Cập nhật lần cuối :
21/01/2026
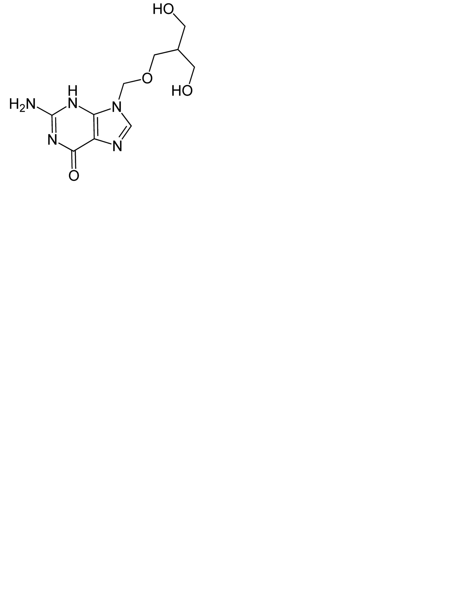
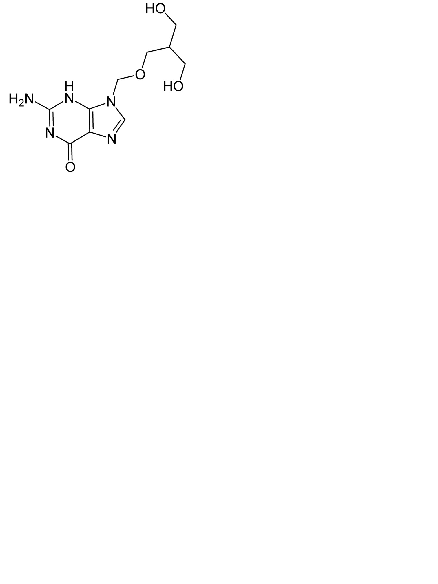
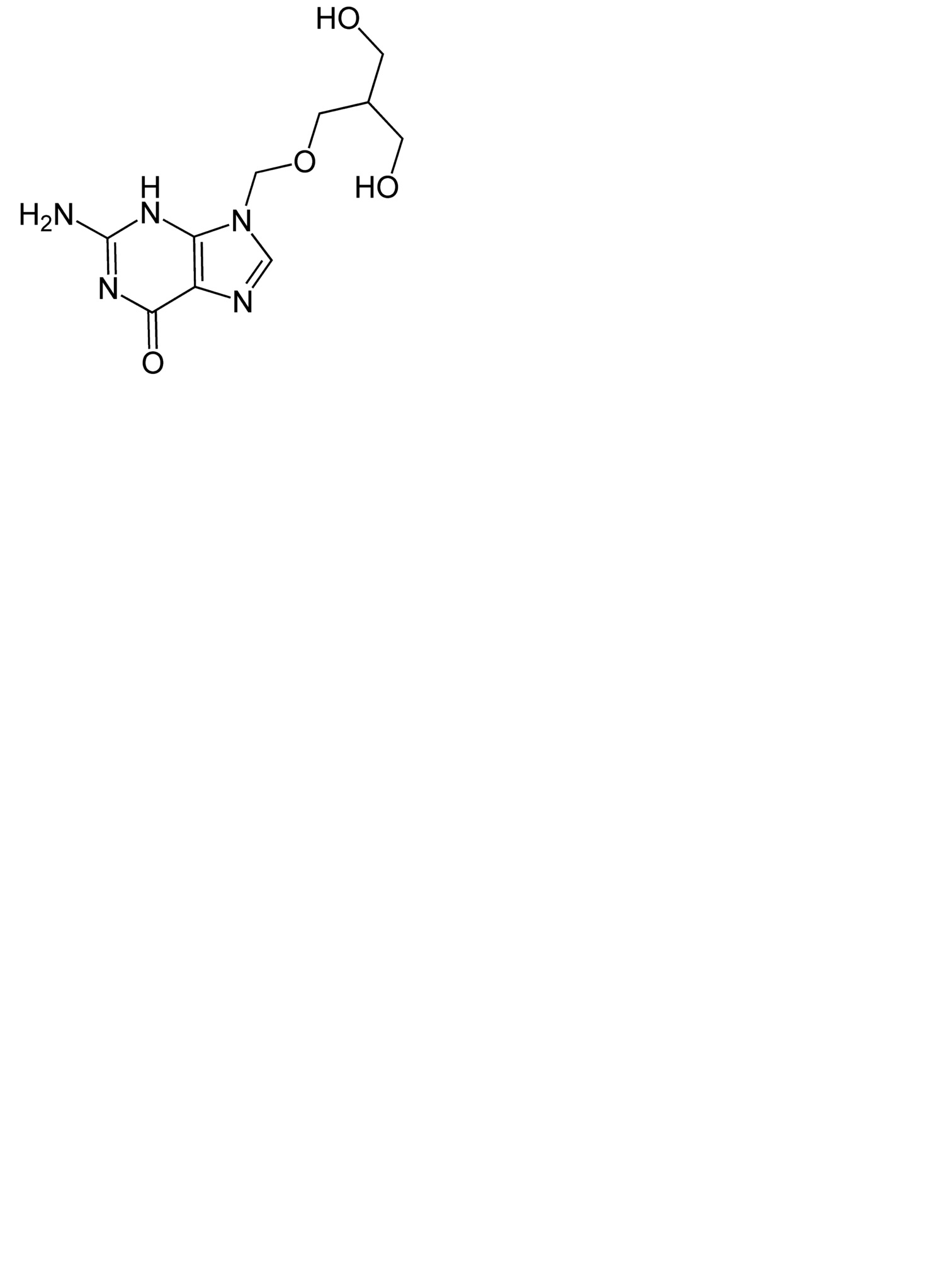
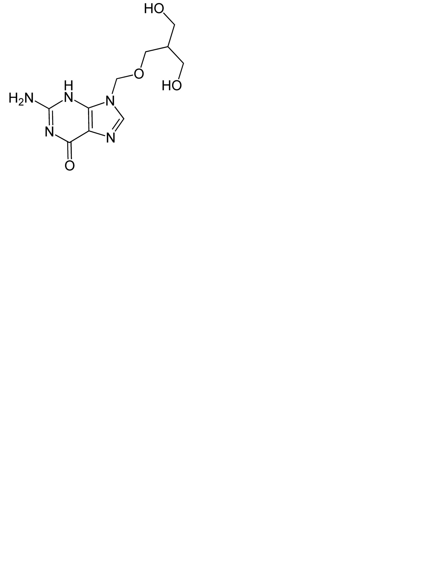
Thuốc kháng virus   Ganciclovir  
