Letztes “update” :
18/03/2026
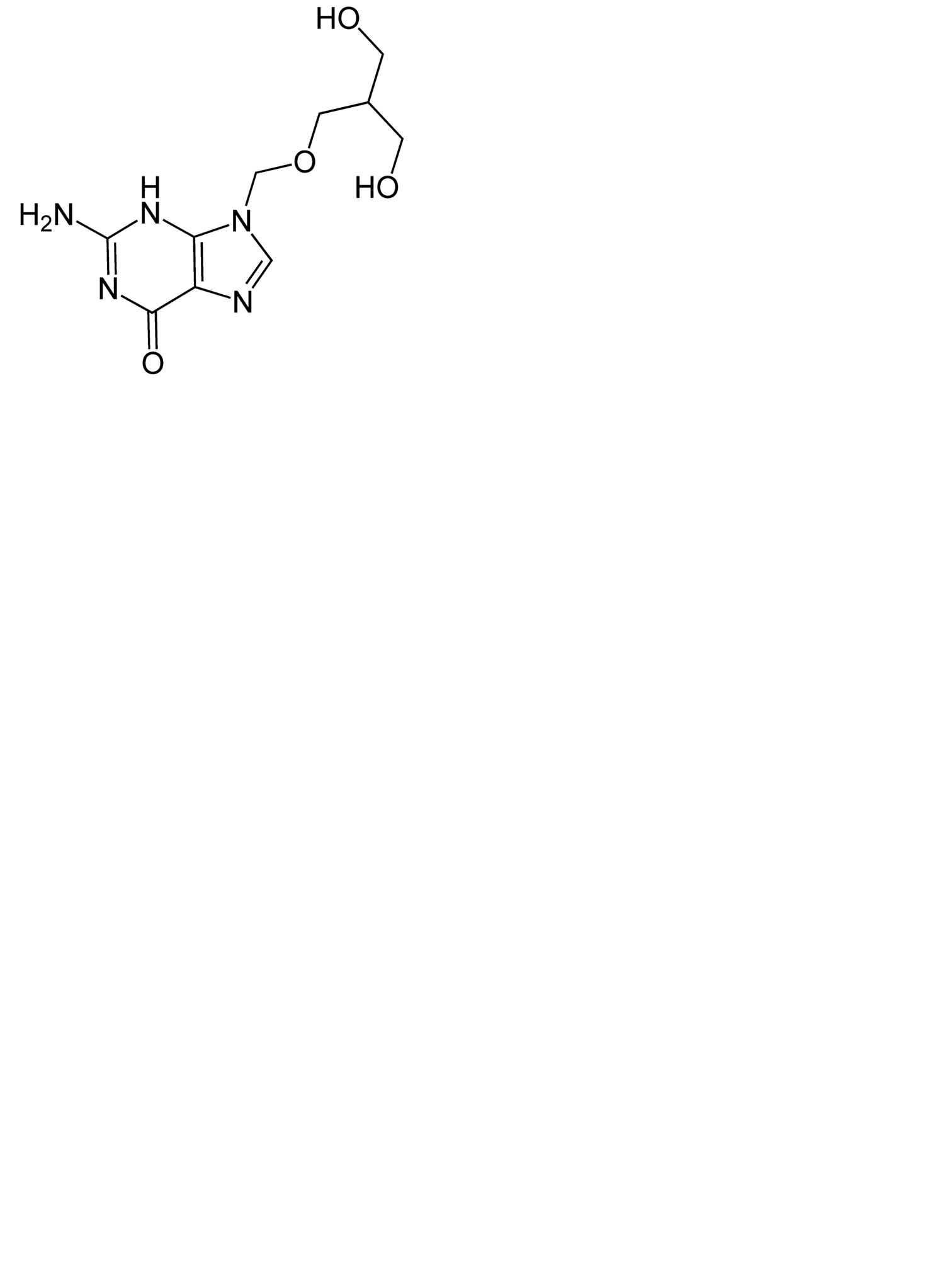
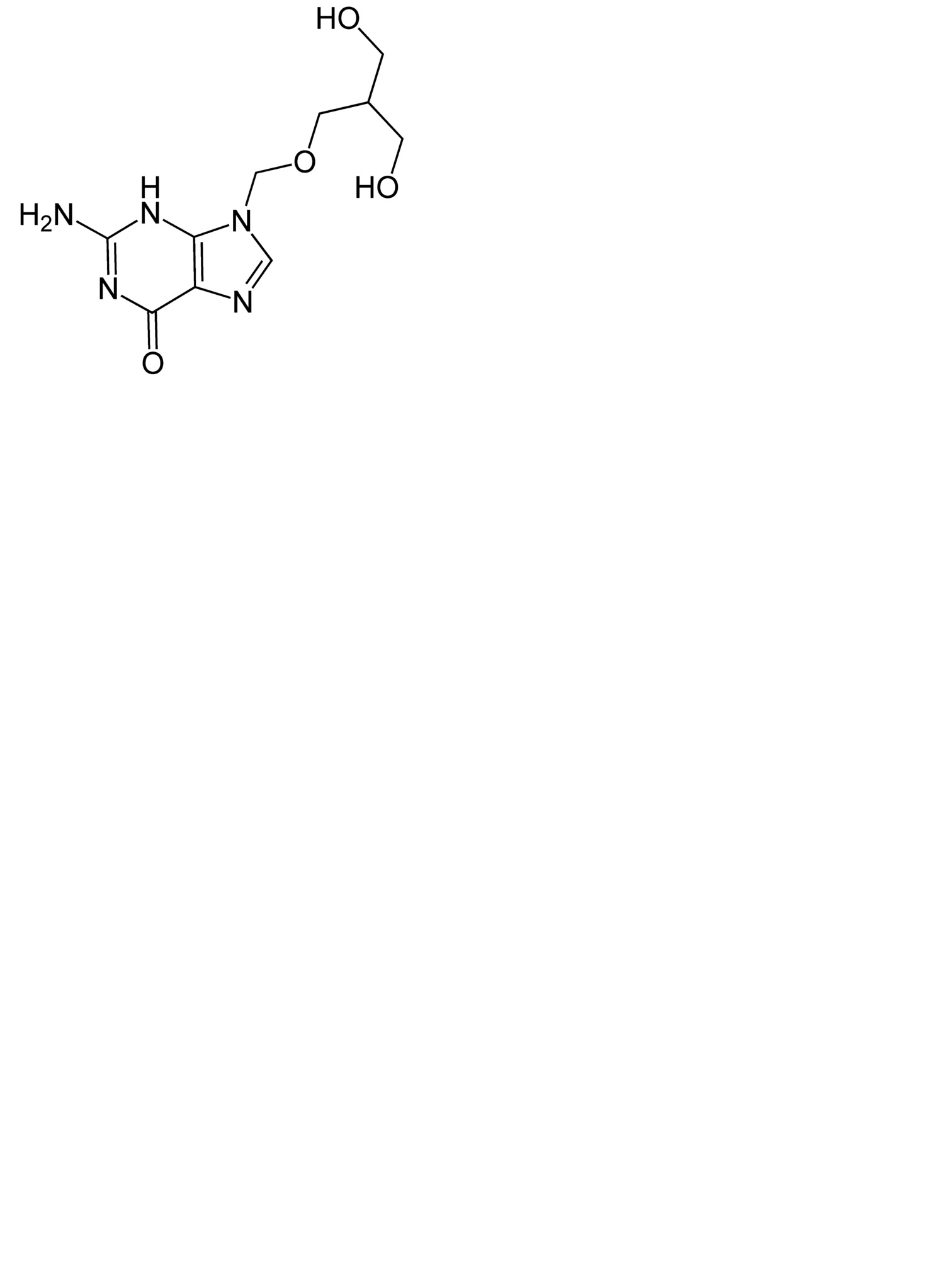
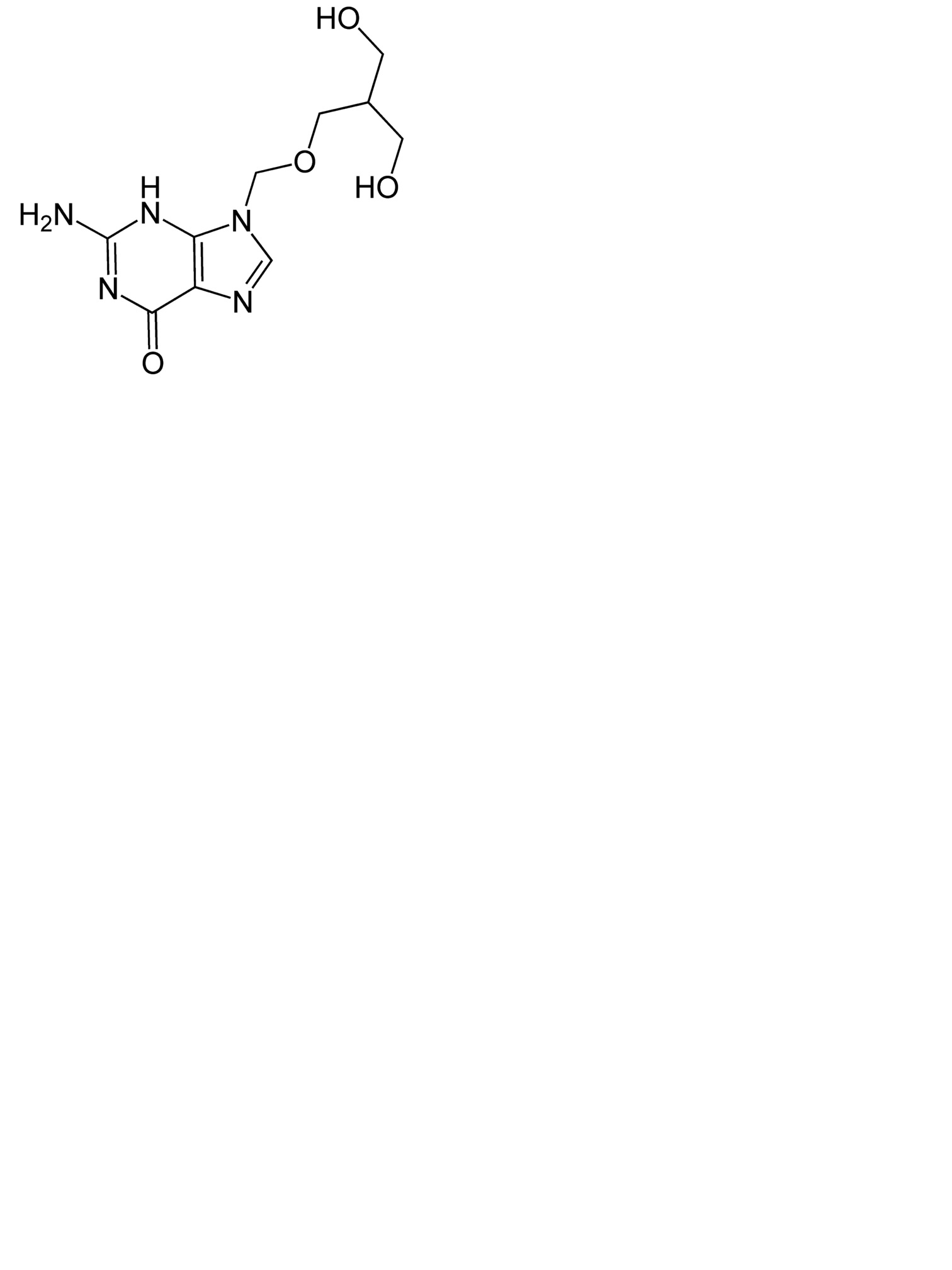
