Τελευταία ενημέρωση :
05/12/2025
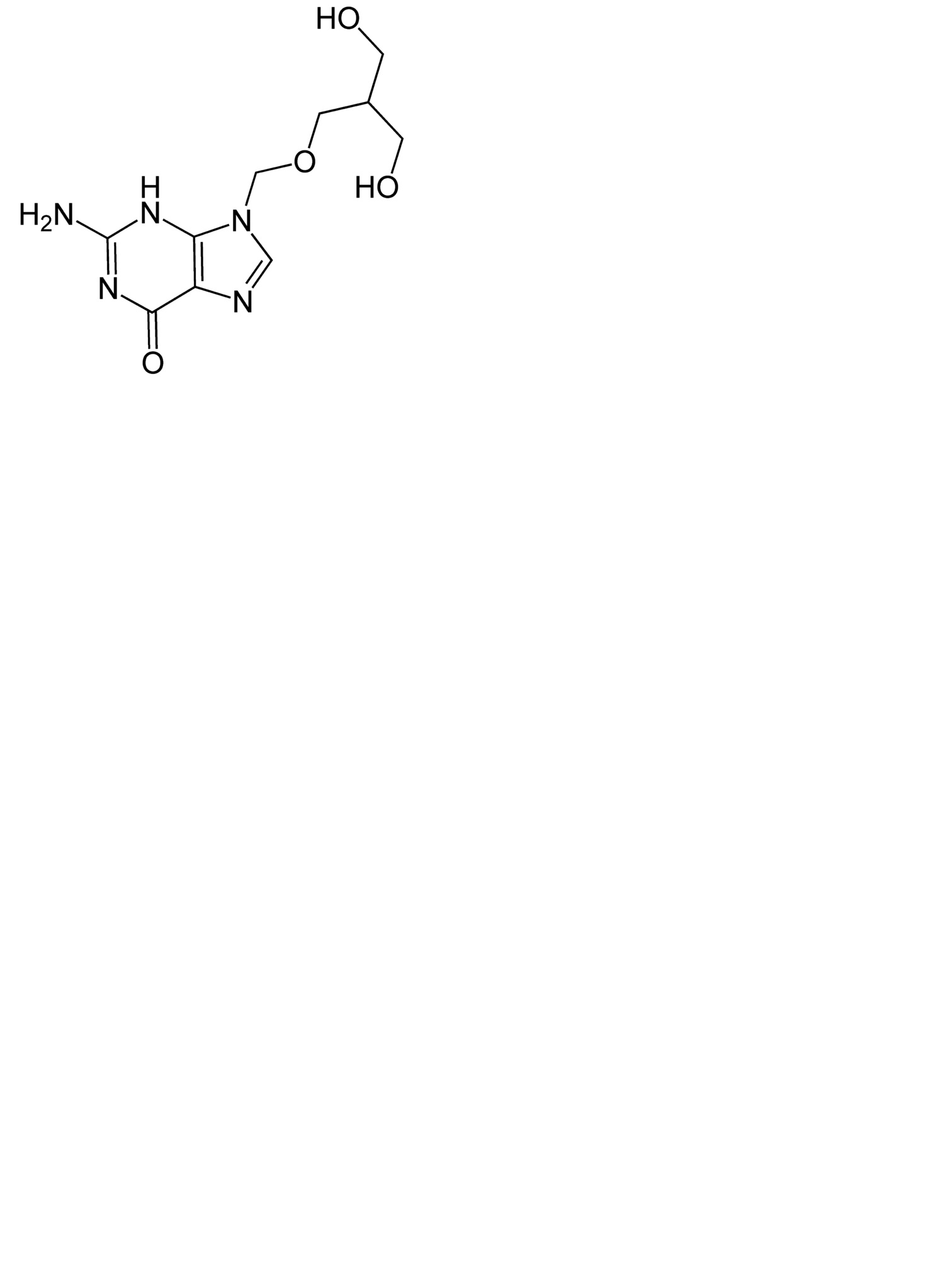
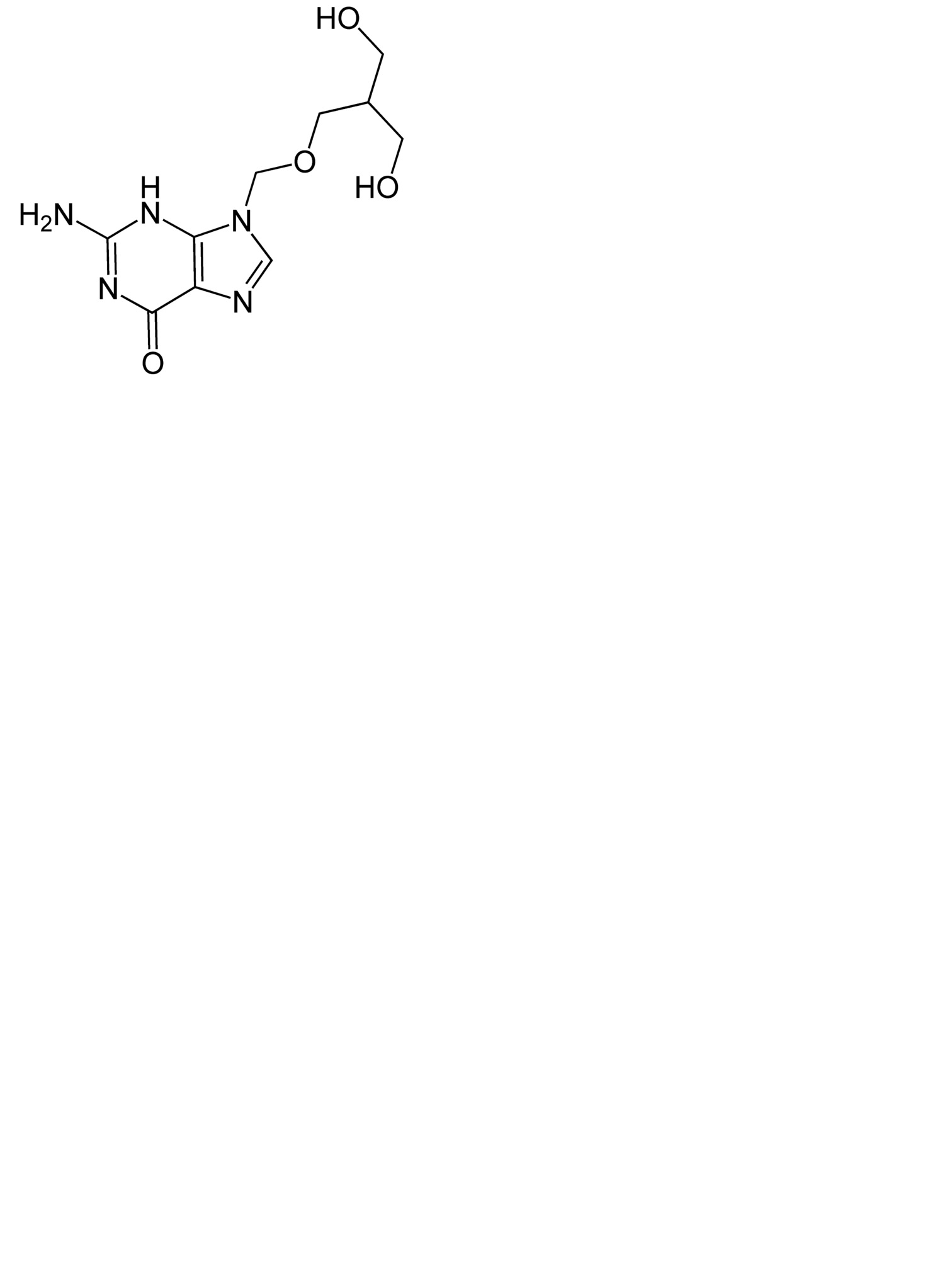
