Laatste update :
18/03/2026
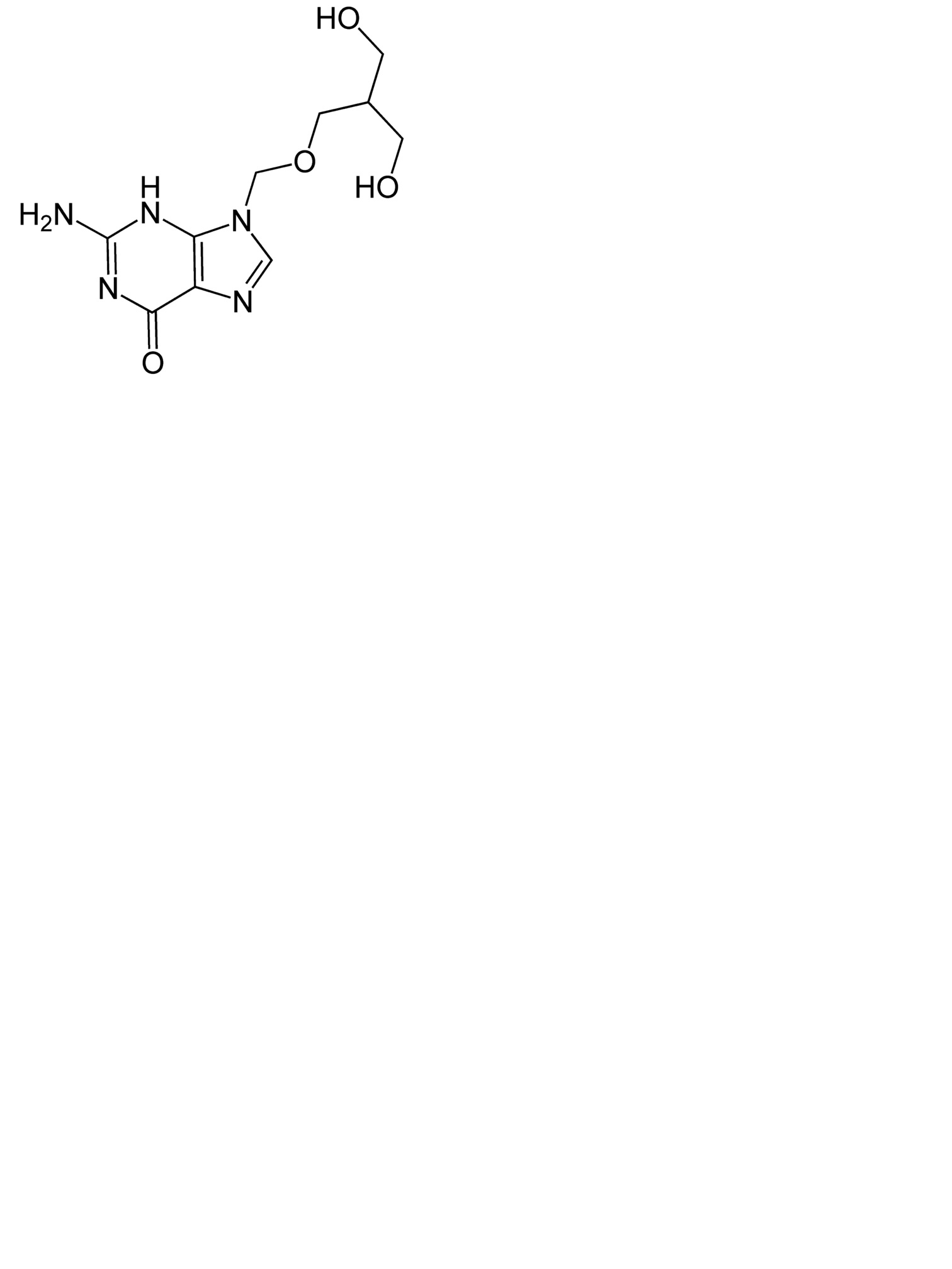
