Last update :
18/03/2026
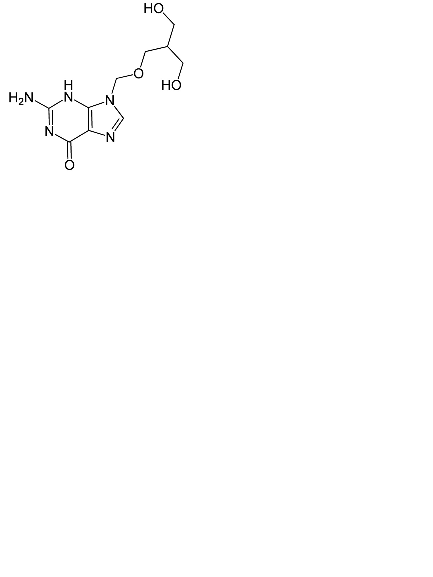
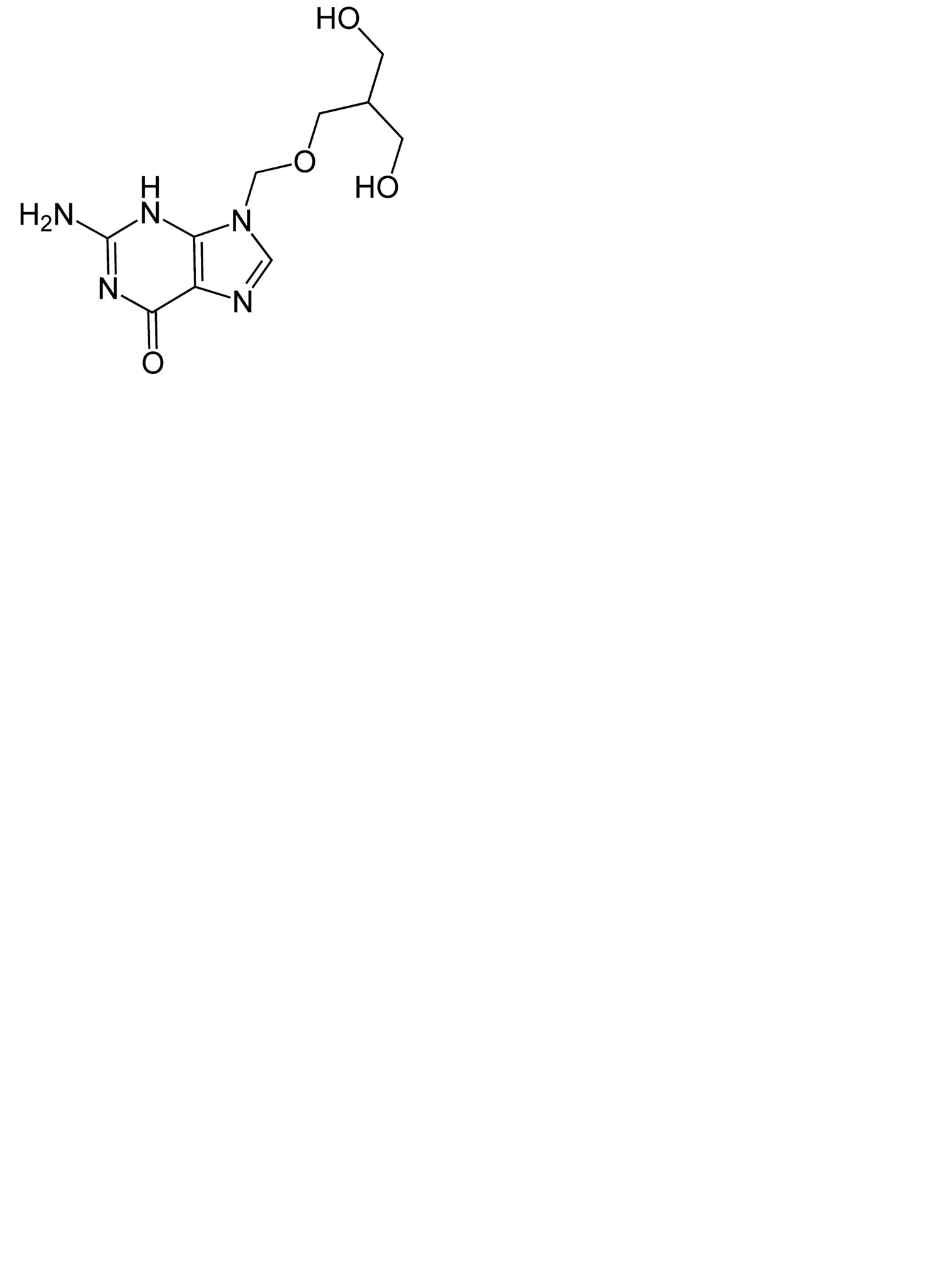