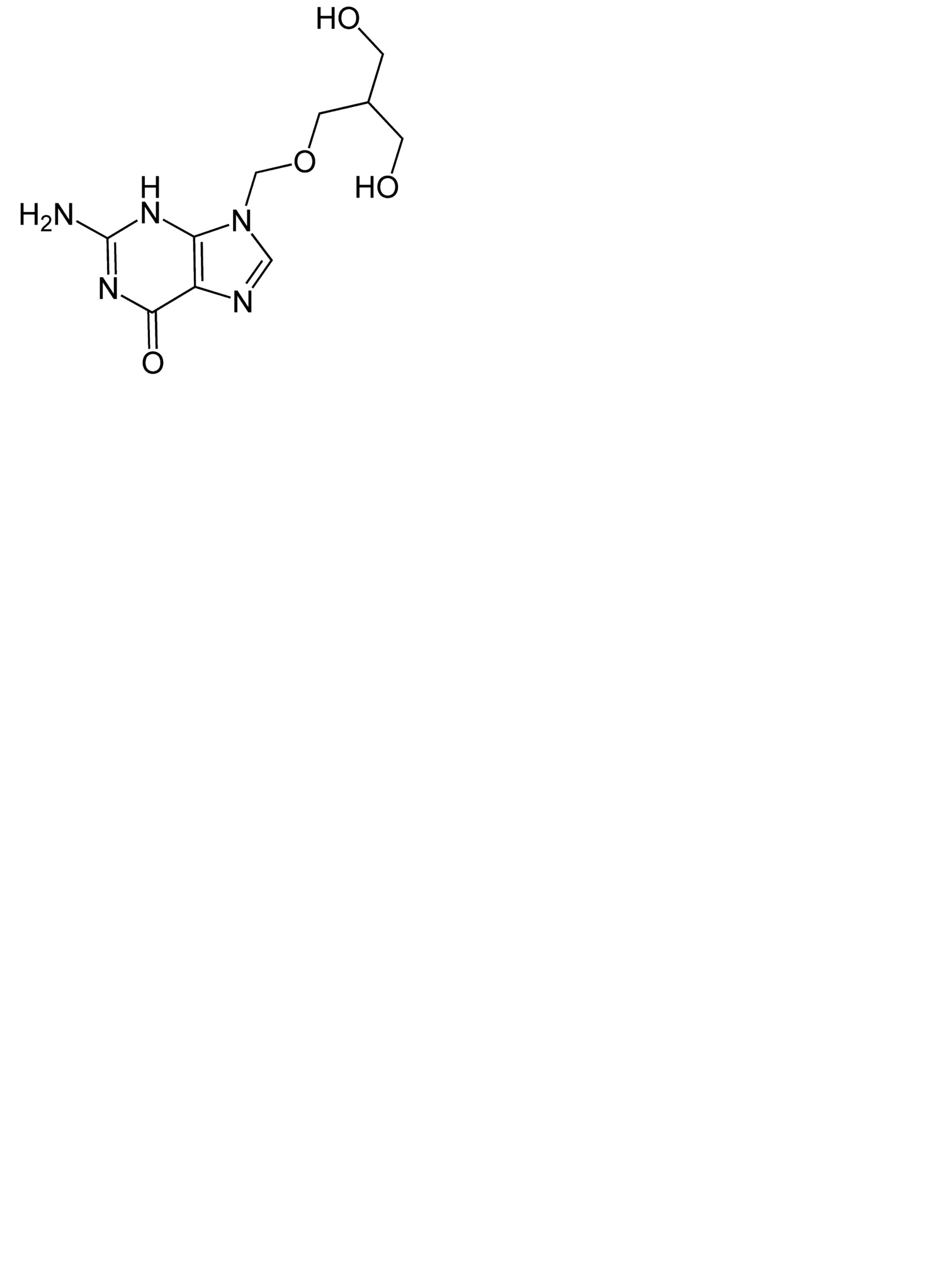
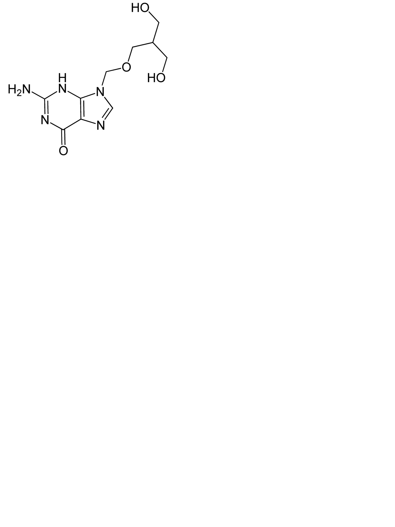
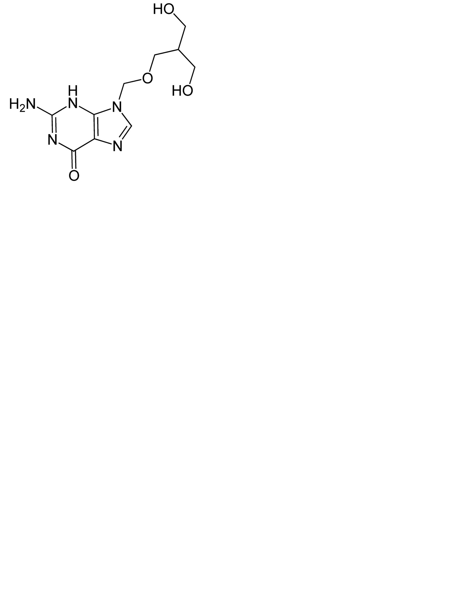
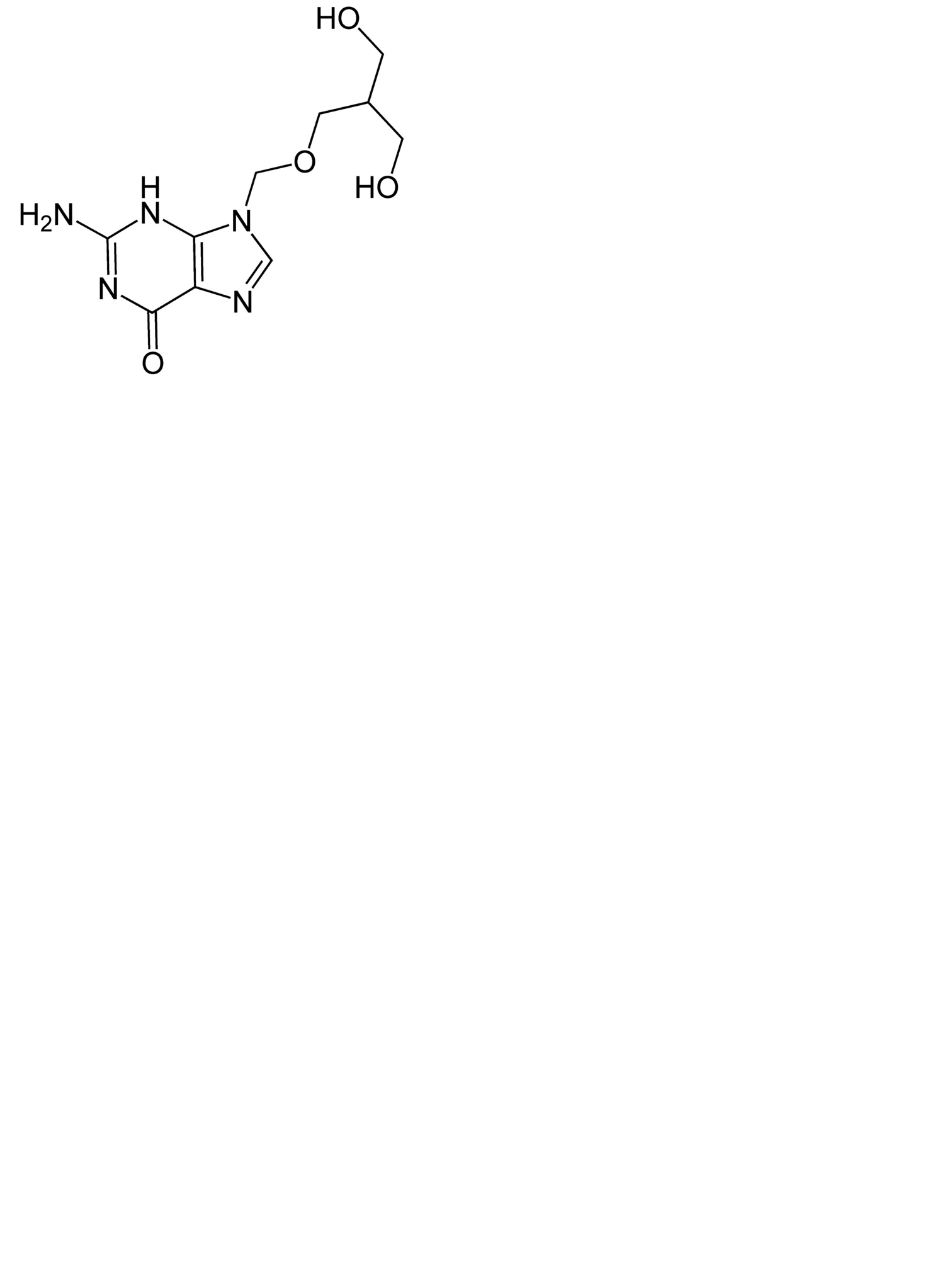
