Última actualización :
18/03/2026
Antiviral   Ganciclovir  
Gotas oculares
La estabilidad de las preparaciones farmacéuticas Estabilidad en mezcla Factores que influyen sobre la estabilidad Compatibilidades Bibliografía pdf
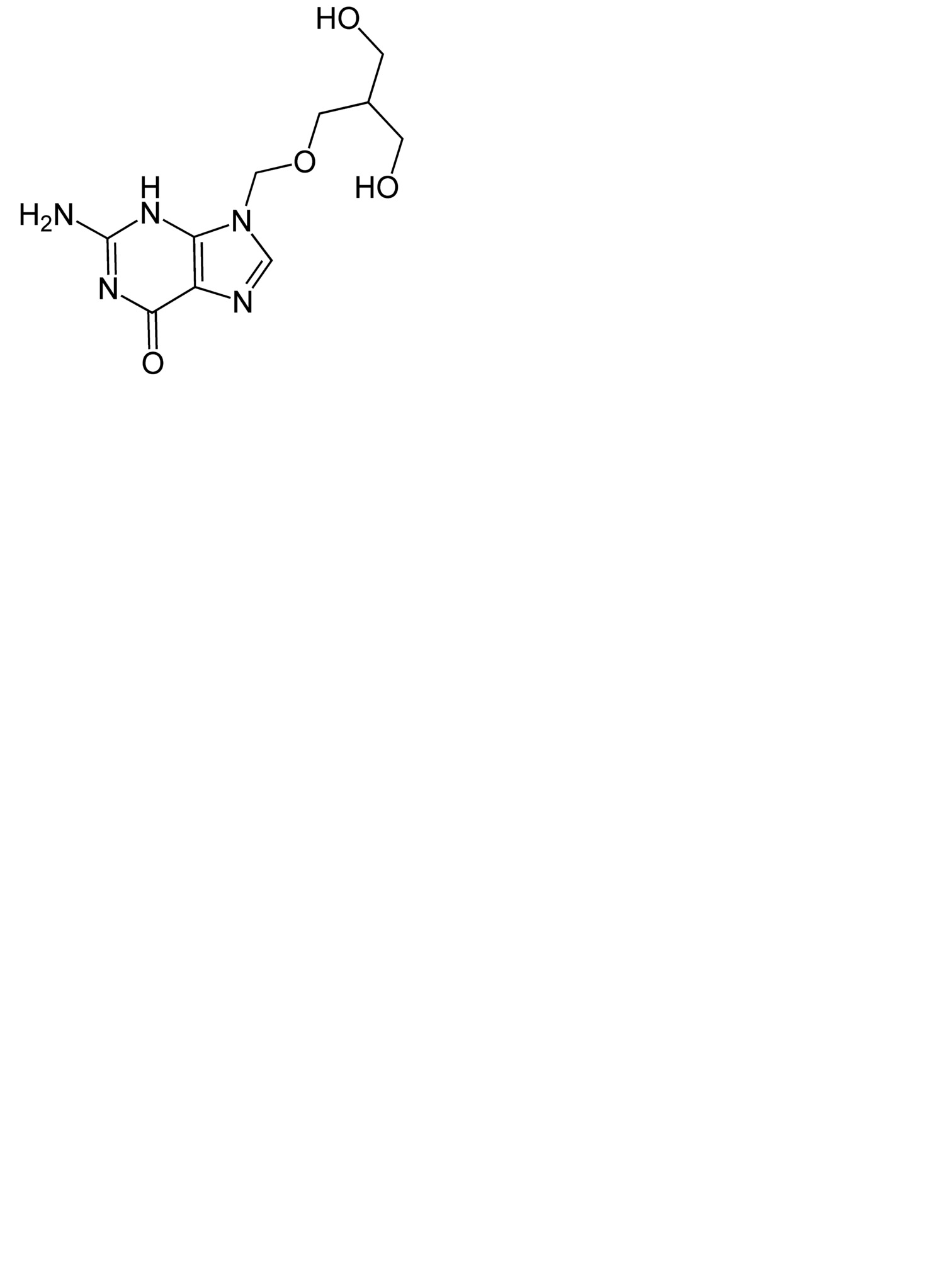