Thuốc nhỏ mắt
Tính ổn định của các chế phẩm Độ ổn định khi trộn lẫn Những yếu tố ảnh hưởng đến độ ổn định Khả năng tương thích Tài liệu tham khảo Pdf
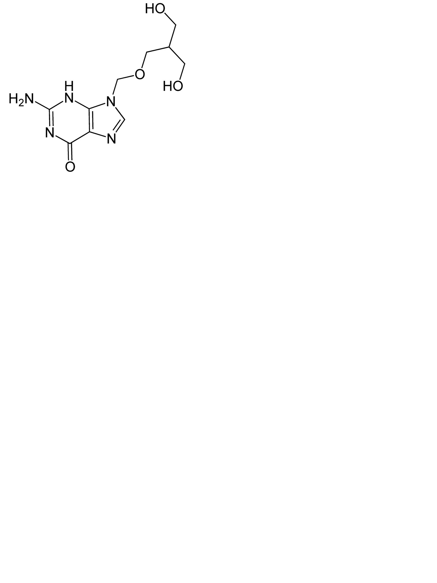
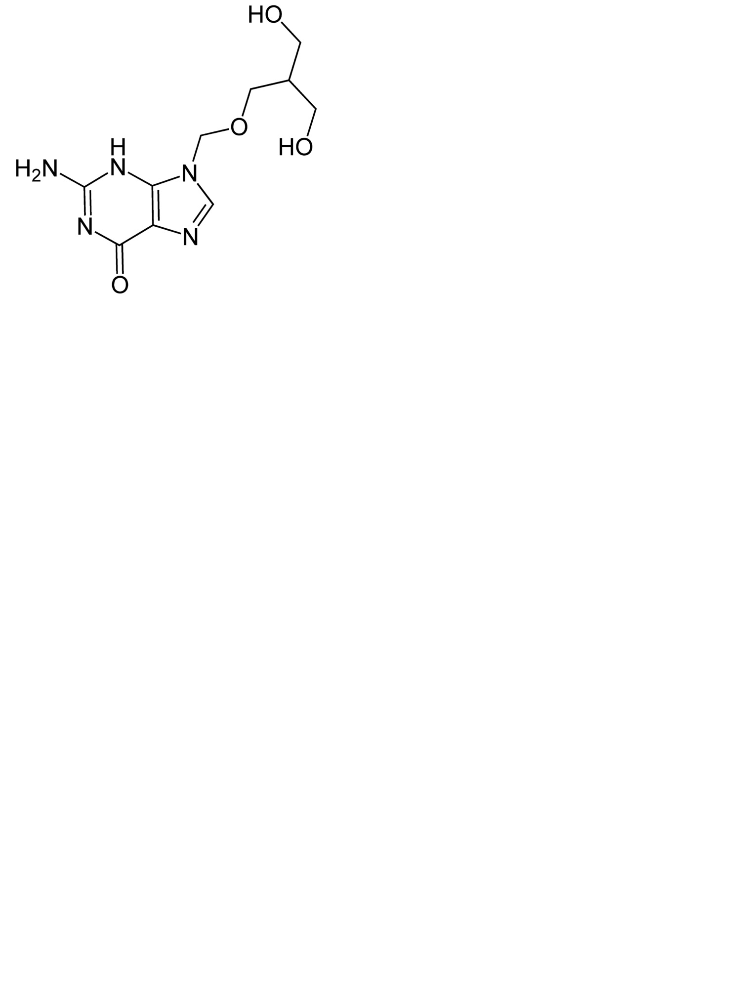
