最新更新 :
18/03/2026
抗ウイルス薬   Ganciclovir  
点眼薬
調剤時の安定性 混合時の安定性 安定性に影響する因子 互換性 引用文献 PDF
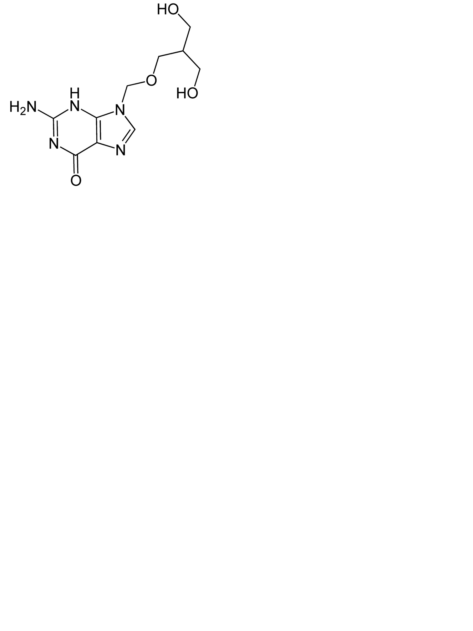
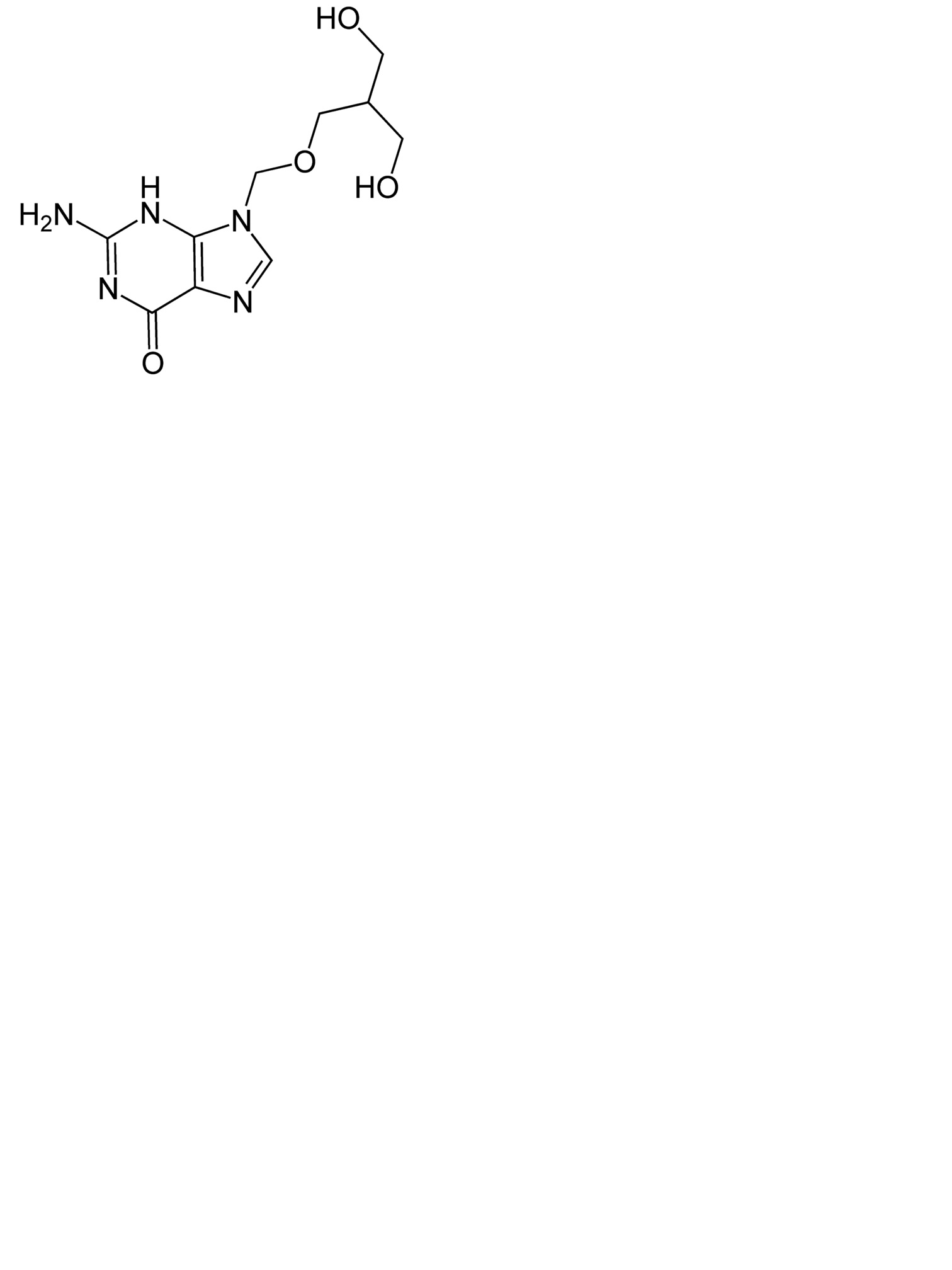
