ciclosporin 5 mg/ml
injecteerbaar geneesmiddel Linezolid 2 mg/ml
Geen 1925
Verenigbaar
injecteerbaar geneesmiddel Ciclosporin
Parenterale voeding (zonder vet) 3985
Neerslag na 4 uur Onverenigbaar
injecteerbaar geneesmiddel Ciclosporin 5 mg/ml
Parenterale voeding (zonder vet) 301
Verenigbaar
injecteerbaar geneesmiddel Ciclosporin 2.5 mg/ml
Parenterale voeding (met lipiden) 3948
Onmiddellijke neerslag Onverenigbaar
injecteerbaar geneesmiddel Ciclosporin 1 mg/ml
injecteerbaar geneesmiddel Aciclovir sodium 5 mg/ml
Natriumchloride 0,9% 2335
Troebelheid in 4 uur Onverenigbaar
injecteerbaar geneesmiddel Ciclosporin 10 mg/ml
injecteerbaar geneesmiddel Atenolol 0,1 mg/ml
Natriumchloride 0,9% 4698
Verenigbaar
injecteerbaar geneesmiddel Ciclosporin 5 mg/ml
injecteerbaar geneesmiddel Caspofungin acetate 0,7 mg/ml
Natriumchloride 0,9% 2247
Verenigbaar
injecteerbaar geneesmiddel Ciclosporin 0,5 mg/ml
injecteerbaar geneesmiddel Ciprofloxacin lactate 2 mg/ml
Natriumchloride 0,9% 289
Verenigbaar
injecteerbaar geneesmiddel Ciclosporin 0,5 mg/ml
Parenterale voeding (met lipiden) 2730
Verenigbaar
injecteerbaar geneesmiddel Ciclosporin 1 mg/ml
Parenterale voeding (met lipiden) 2730
Verenigbaar
injecteerbaar geneesmiddel Ciclosporin 5 mg/ml
injecteerbaar geneesmiddel Ceftobiprole medocaril sodium 2 mg/ml
Glucose 5% 2269
Verenigbaar
injecteerbaar geneesmiddel Ciclosporin 1.27 mg/ml
injecteerbaar geneesmiddel Defibrotide 8 mg/ml
Natriumchloride 0,9% 3728
Verenigbaar
injecteerbaar geneesmiddel Ciclosporin 5 mg/ml
injecteerbaar geneesmiddel Lansoprazole 0.55 mg/ml
Natriumchloride 0,9% 1625
Verenigbaar
injecteerbaar geneesmiddel Ciclosporin 1 mg/ml
injecteerbaar geneesmiddel Meropenem 10 mg/ml
Glucose 5% 2335
Onmiddellijke troebelheid Onverenigbaar
injecteerbaar geneesmiddel Ciclosporin 5 mg/ml
injecteerbaar geneesmiddel Telavancin hydrochloride 7.5 mg/ml
Ringer-lactaat 3254
Verenigbaar
injecteerbaar geneesmiddel Ciclosporin
Glucose 5% 3229
Verenigbaar
injecteerbaar geneesmiddel Ciclosporin 5 mg/ml
injecteerbaar geneesmiddel Meropenem 50 mg/ml
Water voor injectie 4319
Productie van gasbellen Onverenigbaar
injecteerbaar geneesmiddel Ciclosporin 1 mg/ml
injecteerbaar geneesmiddel Mycophenolate mofetil 5,9 mg/ml
Glucose 5% 2192
Verenigbaar
injecteerbaar geneesmiddel Ciclosporin 5 mg/ml
injecteerbaar geneesmiddel Telavancin hydrochloride 7.5 mg/ml
Glucose 5% 3254
Verenigbaar
injecteerbaar geneesmiddel Ciclosporin
Natriumchloride 0,9% 3229
Verenigbaar
injecteerbaar geneesmiddel Ciclosporin 5 mg/ml
injecteerbaar geneesmiddel Micafungin 1.5 mg/ml
Natriumchloride 0,9% 2108
Niet-gespecificeerde incompatibiliteit Onverenigbaar
injecteerbaar geneesmiddel Ciclosporin 50 mg/ml
injecteerbaar geneesmiddel N-acetylcysteine 200 mg/ml
Geen 3766
Onmiddellijke neerslag Onverenigbaar
injecteerbaar geneesmiddel Ciclosporin 50 mg/ml
injecteerbaar geneesmiddel Naloxone hydrochloride 0.4 mg/ml
Geen 3408
Onmiddellijke neerslag Onverenigbaar
injecteerbaar geneesmiddel Ciclosporin
injecteerbaar geneesmiddel Pantoprazole sodium
2090
Verenigbaar
injecteerbaar geneesmiddel Ciclosporin 5 mg/ml
injecteerbaar geneesmiddel Propofol 10 mg/ml
Geen 300
Onmiddellijke neerslag Onverenigbaar
injecteerbaar geneesmiddel Ciclosporin 50 mg/ml
injecteerbaar geneesmiddel Salbutamol sulfate 1 mg/ml
Geen 3216
Verenigbaar
injecteerbaar geneesmiddel Ciclosporin 5 mg/ml
injecteerbaar geneesmiddel Sargramostim 6 §15 µg/ml
Natriumchloride 0,9% 891
Onmiddellijke troebelheid Onverenigbaar
injecteerbaar geneesmiddel Ciclosporin 5 mg/ml
injecteerbaar geneesmiddel Tedizolid phosphate 0.8 mg/ml
Natriumchloride 0,9% 3827
Onmiddellijke troebelheid Onverenigbaar
injecteerbaar geneesmiddel Ciclosporin 5 mg/ml
injecteerbaar geneesmiddel Telavancin hydrochloride 7,5 mg/ml
Natriumchloride 0,9% 3254
Onmiddellijke neerslag Onverenigbaar
injecteerbaar geneesmiddel Ciclosporin 50 mg/ml
injecteerbaar geneesmiddel Thiopental sodium 25 mg/ml
Natriumchloride 0,9% 3767

  Mentions Légales