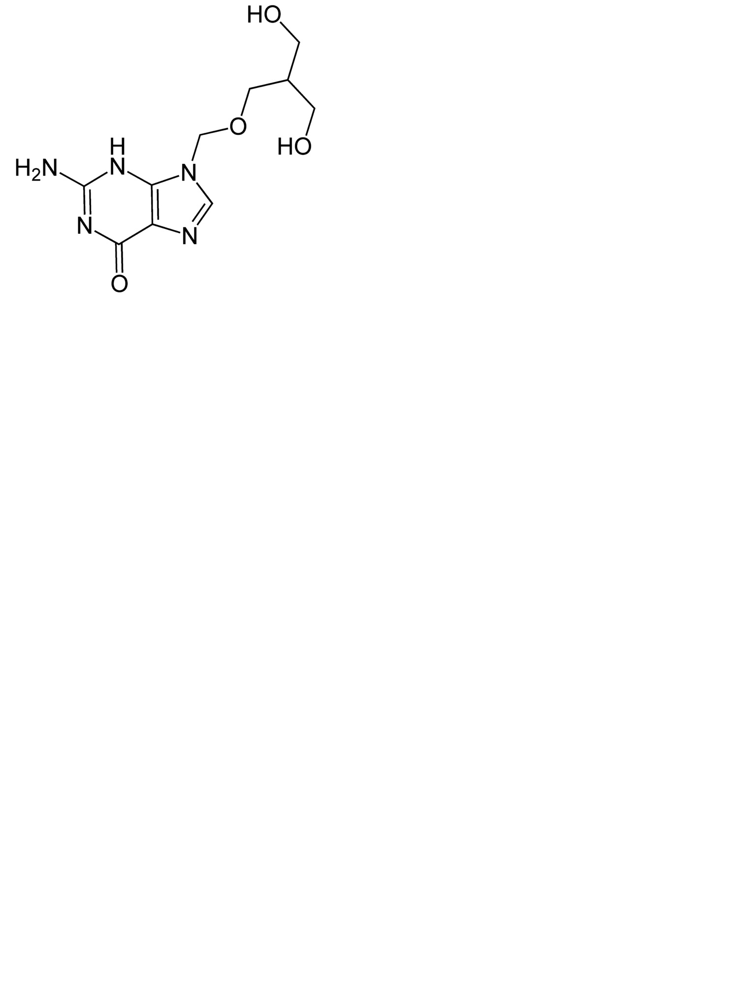
   Cấu trúc hóa học  

Thuốc nhỏ mắt

Những yếu tố ảnh hưởng đến độ ổn định   Thuốc nhỏ mắt   Những yếu tố ảnh hưởng đến độ ổn định : Ganciclovir        
Không có dữ liệu

  Mentions Légales