Son güncelleme :
18/03/2026
Antiviral   Ganciclovir  
Göz damlası
Farmasötik preparatlar Kararlılığı Karışımlardaki stabilitesi Stabiliteyi etkileyen faktörler Uyumluluk Kaynaklar pdf
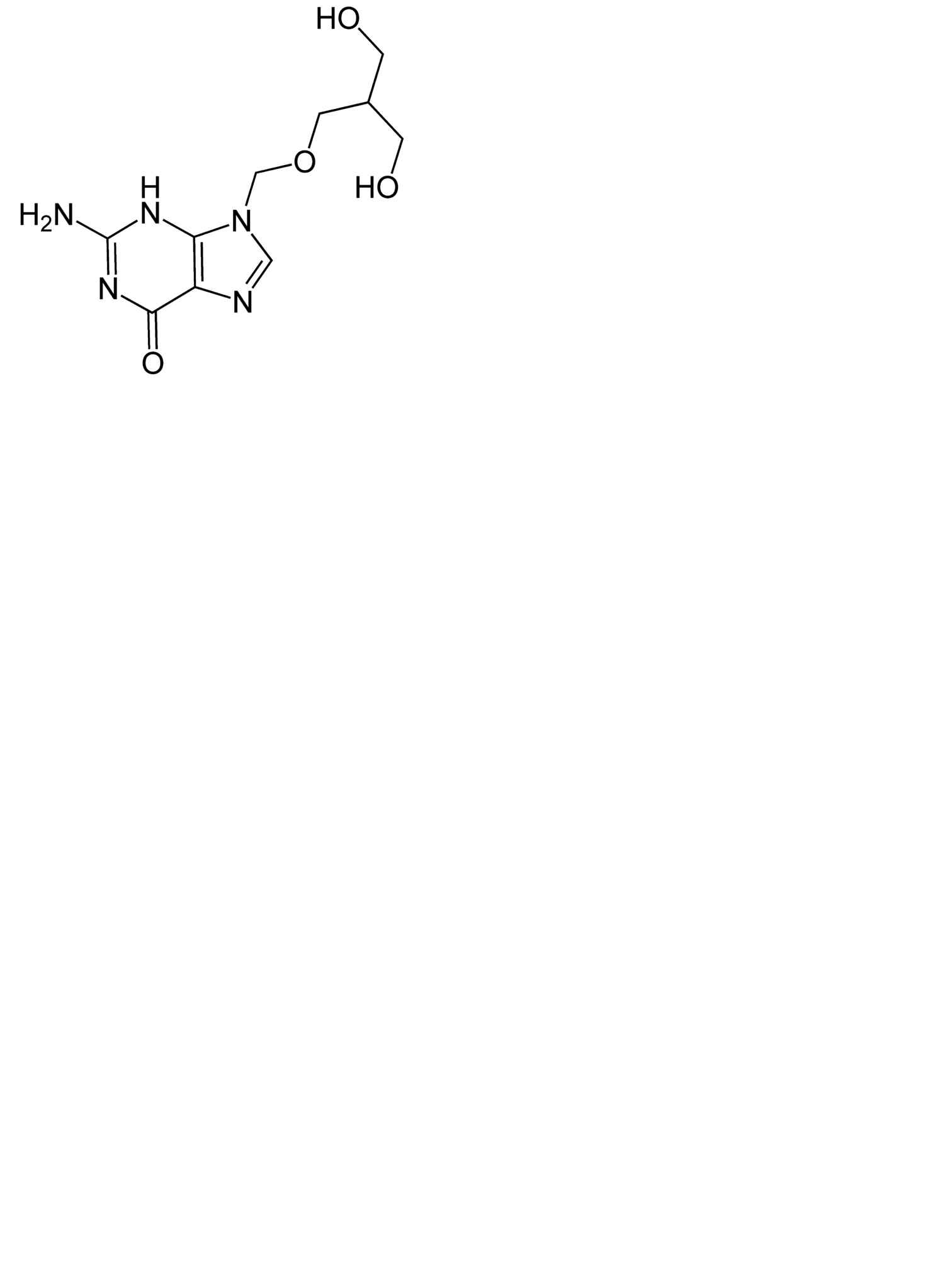
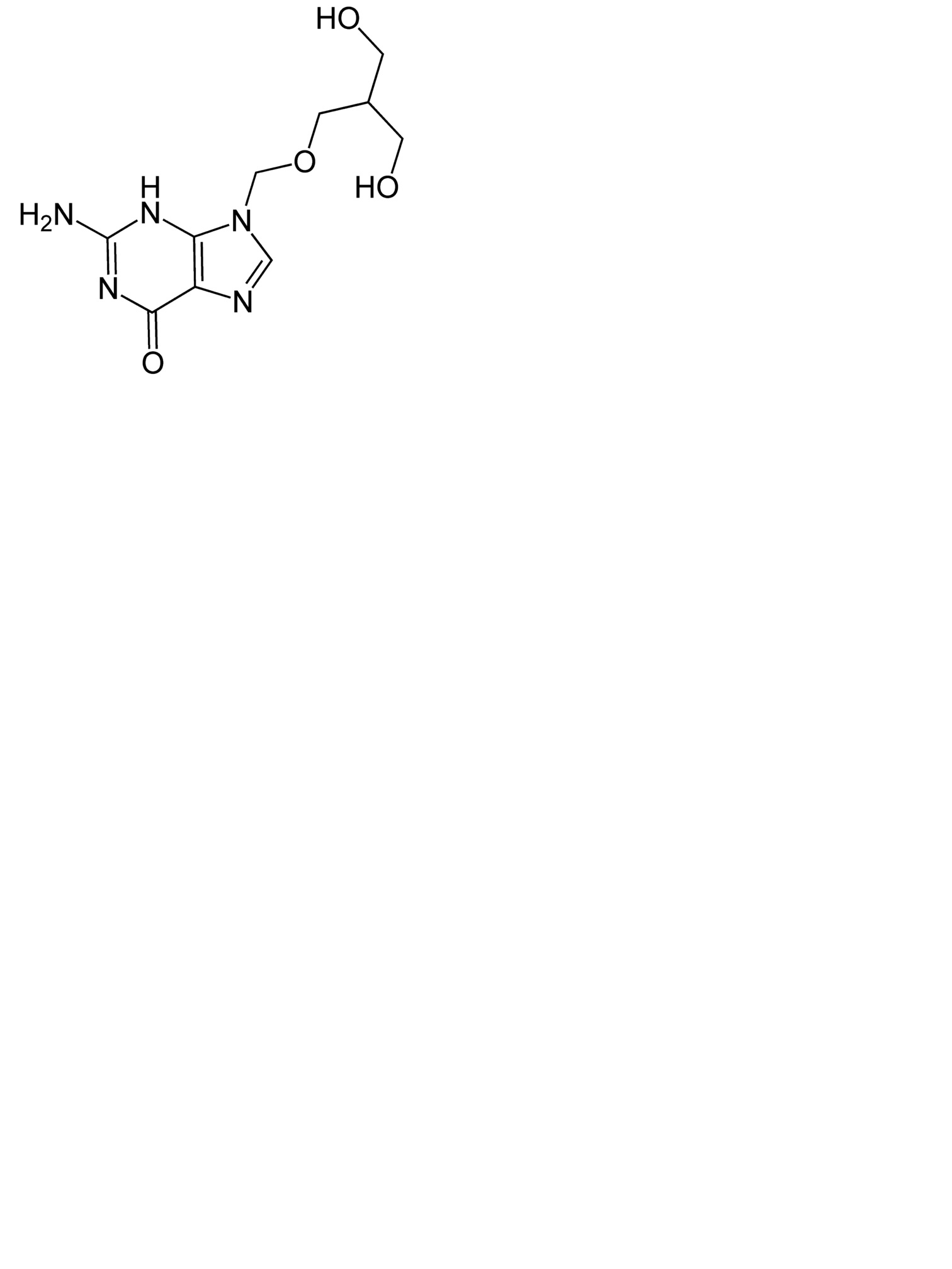
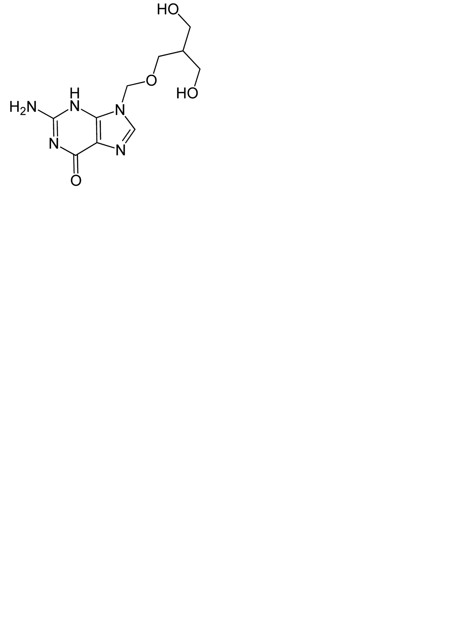
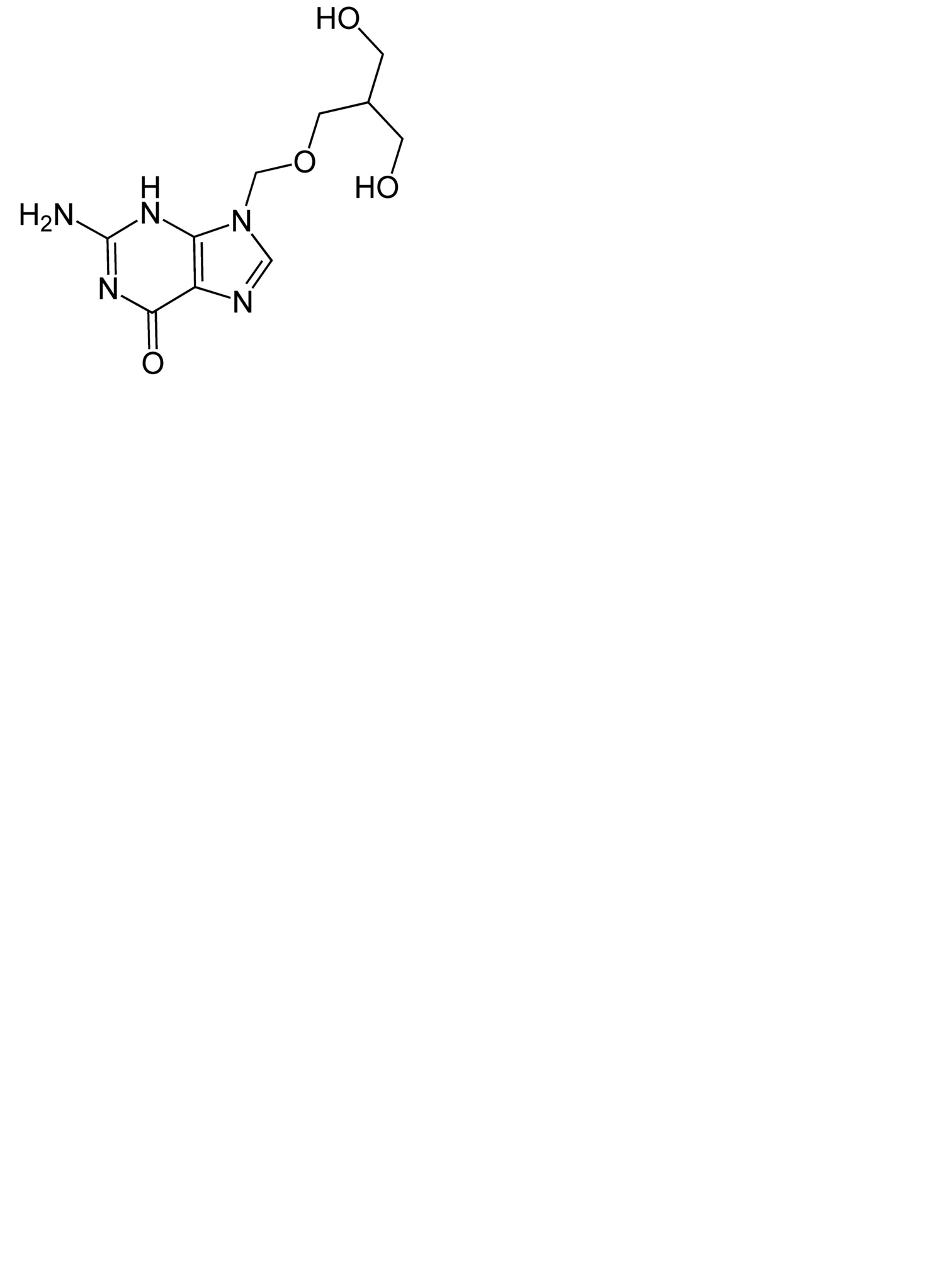
   Kimyasal yapı   

Göz damlası

Stabiliteyi etkileyen faktörler    Göz damlası   Stabiliteyi etkileyen faktörler : Ganciclovir        
veri yok

  Mentions Légales