Ostatnia aktualizacja :
18/03/2026
Lek przeciwwirusowy   Ganciclovir  
Krople oczne
Stabilność preparatów farmaceutycznych Trwałość w mieszaninie Czynnik wpływający na trwałość Zgodność Bibliografia pdf
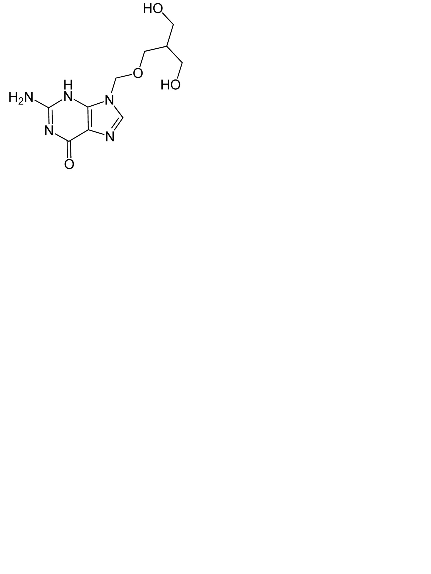
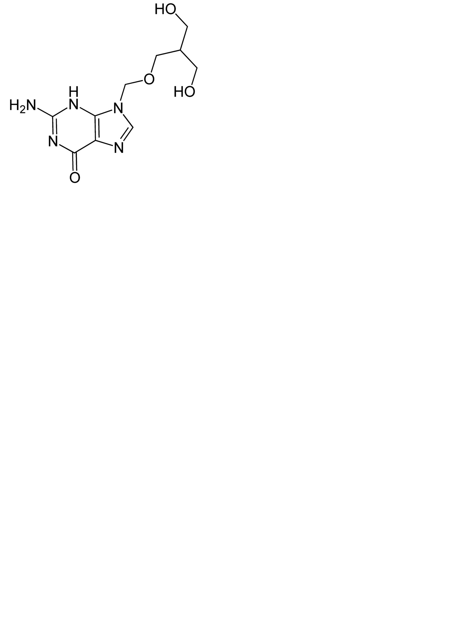