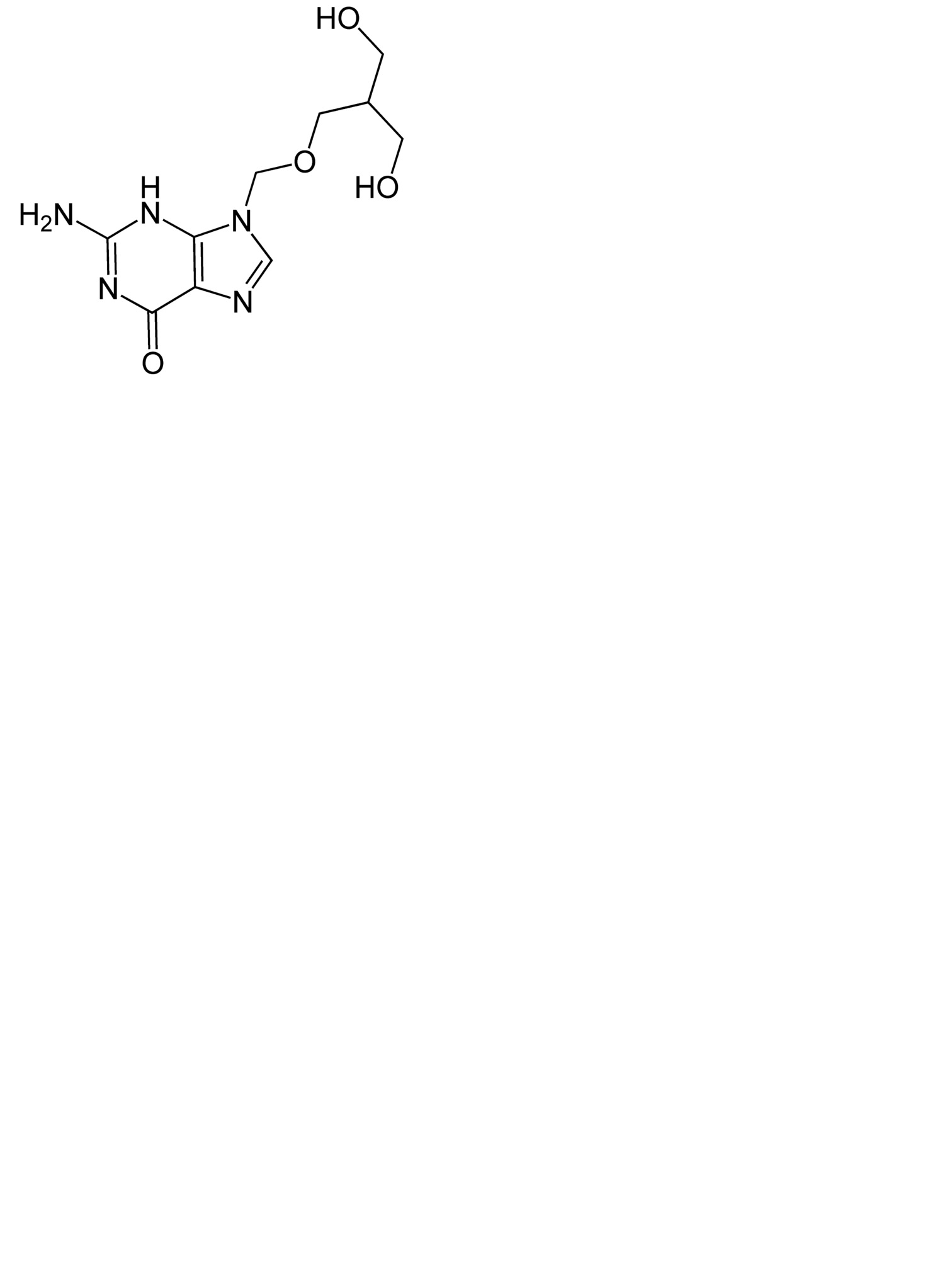
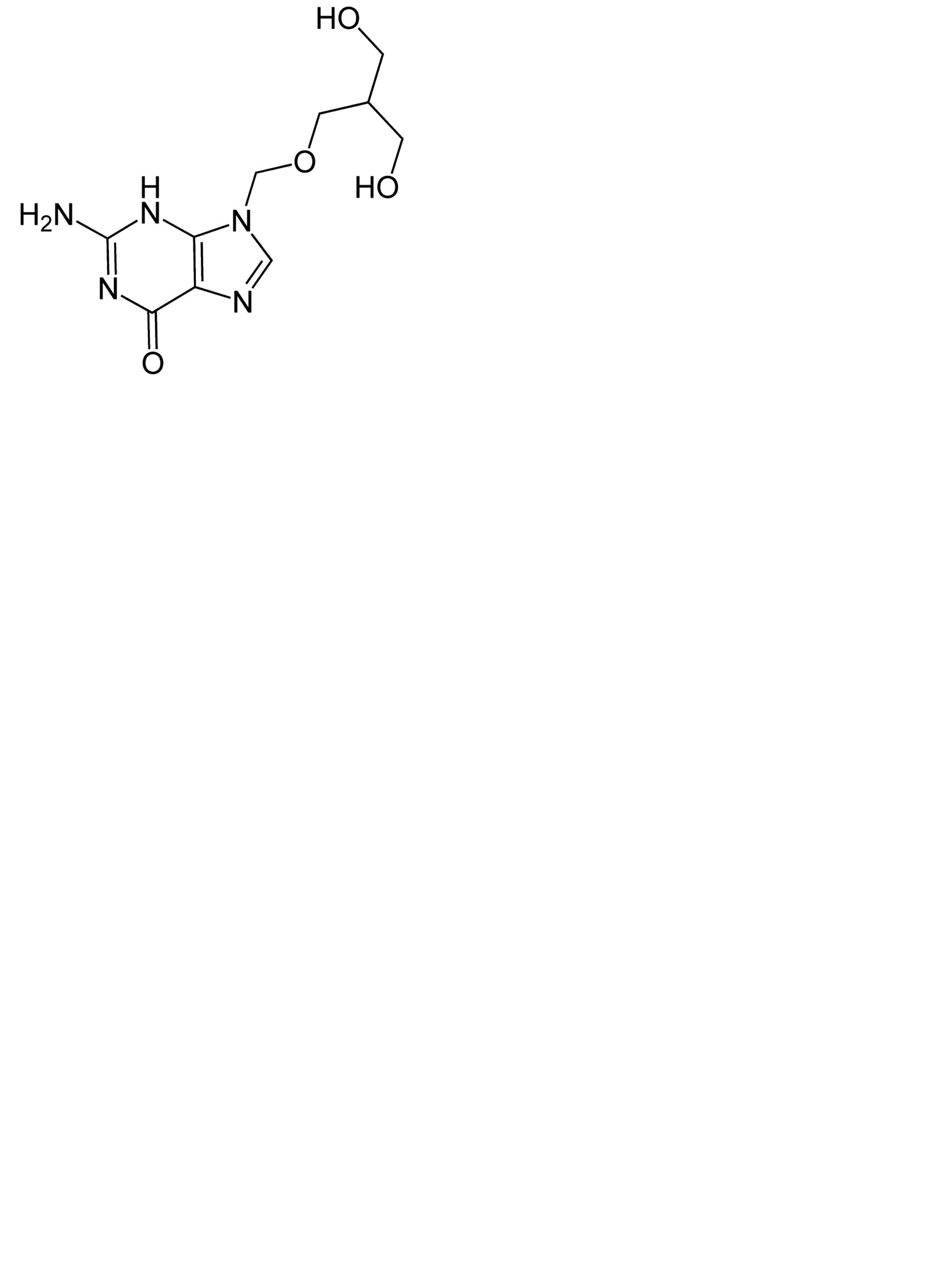
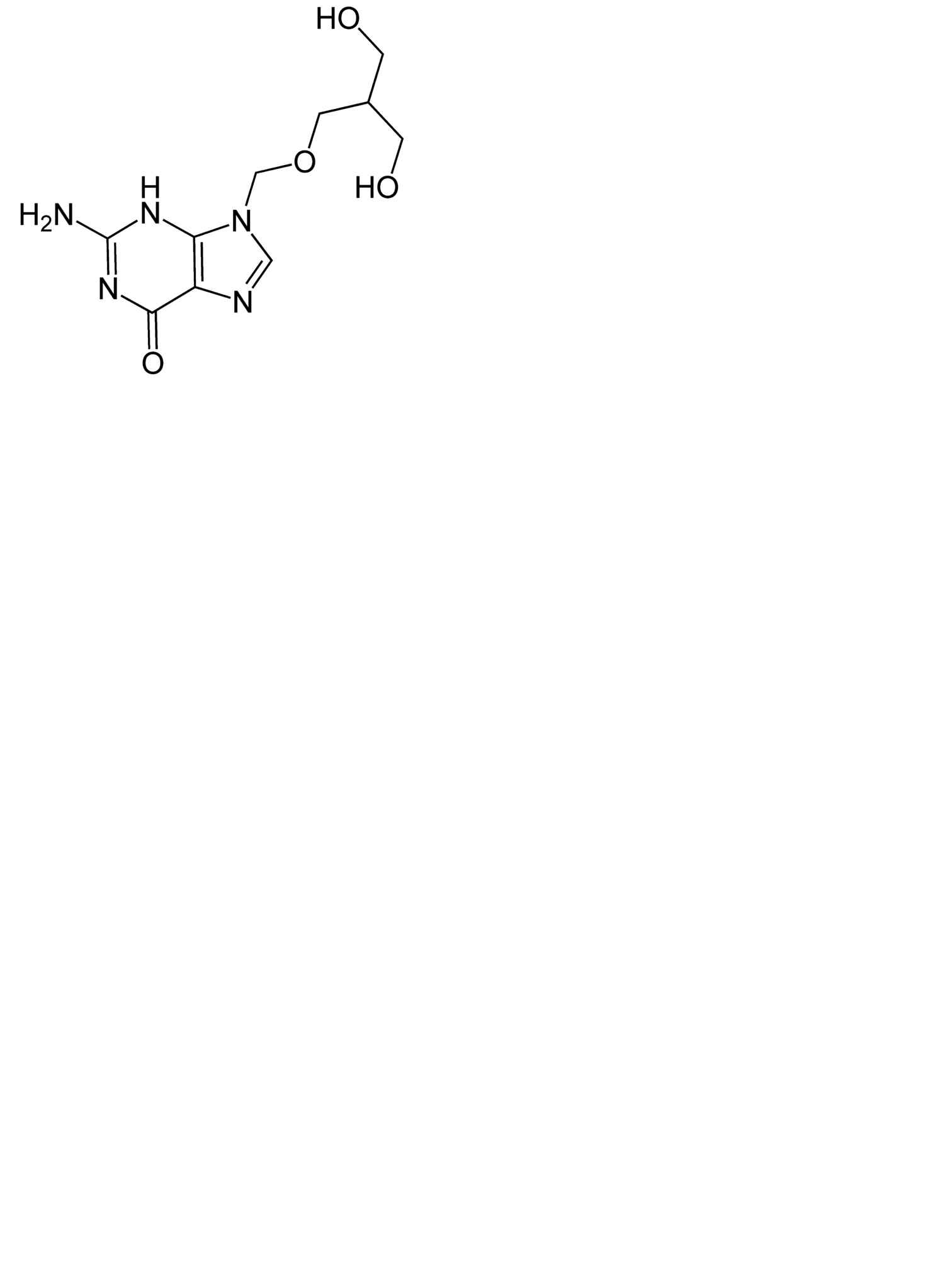