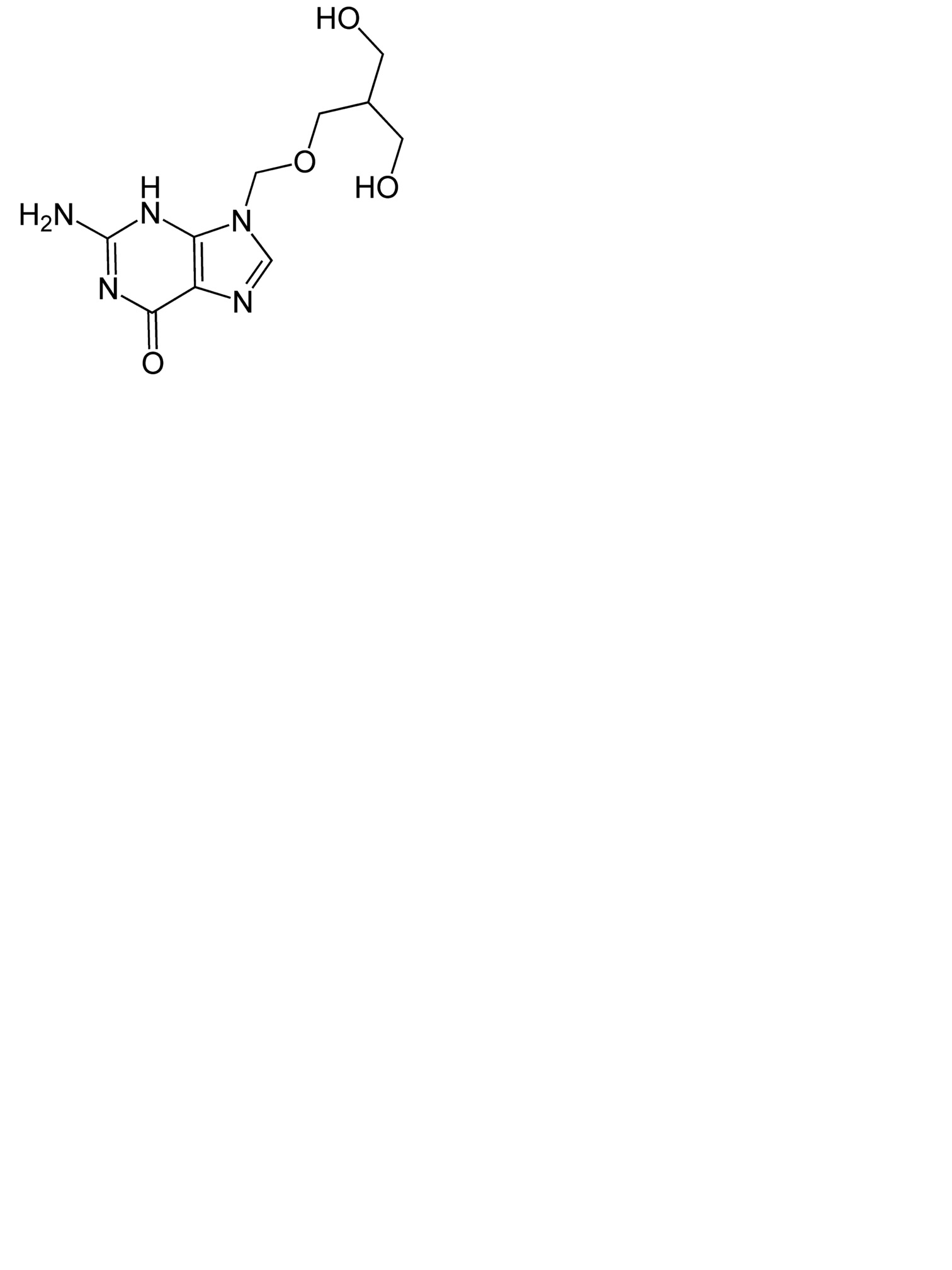
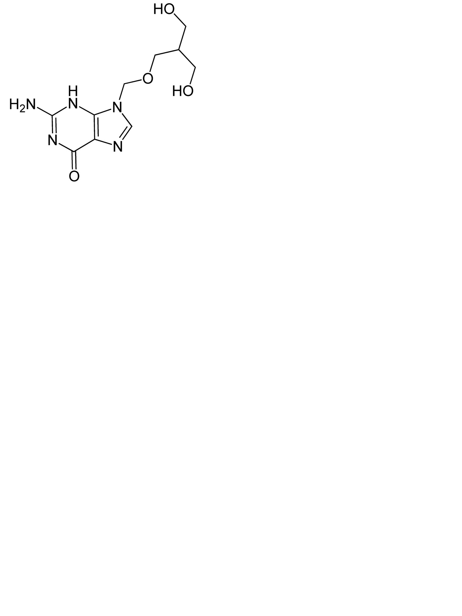
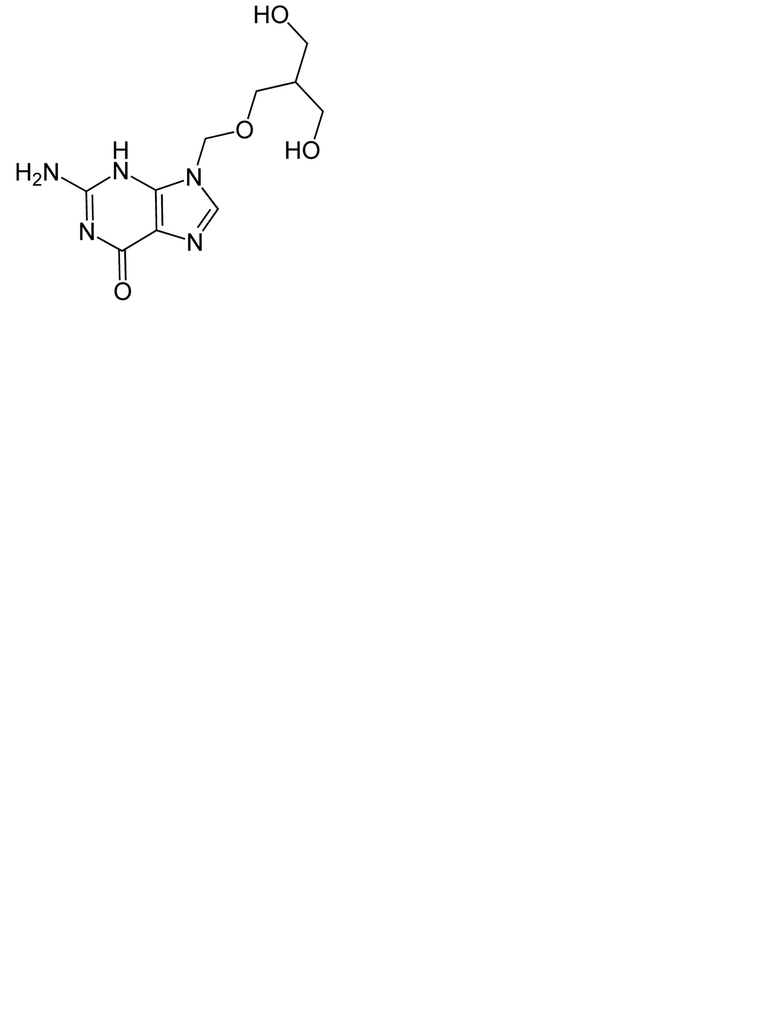
