Seneste opdatering :
18/03/2026
Antiviral   Ganciclovir  
Øjendråber
Stabilitet af farmaceutiske tilberedninger Stabilitet i blandinger Faktorer der påvirker stabiliteten Kompatibilitet Bibliografi pdf
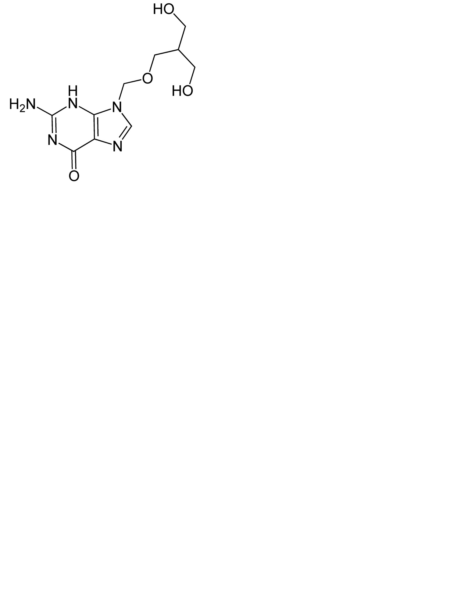
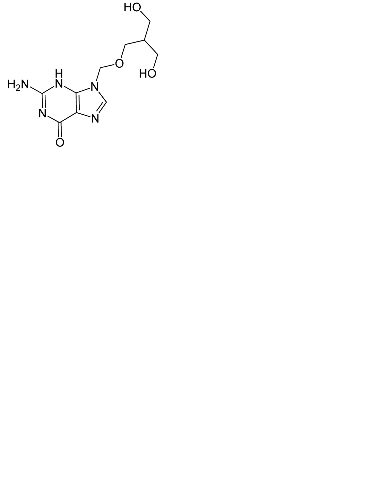
