Последно актуализиране :
18/03/2026
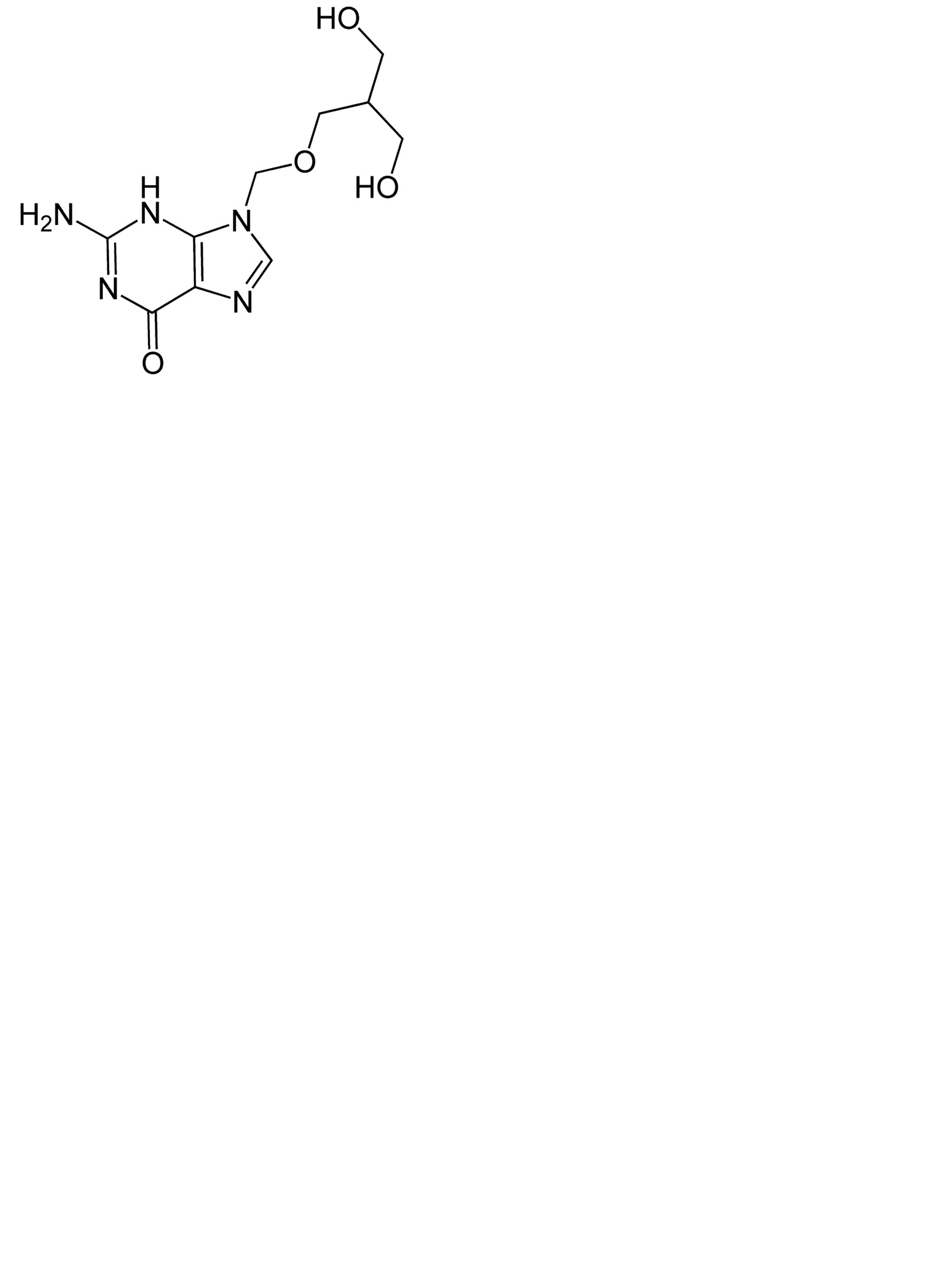
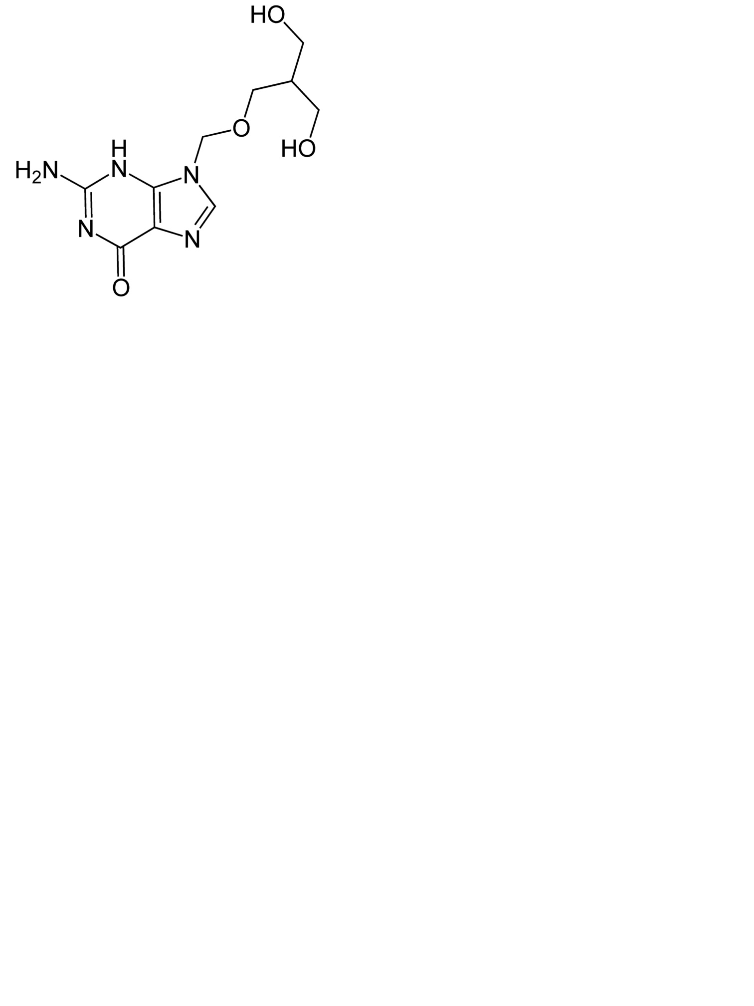
Противовирусно средство   Ganciclovir  
Капки за очи
Стабилност на лекарствени препарати Стабилност на смеси Фактори, повлияващи стабилността Съвместимост Библиография Pdf
   Химична структура  

Капки за очи

Фактори, повлияващи стабилността   Капки за очи   Фактори, повлияващи стабилността : Ganciclovir        
Няма данни

  Mentions Légales