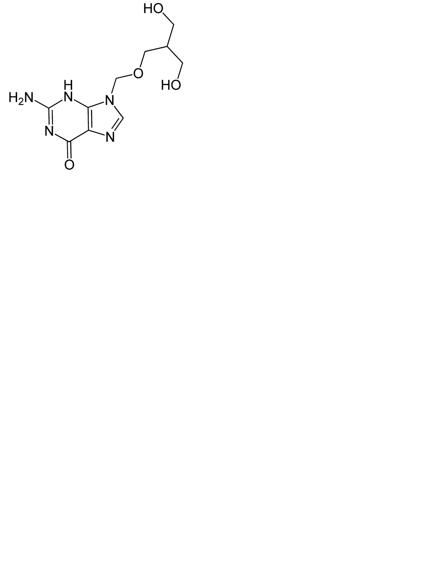
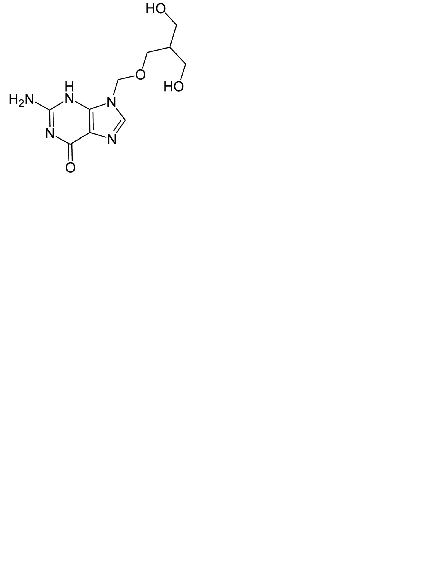
Αντιιικό   Ganciclovir  