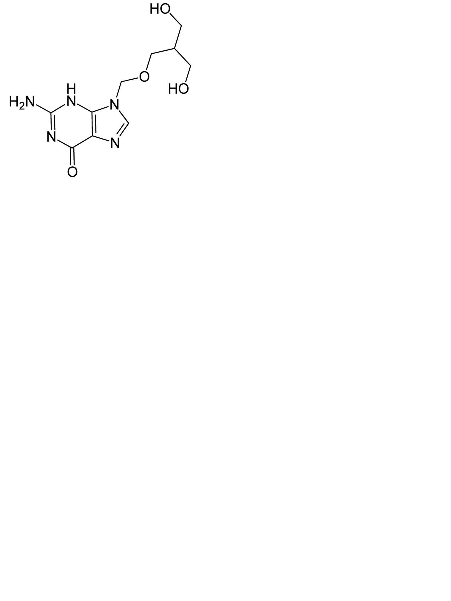
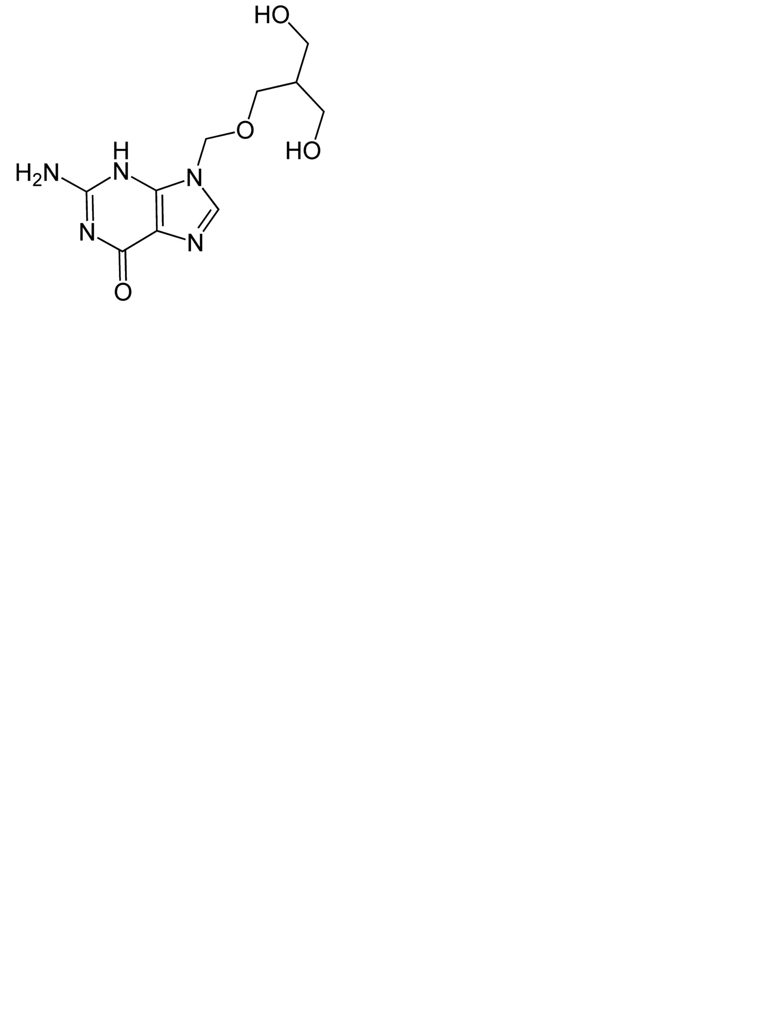
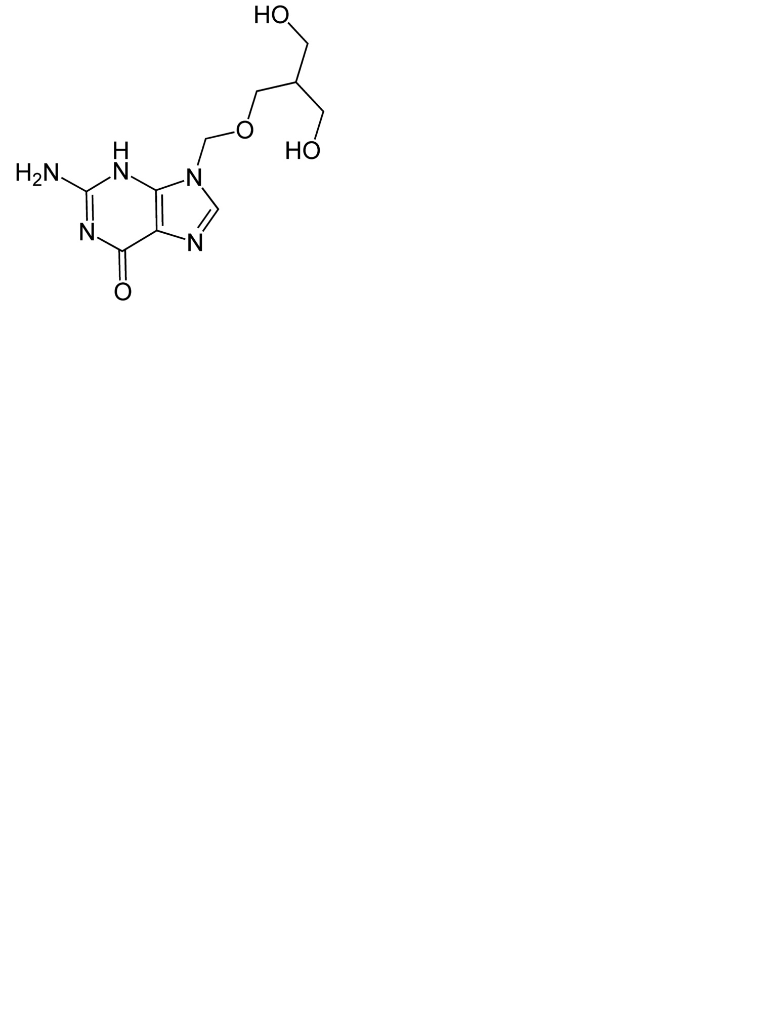
