Última actualización :
18/03/2026
Antiviral   Ganciclovir  
Gotas oculares
La estabilidad de las preparaciones farmacéuticas Estabilidad en mezcla Factores que influyen sobre la estabilidad Compatibilidades Bibliografía pdf
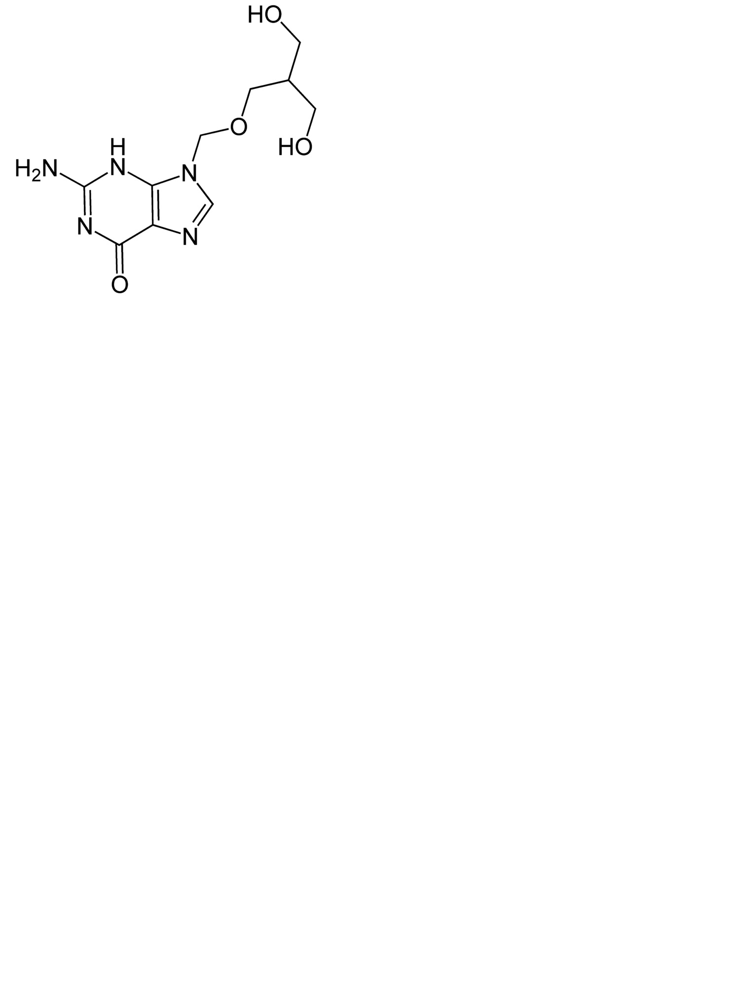
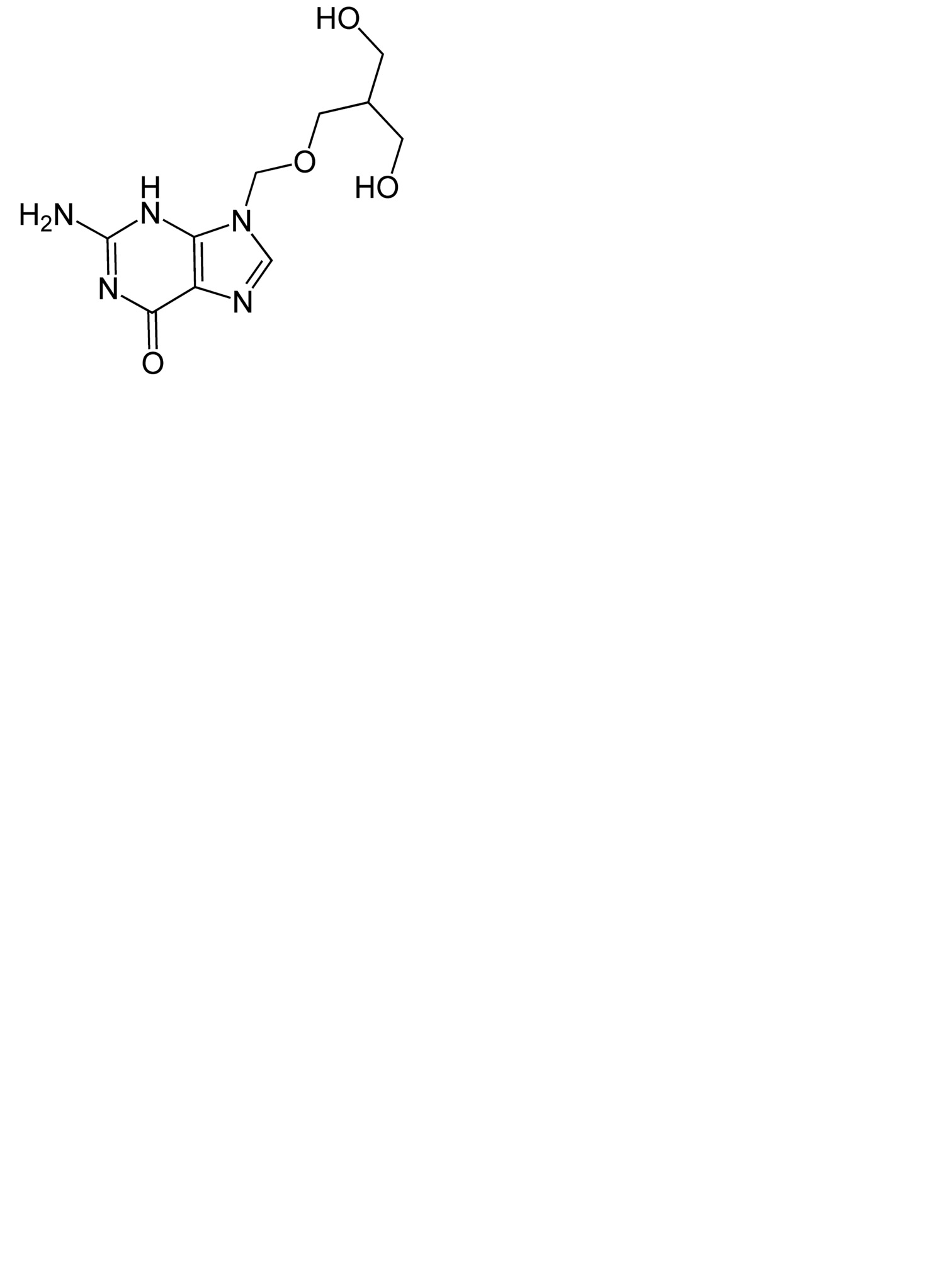
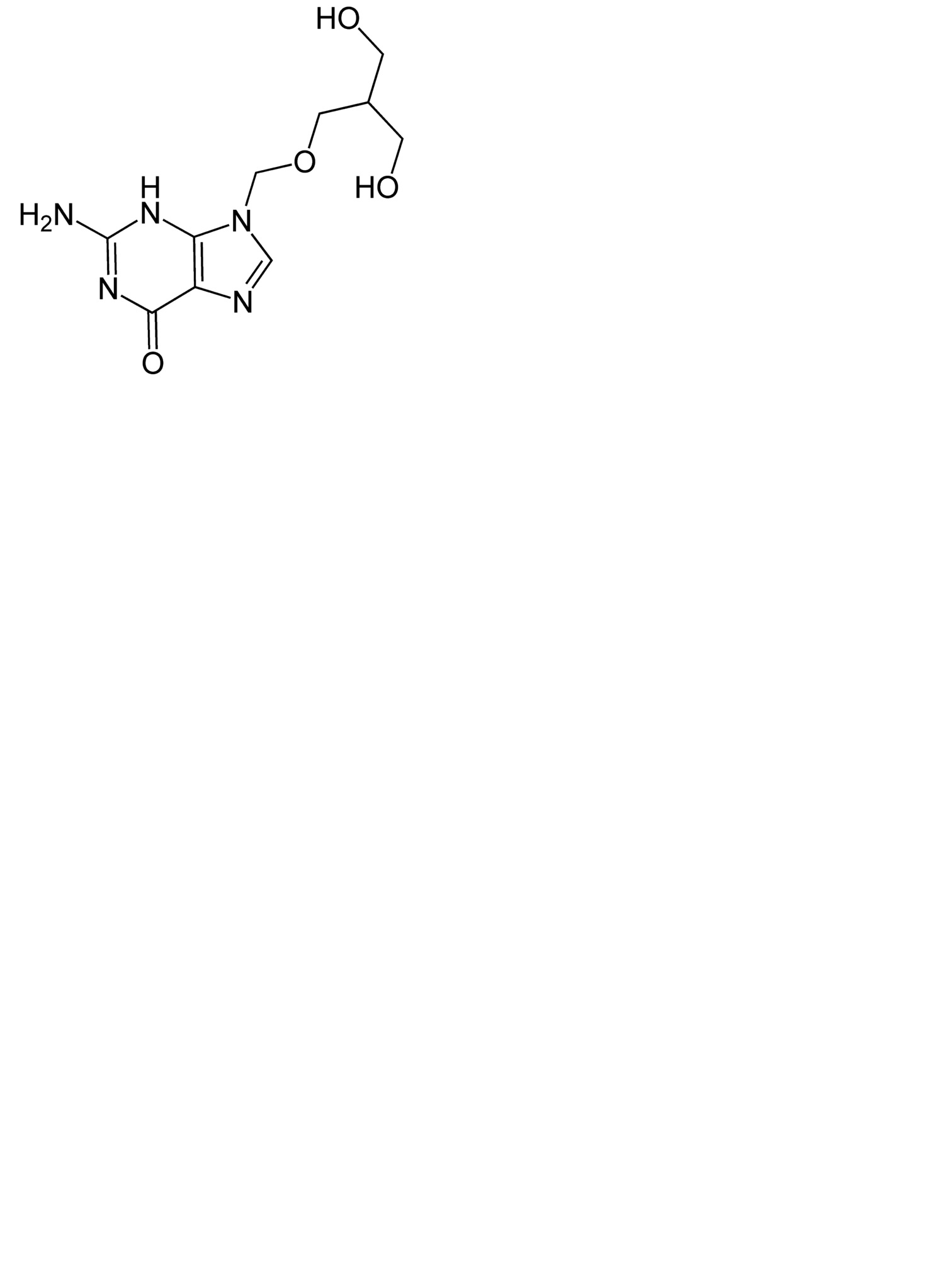