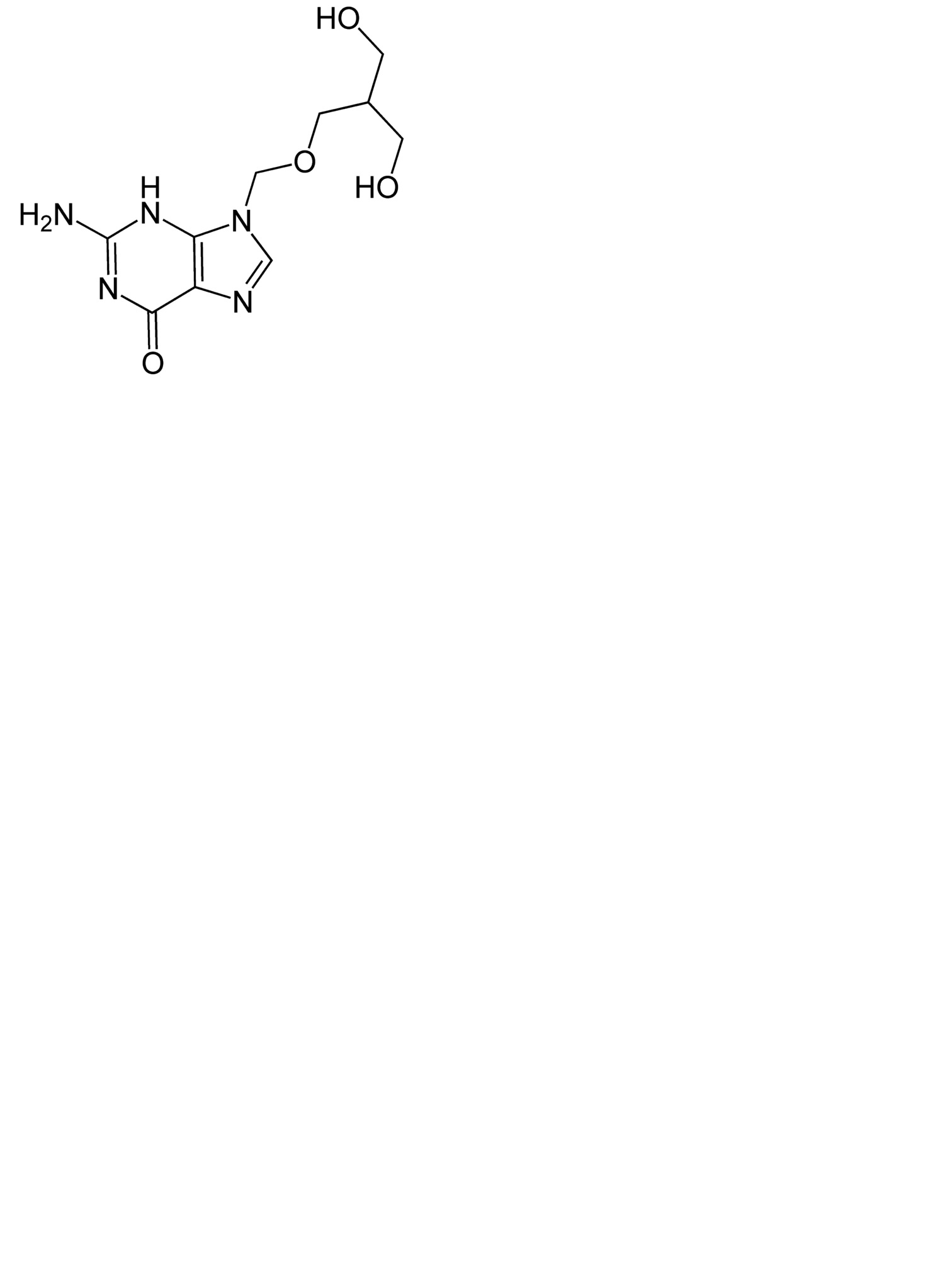