Οφθαλμικές σταγόνες
Σταθερότητα και συμβατότητα των φαρμάκων Σταθερότητα σε μίγματα Παράγοντας που επηρεάζει τη σταθερότητα Συμβατότητες Βιβλιογραφία pdf
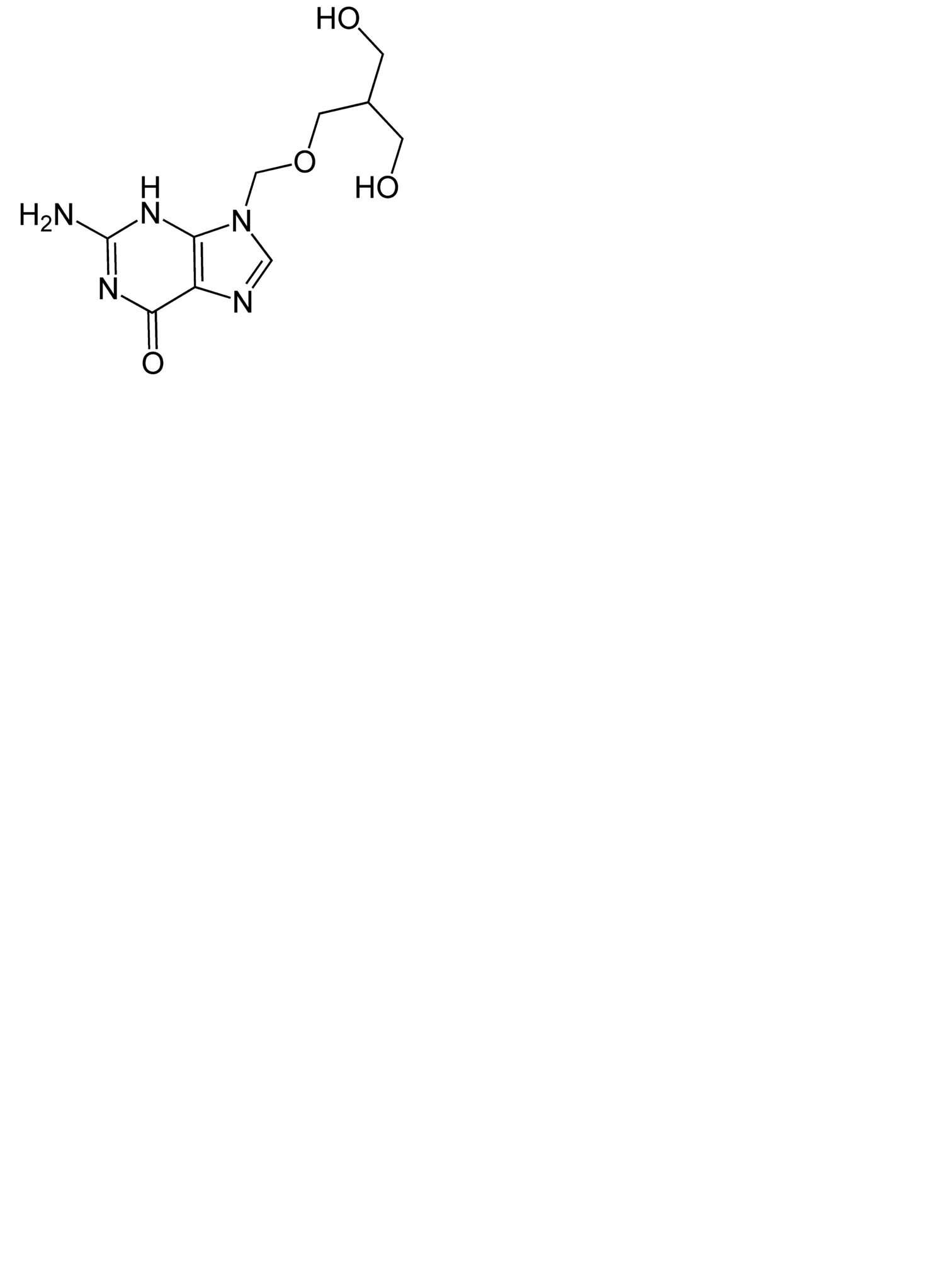
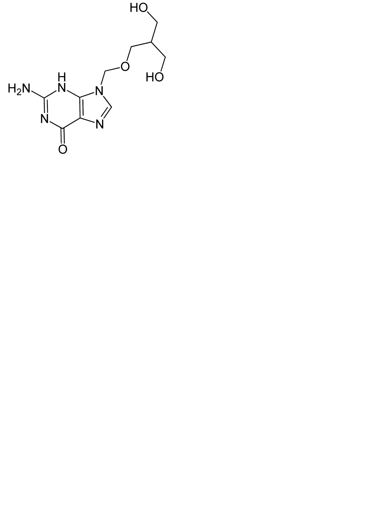
   χημική δομή  

Οφθαλμικές σταγόνες
Συμβατότητες    Οφθαλμικές σταγόνες   Συμβατότητες : Ganciclovir              
Δεν υπάρχουν πληροφορίες

  Mentions Légales