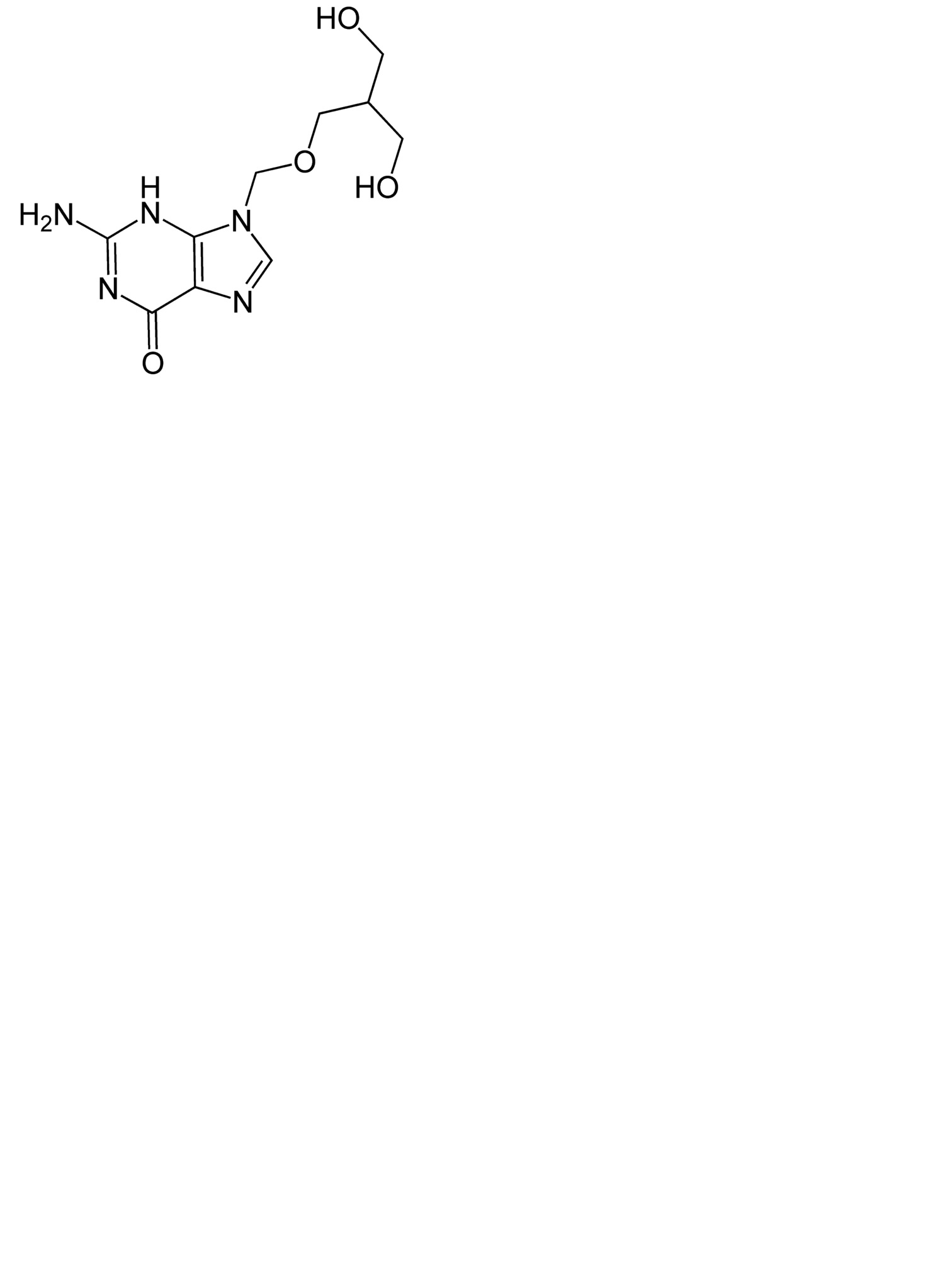
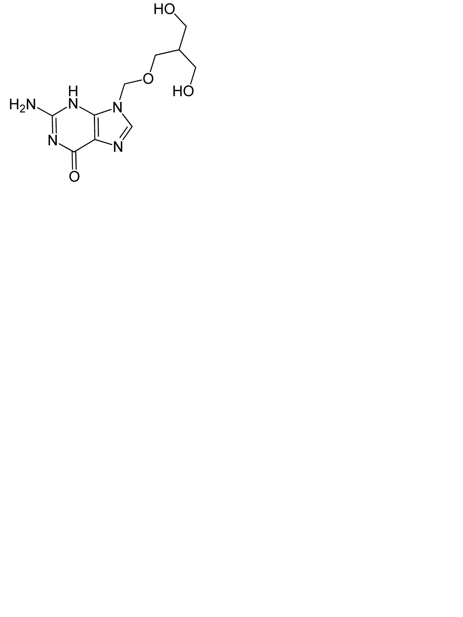
   化学構造  

点眼薬

安定性に影響する因子   点眼薬   安定性に影響する因子 : Ganciclovir        
データなし

  Mentions Légales