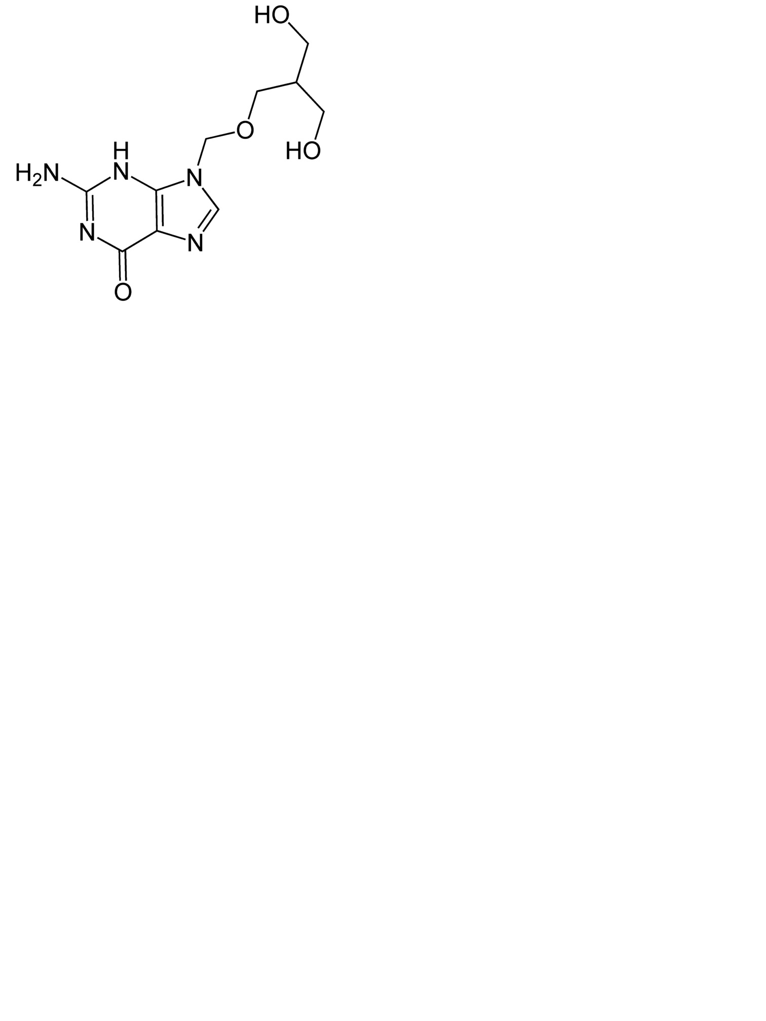
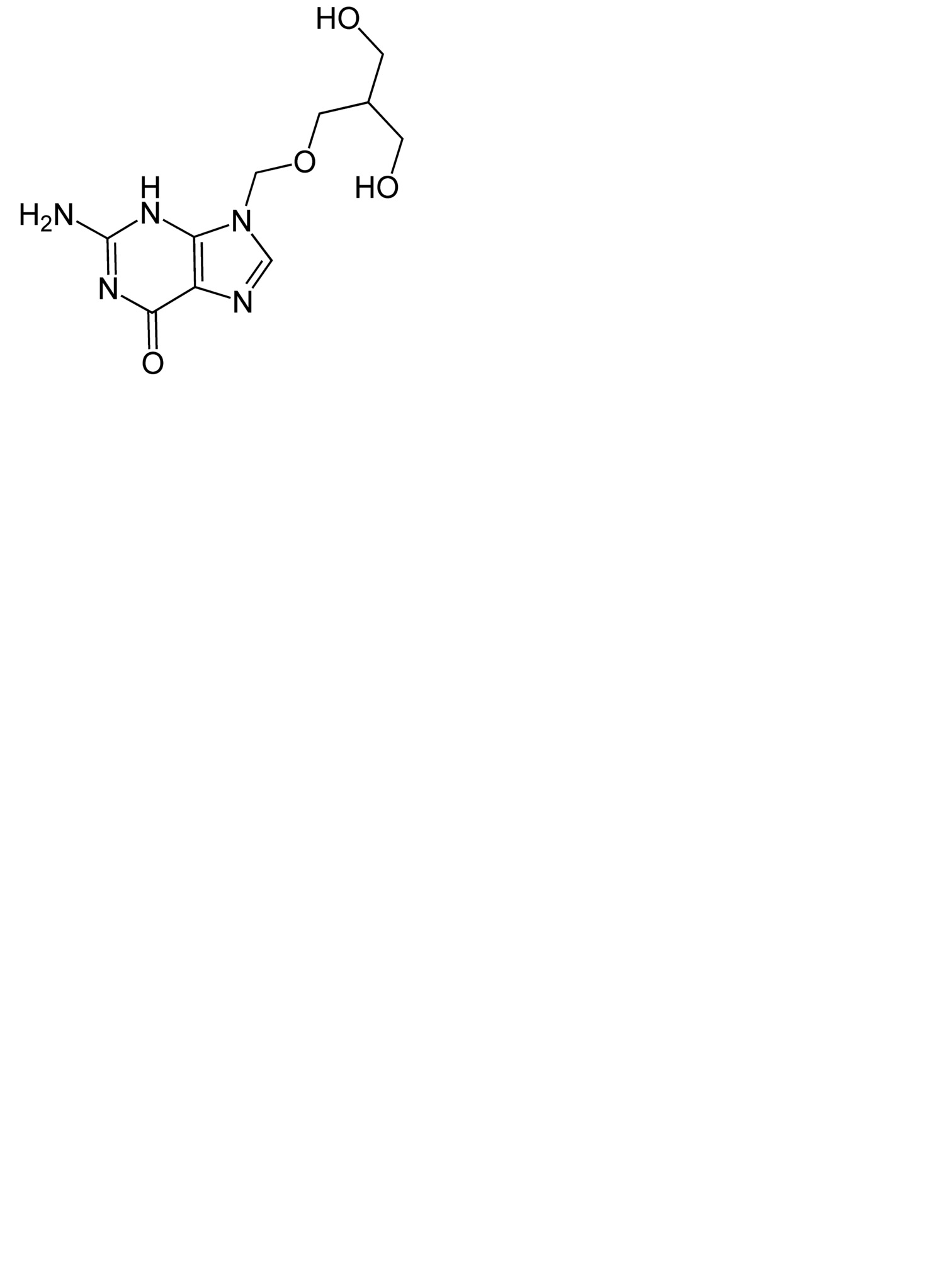
   Struktura chemiczna  

Krople oczne

Czynnik wpływający na trwałość   Krople oczne   Czynnik wpływający na trwałość : Ganciclovir        
Brak danych

  Mentions Légales