Zadnji put ažurirano :
18/03/2026
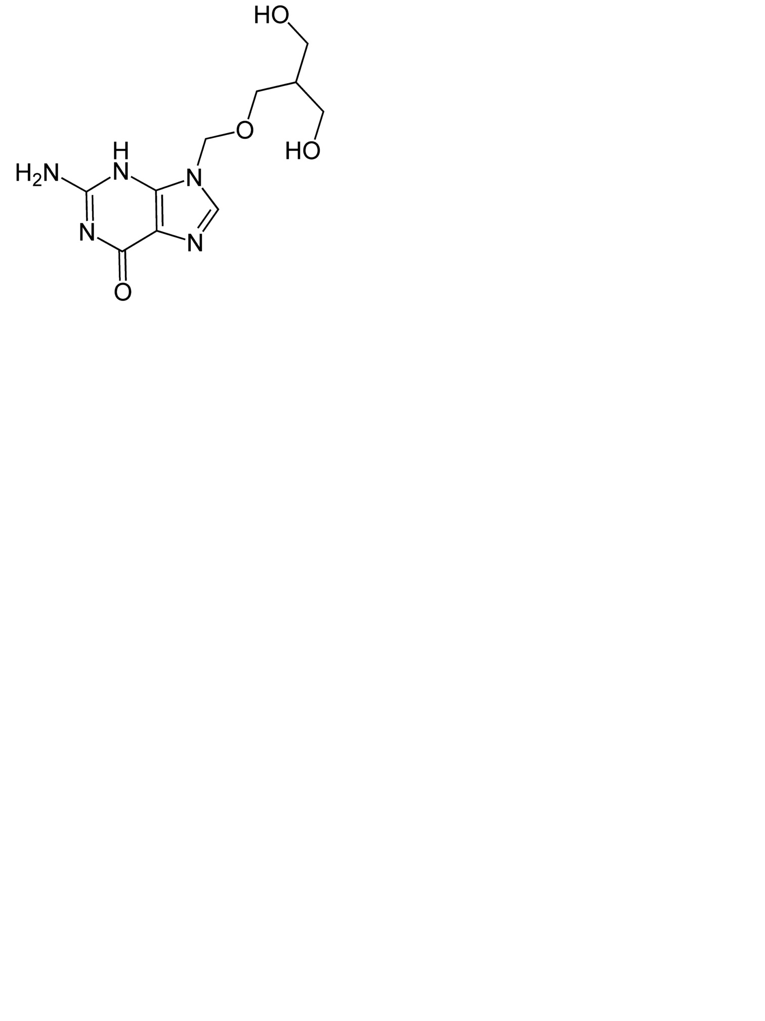
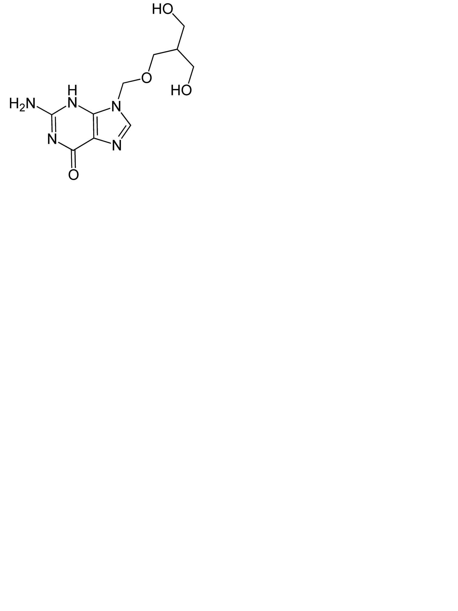
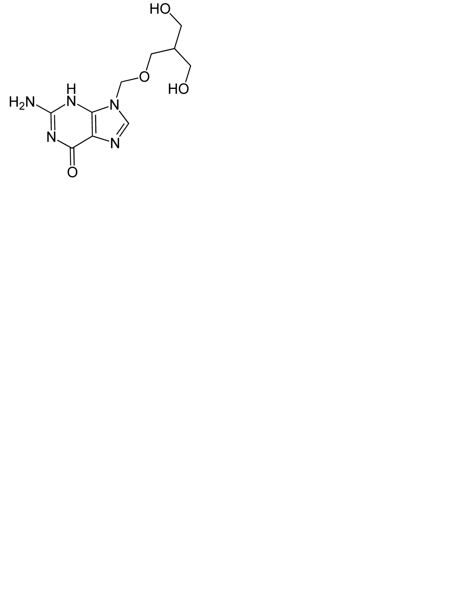
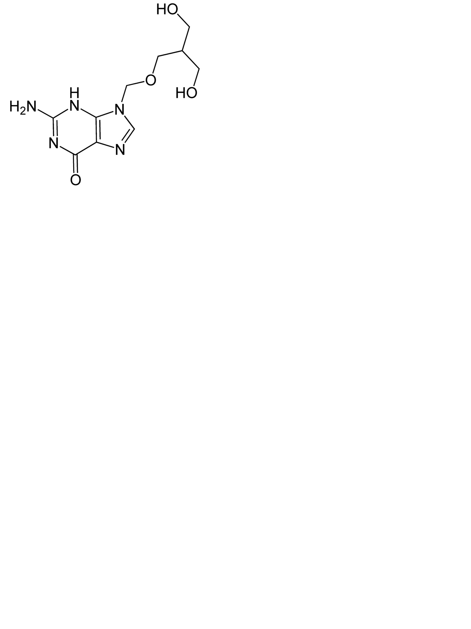
protuvirusan   Ganciclovir  
kapi za oko
Stabilnost farmaceutskih pripravaka Stabilnost mješavine Stabilizacijski faktor Kompatibilnosti Bibliografija pdf
   Kemijska struktura  

kapi za oko

Stabilizacijski faktor   kapi za oko   Stabilizacijski faktor : Ganciclovir        
bez podataka

  Mentions Légales