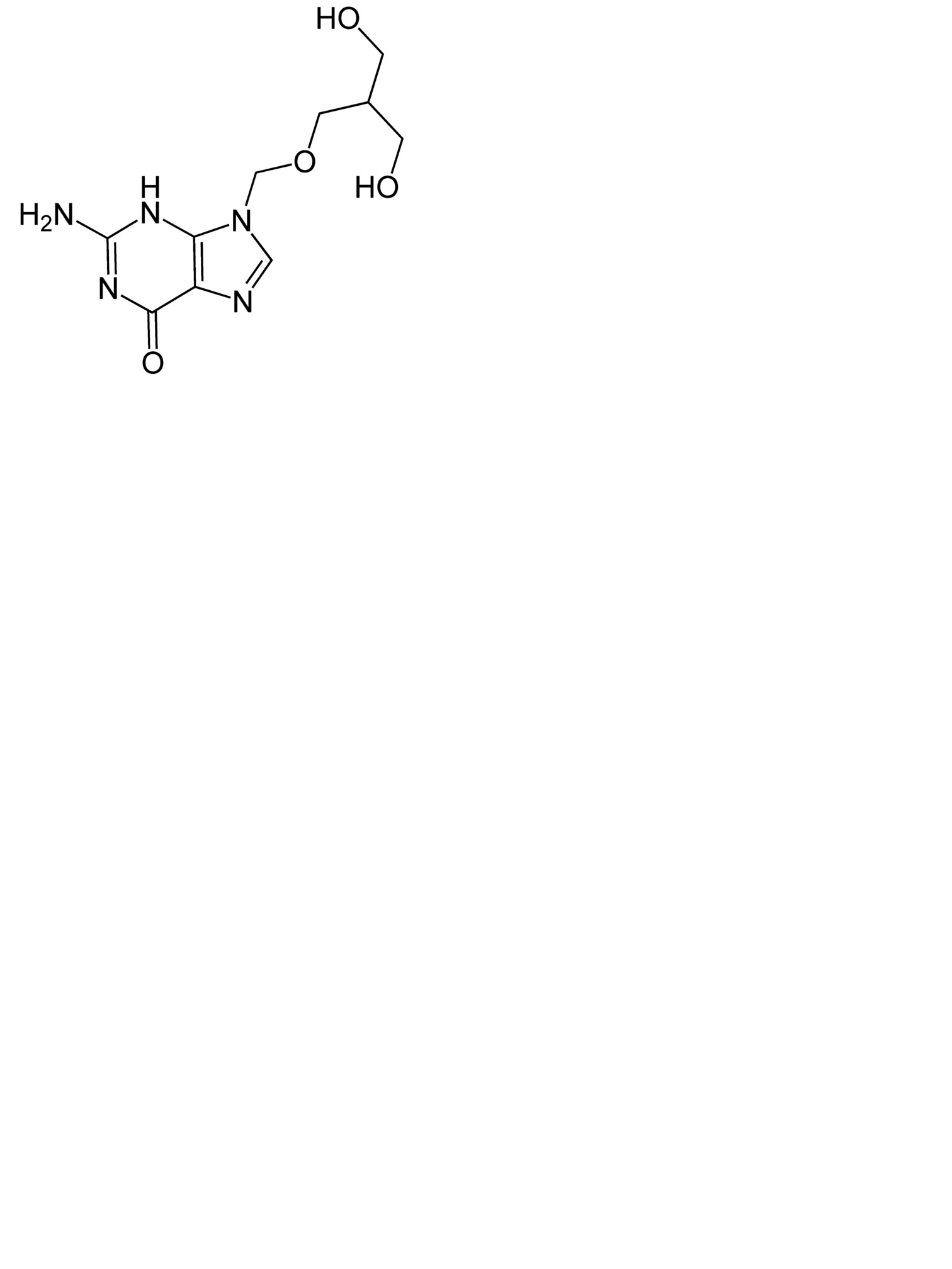
Antiviral   Ganciclovir  
Augentropfen
Stabilität von pharmazeutischen Präparaten Gemengestabilität Stabilitätbeeinflussende Faktoren Kompatibilitäten Literaturverzeichnis pdf
   Chemische Struktur  

Augentropfen

Stabilitätbeeinflussende Faktoren   Augentropfen   Stabilitätbeeinflussende Faktoren : Ganciclovir        
Keine Daten

  Mentions Légales