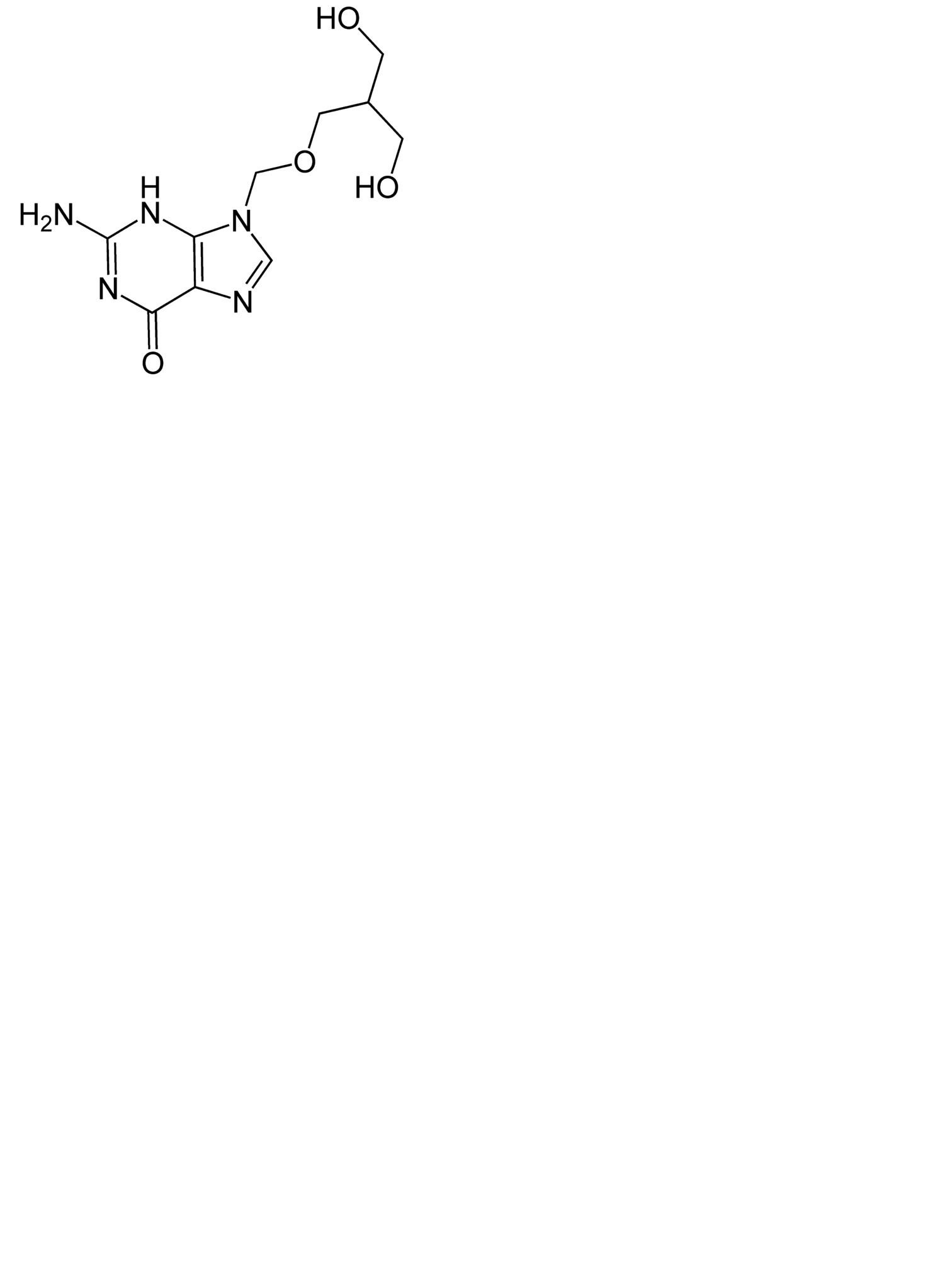
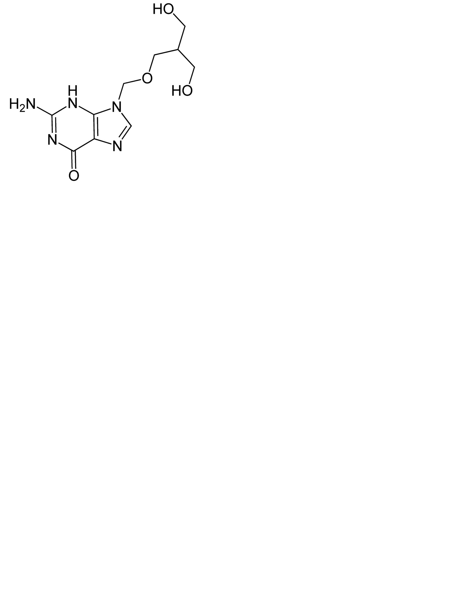
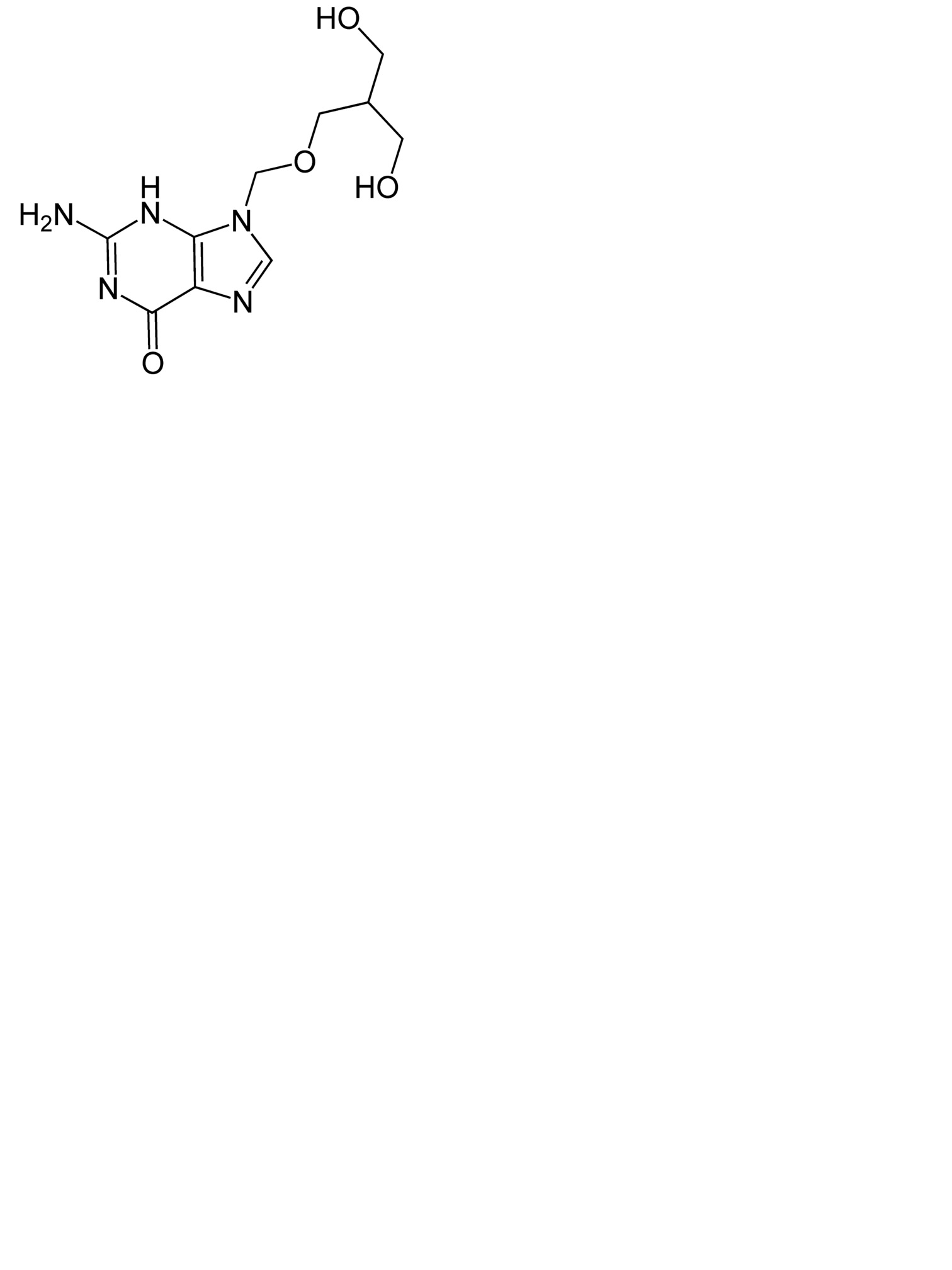
   Kemisk struktur  

Øjendråber

Faktorer der påvirker stabiliteten   Øjendråber   Faktorer der påvirker stabiliteten : Ganciclovir        
Ingen data

  Mentions Légales