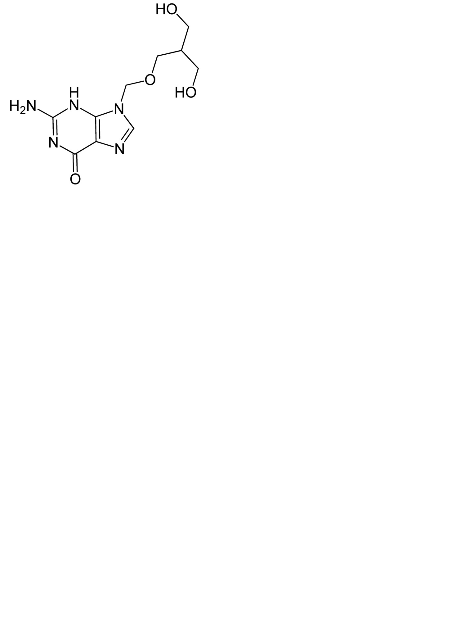
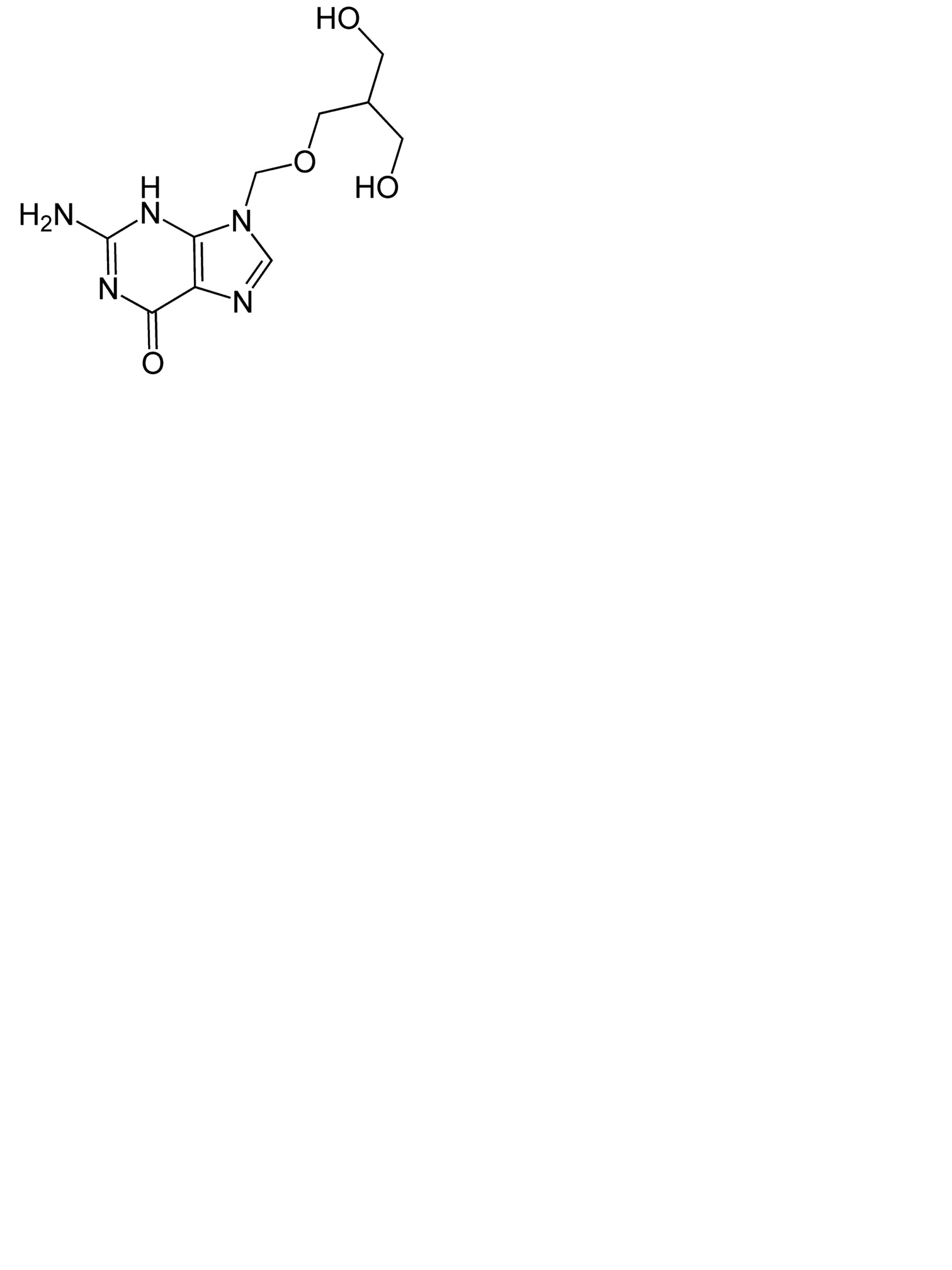
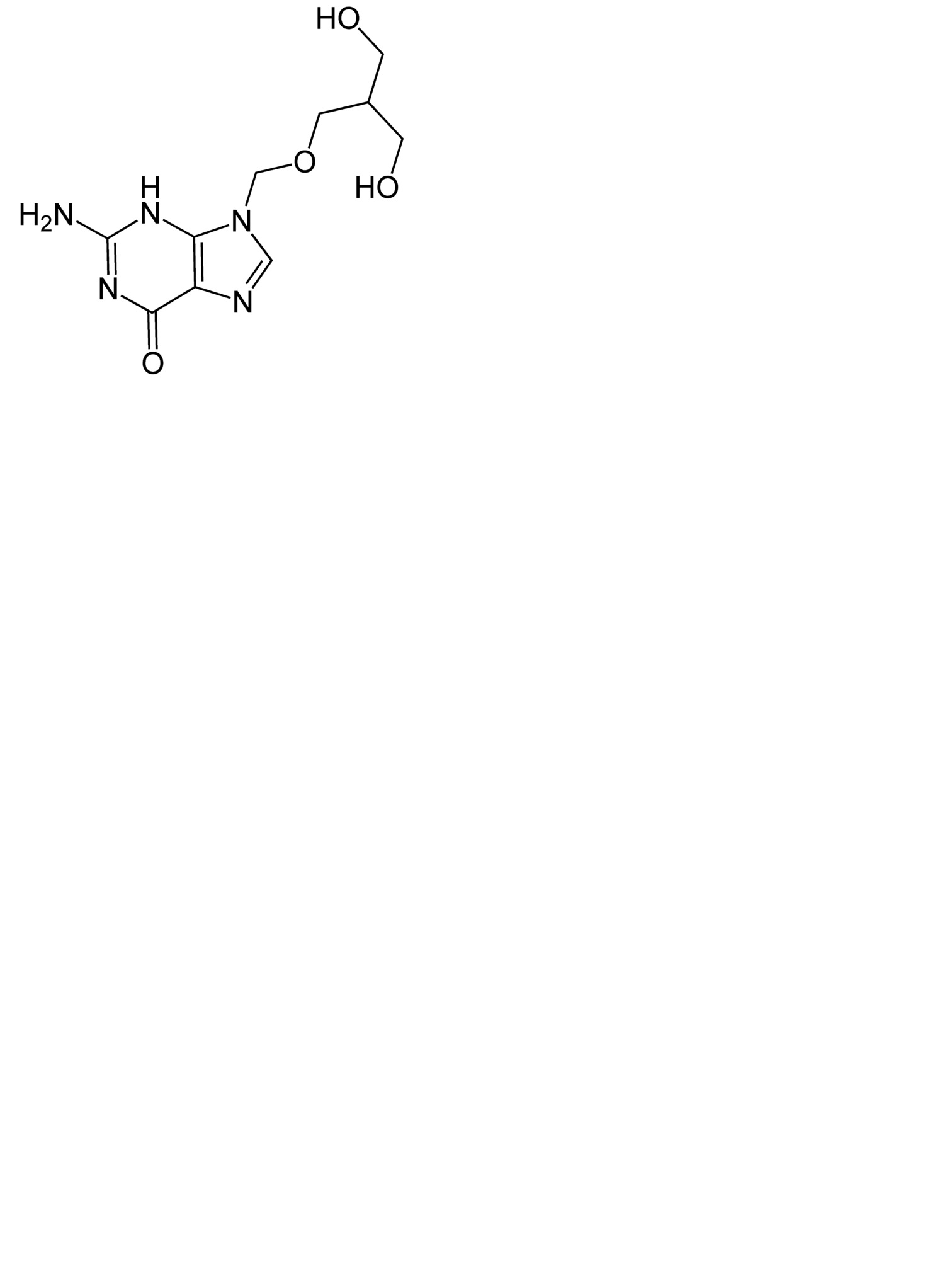
Antiviral   Ganciclovir  
Eye-drops
Stability of pharmaceutical preparations Stability of mixtures Factors which affect stability Compatibility References pdf
   Chemical structure  

Eye-drops

Factors which affect stability   Eye-drops   Factors which affect stability : Ganciclovir        
No data

  Mentions Légales