Siste oppdatering :
31/03/2026
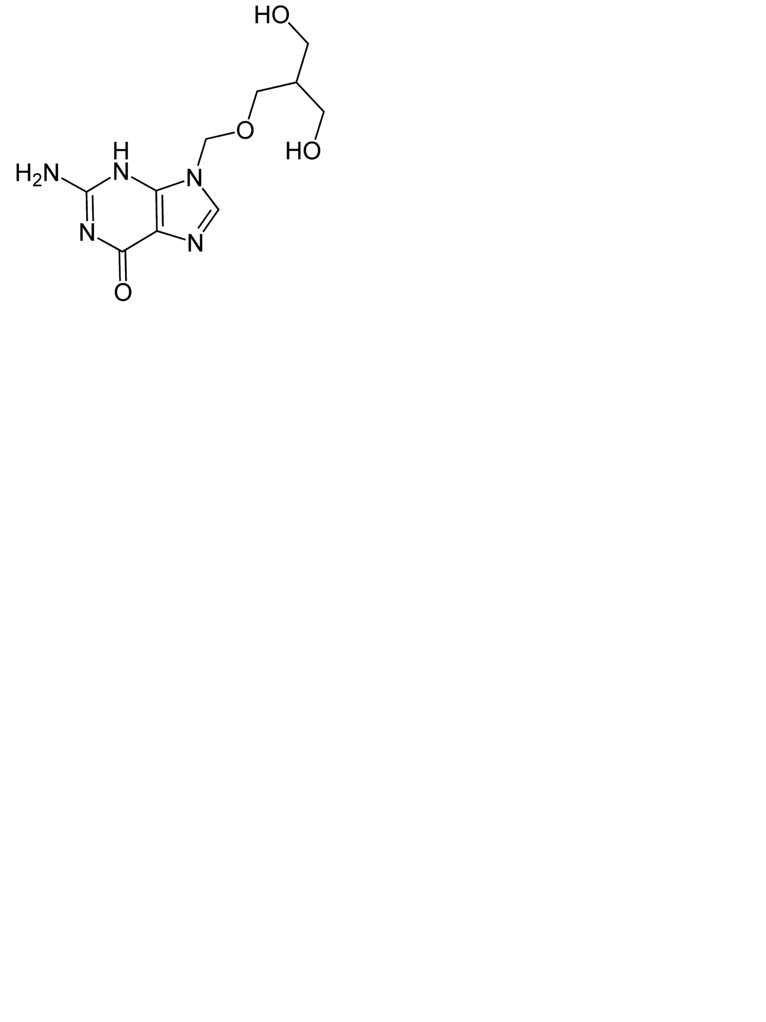
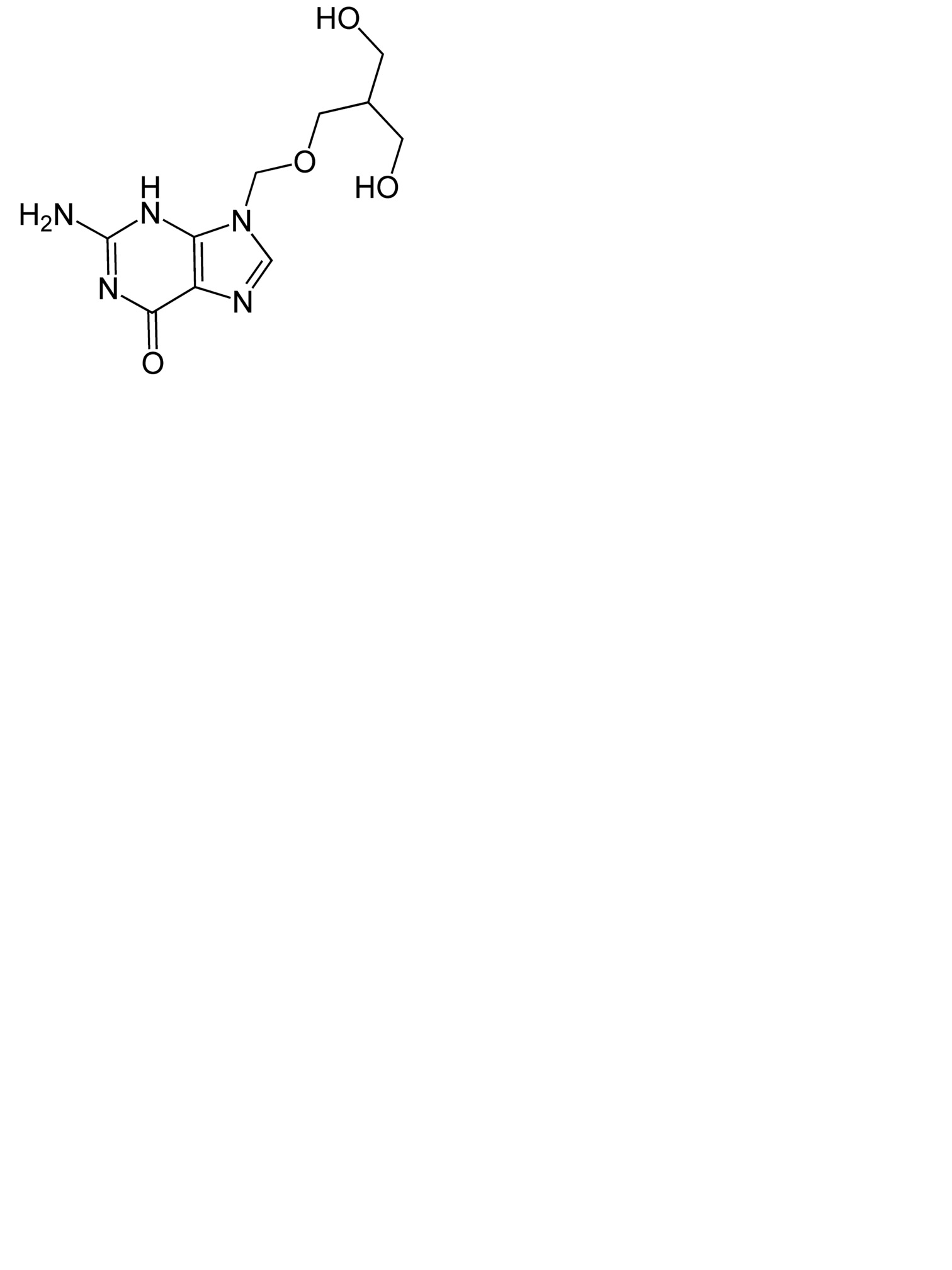
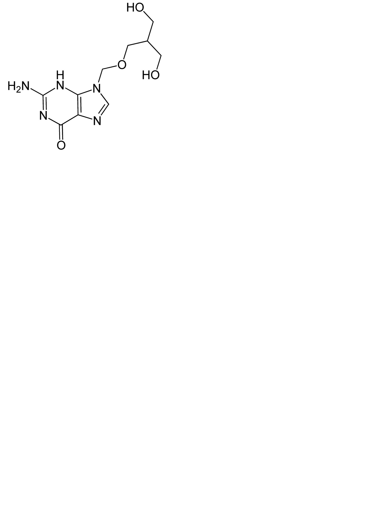
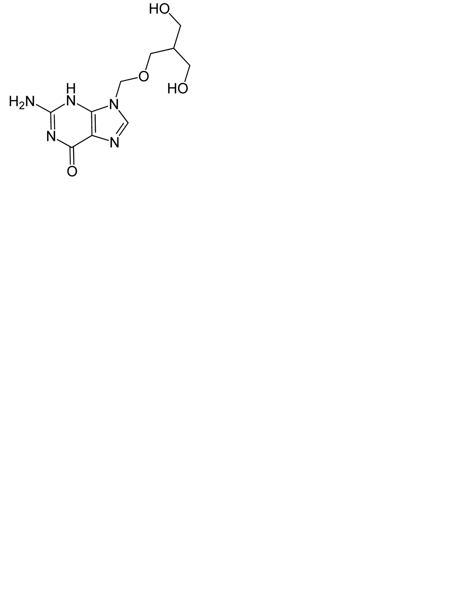
Antiviralt middel   Ganciclovir  
Øyedråper
Stabilitet av farmasøytiske preparater Stabilitet i blandinger Faktorer som påvirker stabiliteten Kompatibilitet Referanser pdf
   Kjemisk struktur  

Øyedråper

Faktorer som påvirker stabiliteten   Øyedråper   Faktorer som påvirker stabiliteten : Ganciclovir        
Ingen opplysninger

  Mentions Légales