Останнє оновлення :
18/03/2026
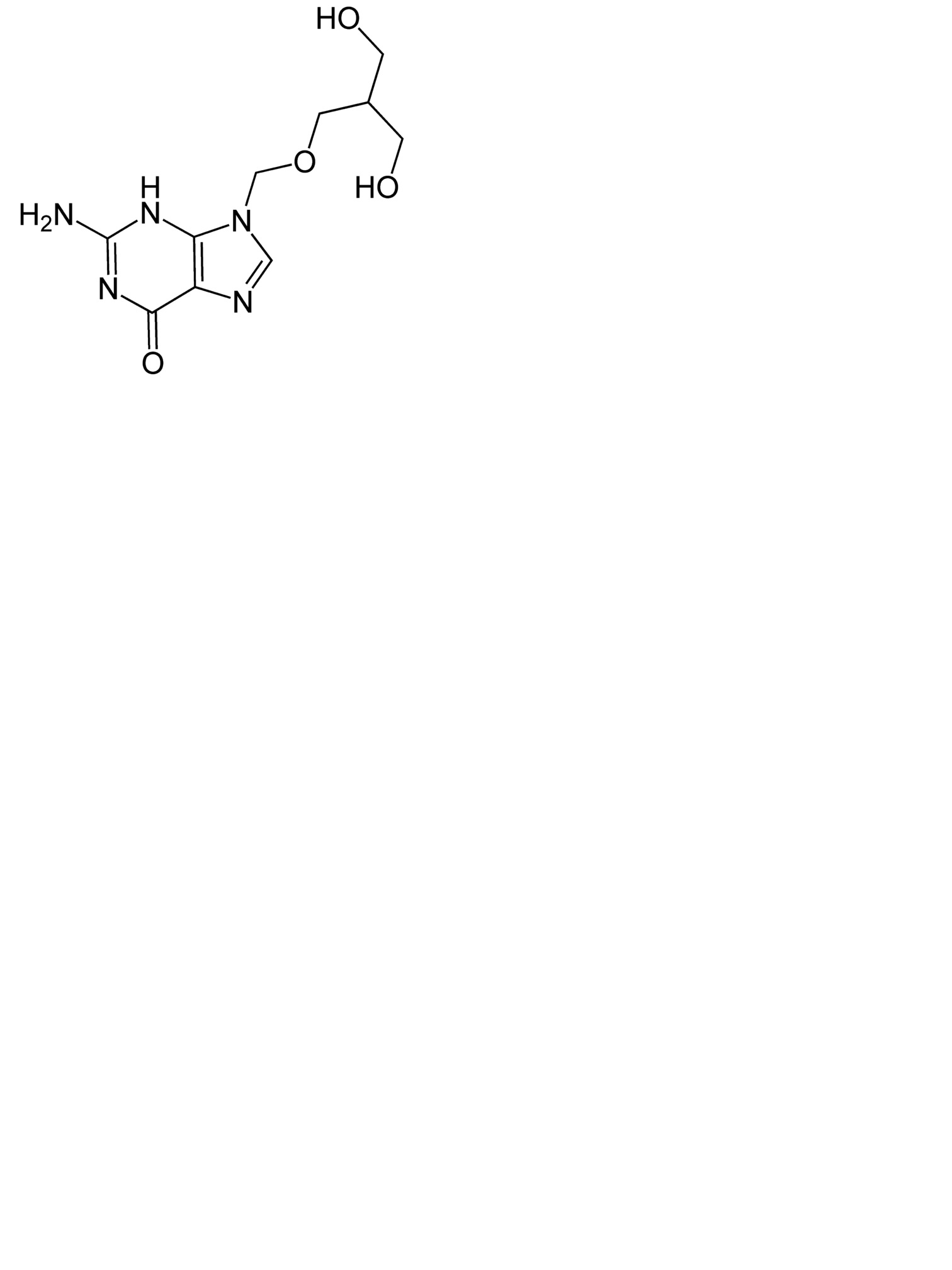
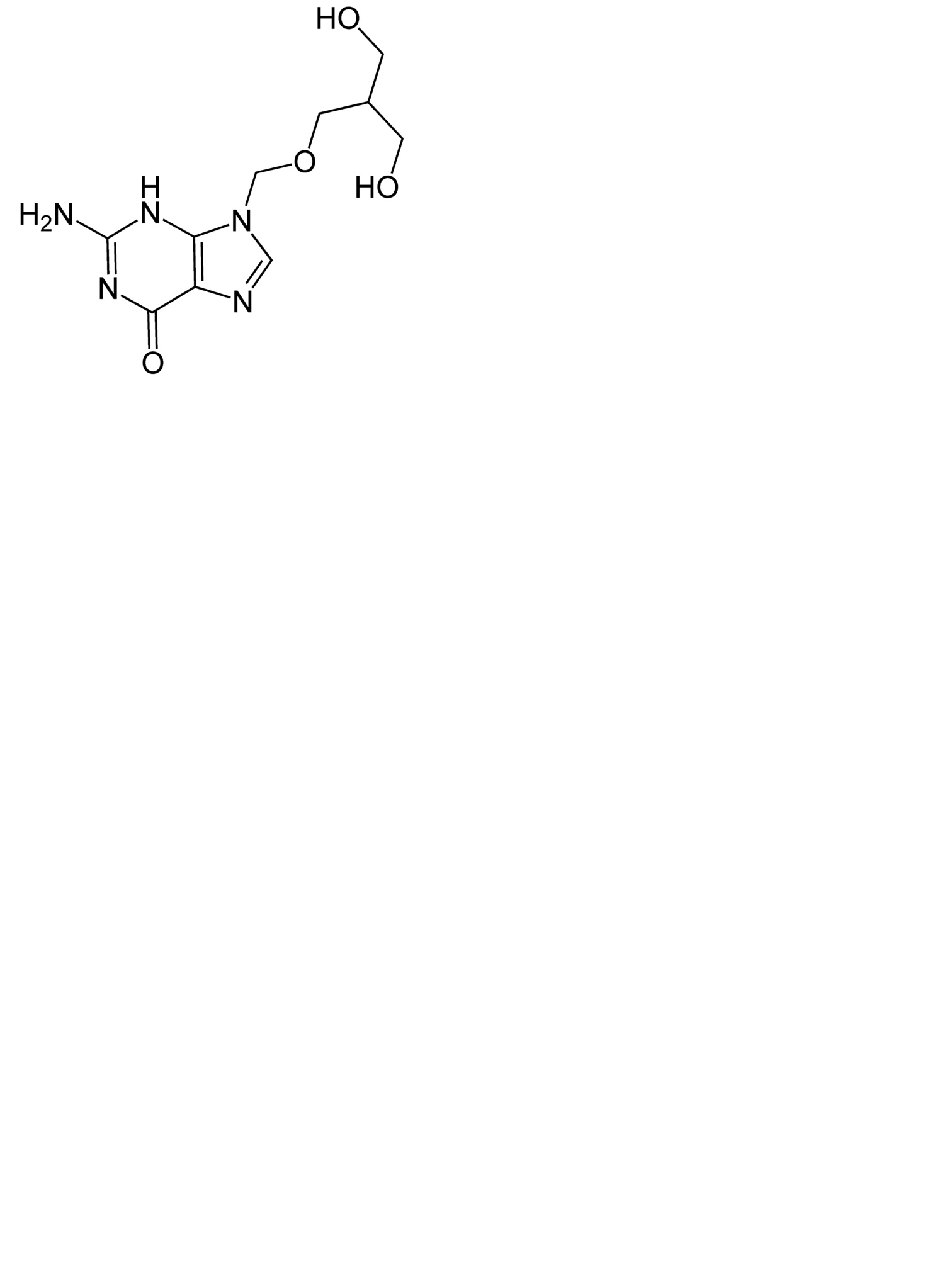
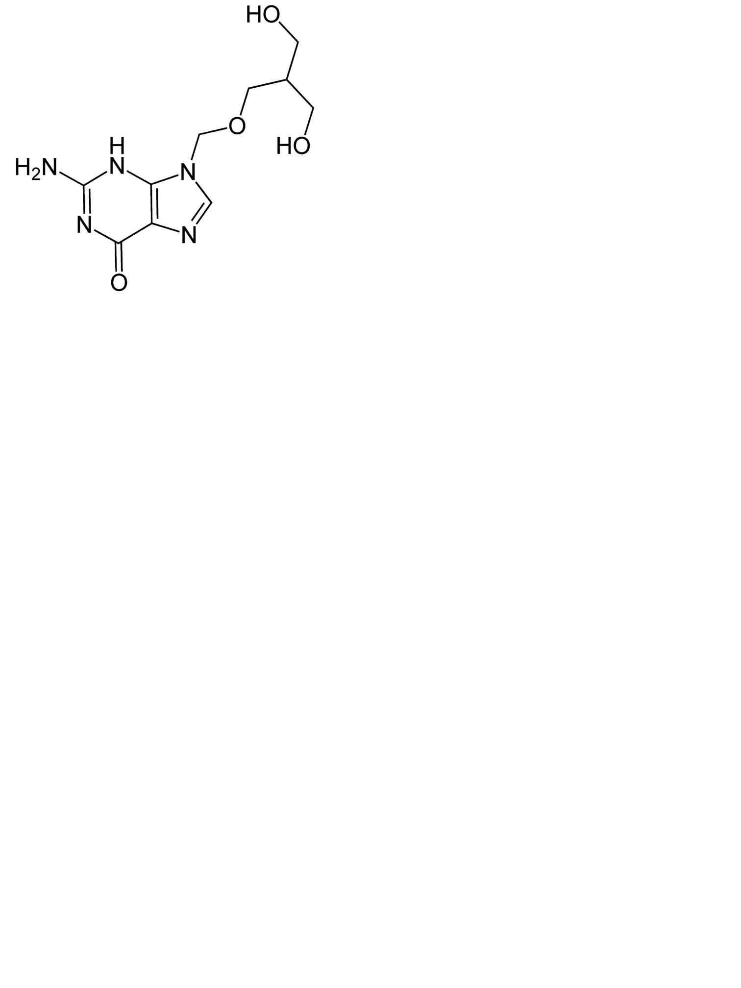
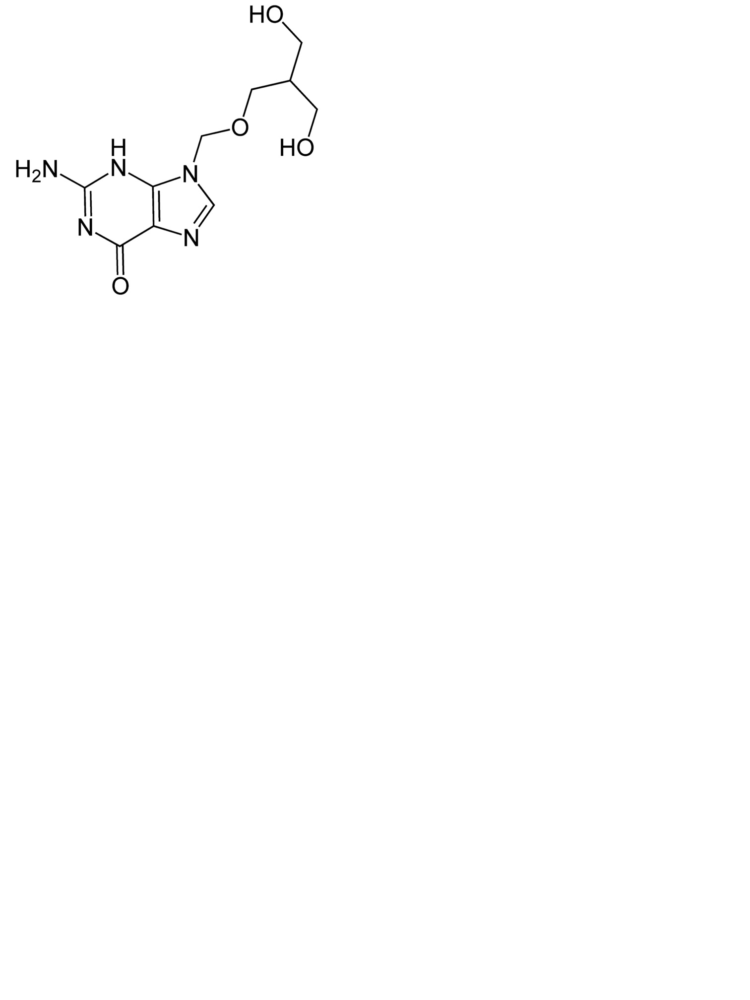
Противірусні ліки   Ganciclovir  
Очні краплі
Стабільність фармацевтичних препаратів Стійкість сумішей Фактори, що впливають на стабільність Сумісність Список літератури pdf
   Хімічна структура  

Очні краплі

Фактори, що впливають на стабільність   Очні краплі   Фактори, що впливають на стабільність : Ganciclovir        
7 / 5 000 Résultats de traduction Немає даних

  Mentions Légales