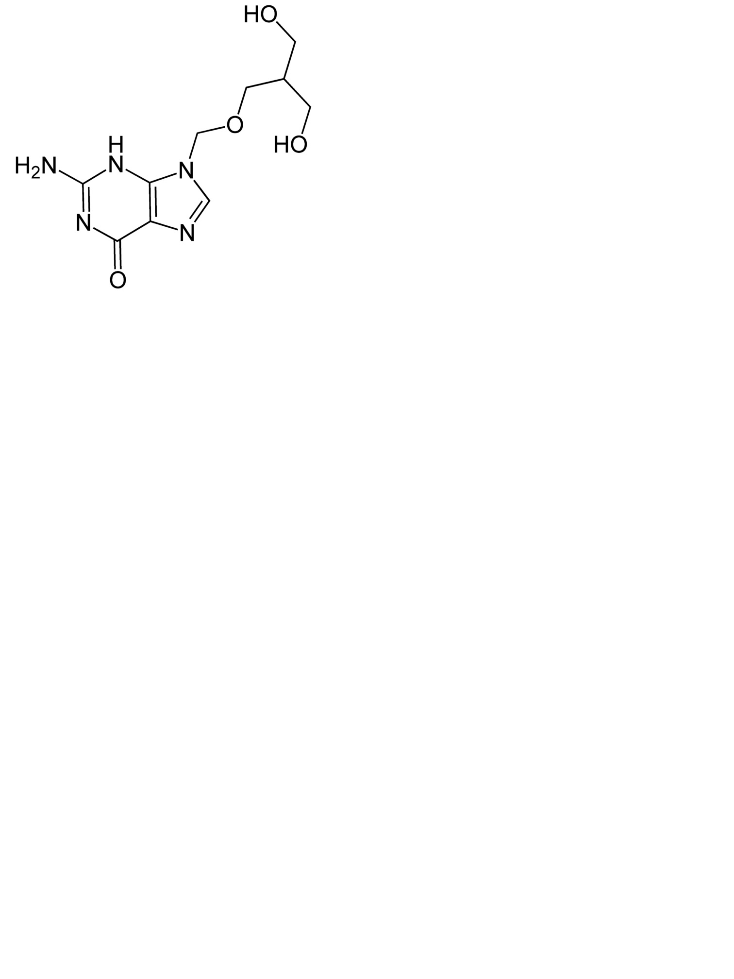
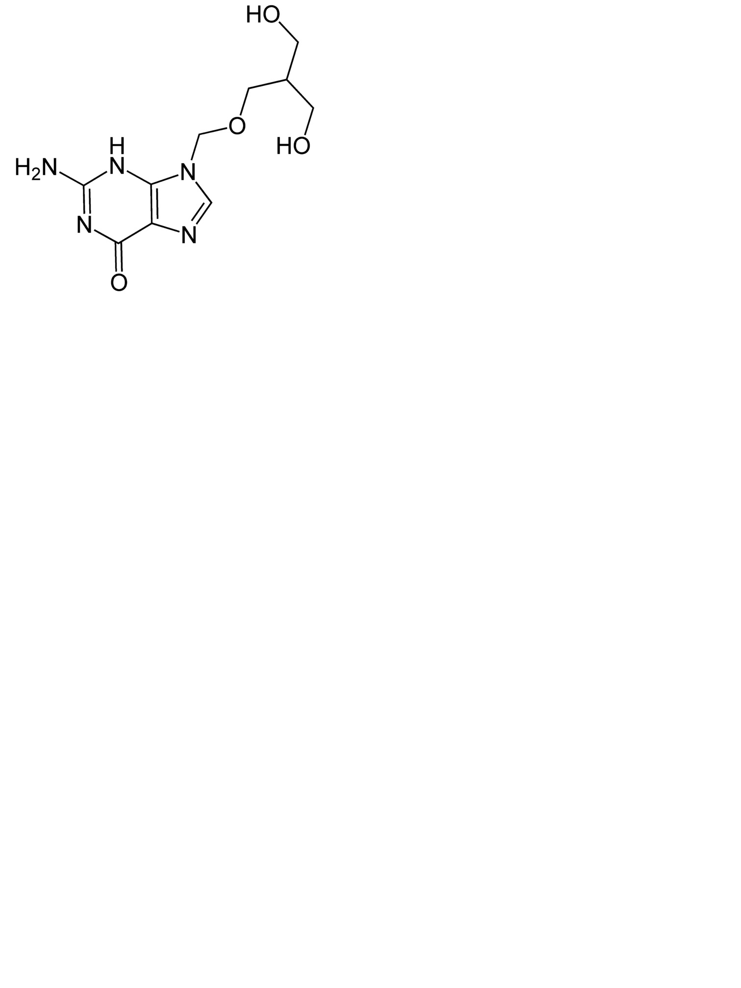
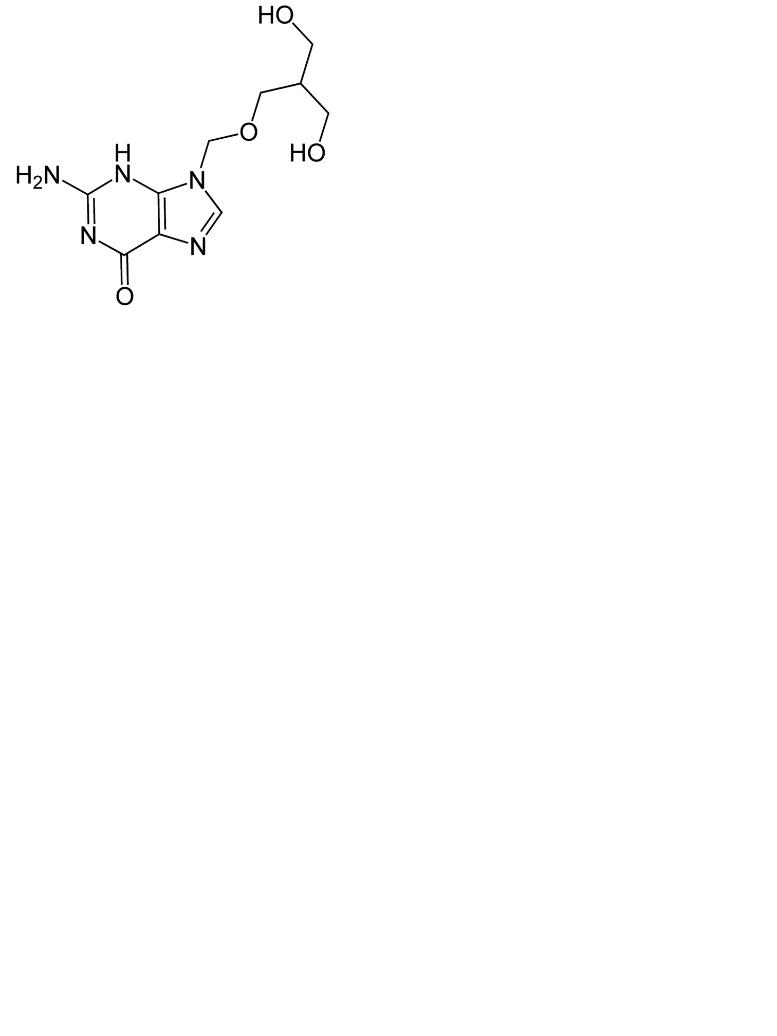
   Estructura química  

Gotas oculares

Factores que influyen sobre la estabilidad   Gotas oculares   Factores que influyen sobre la estabilidad : Ganciclovir        
Ausencia de datos

  Mentions Légales