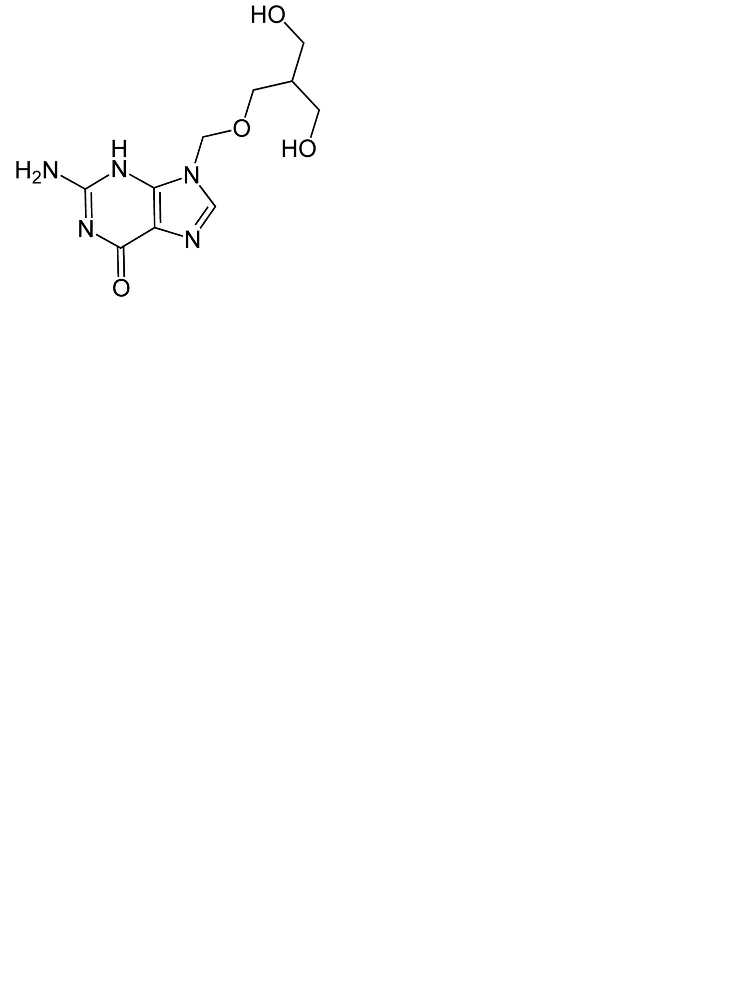
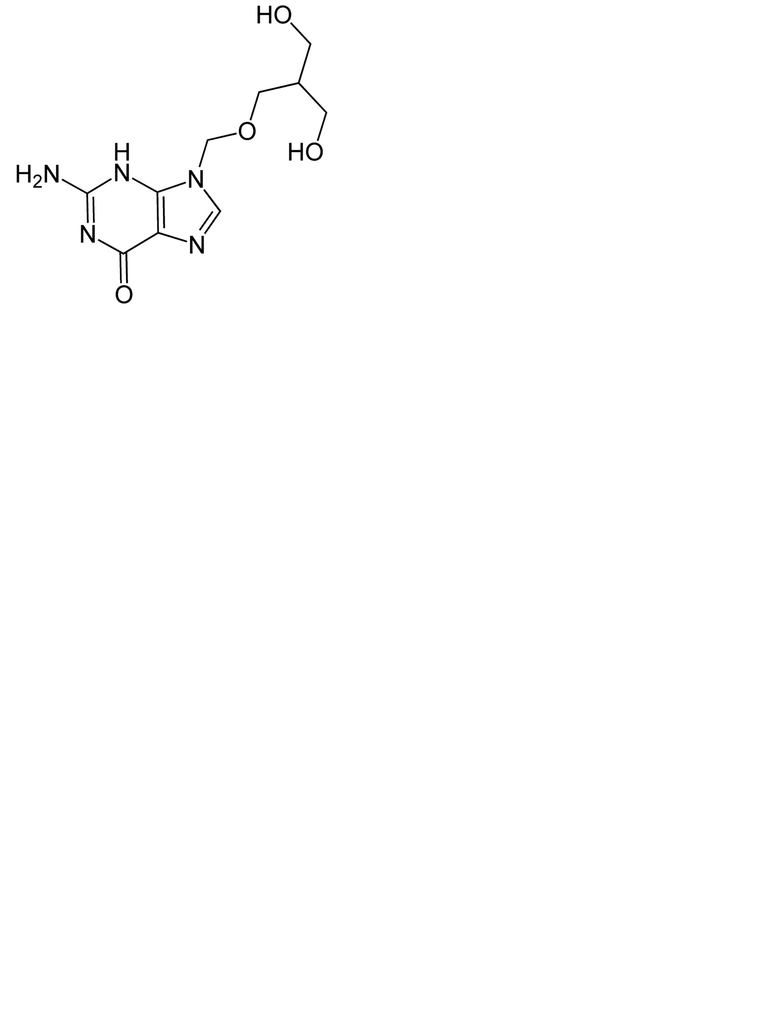
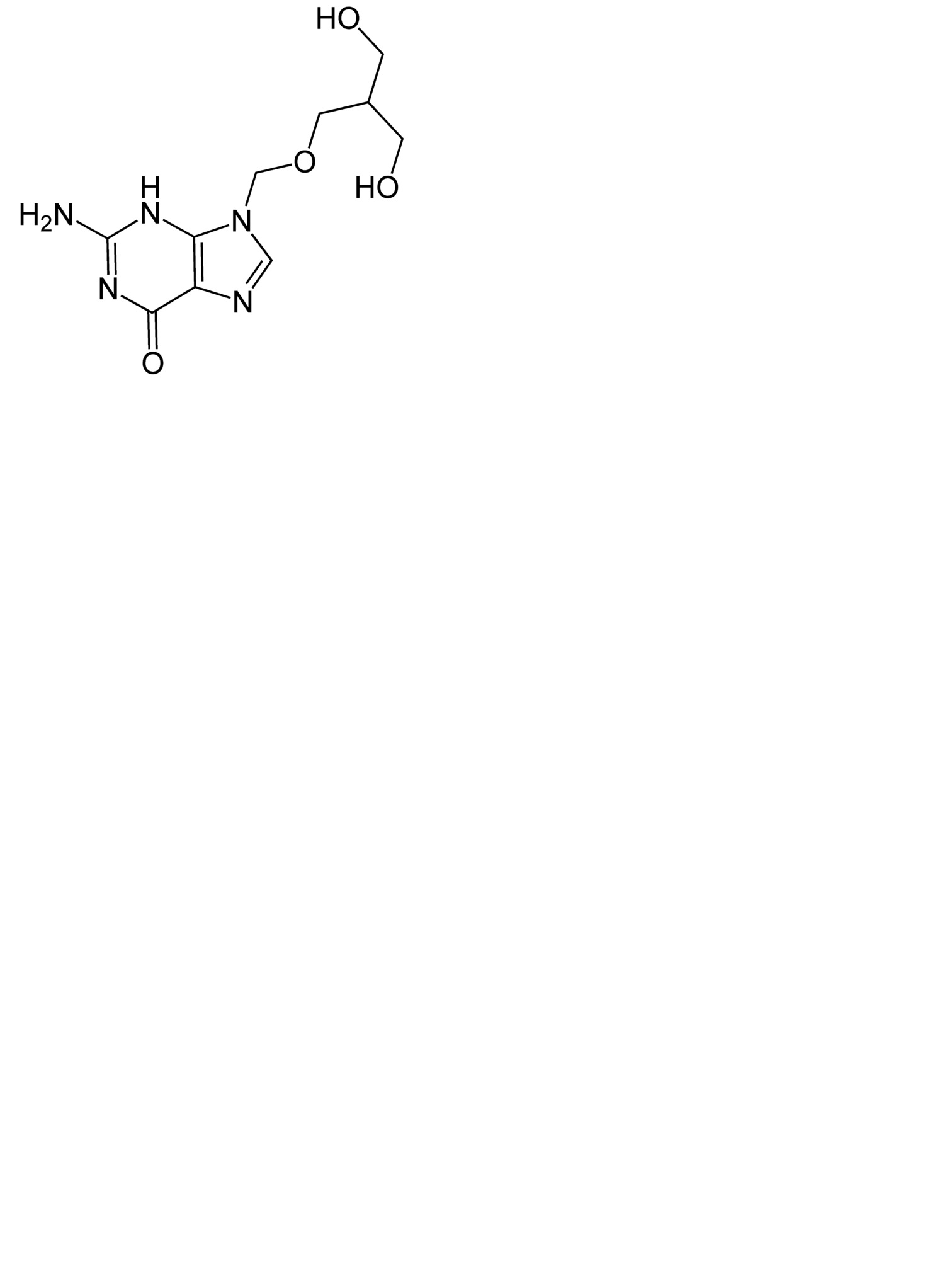
   Estructura química  

Gotas oculares
Estabilidad en mezcla   Gotas oculares   Estabilidad en mezcla : Ganciclovir     
Ausencia de datos

  Mentions Légales