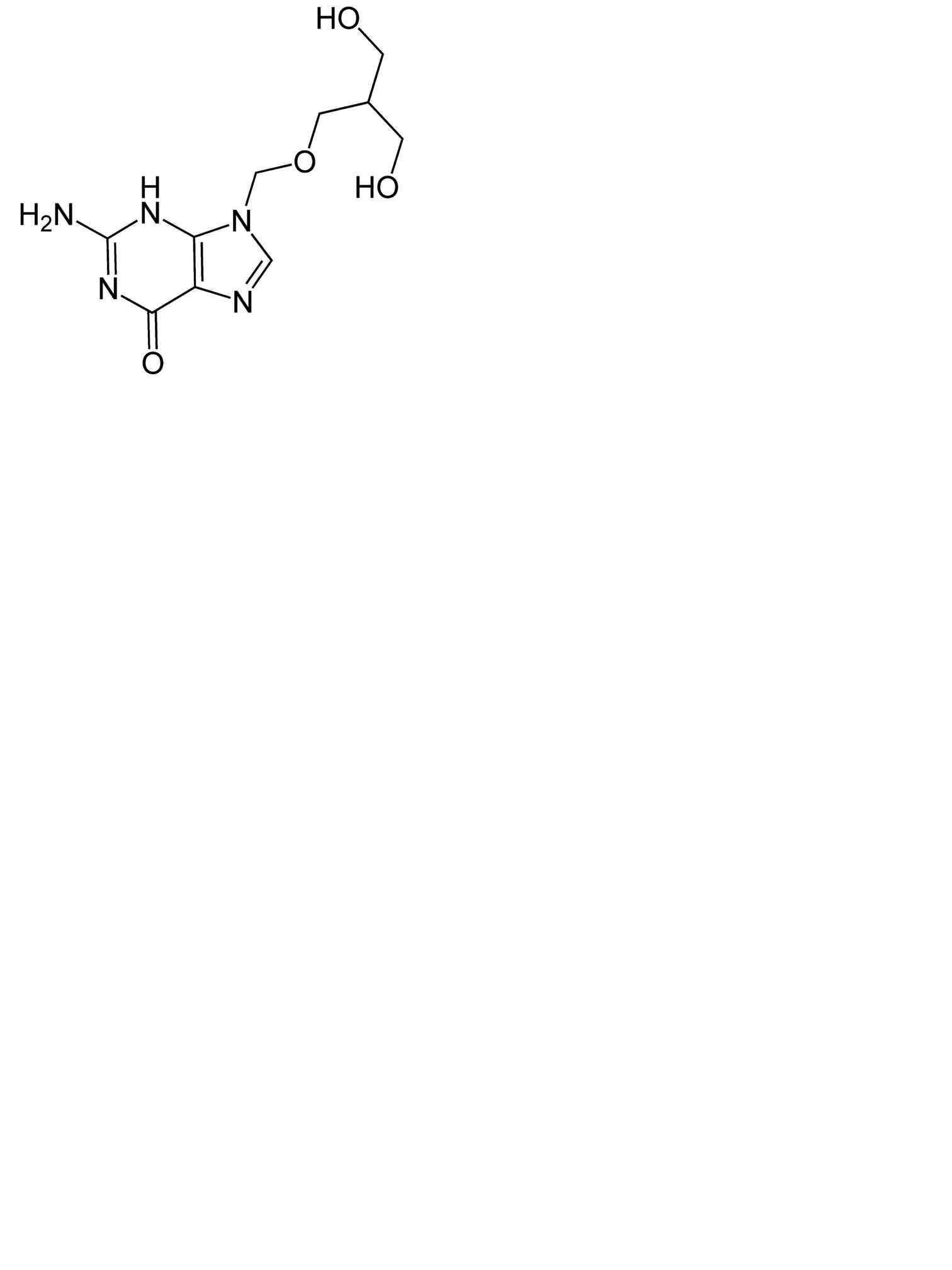
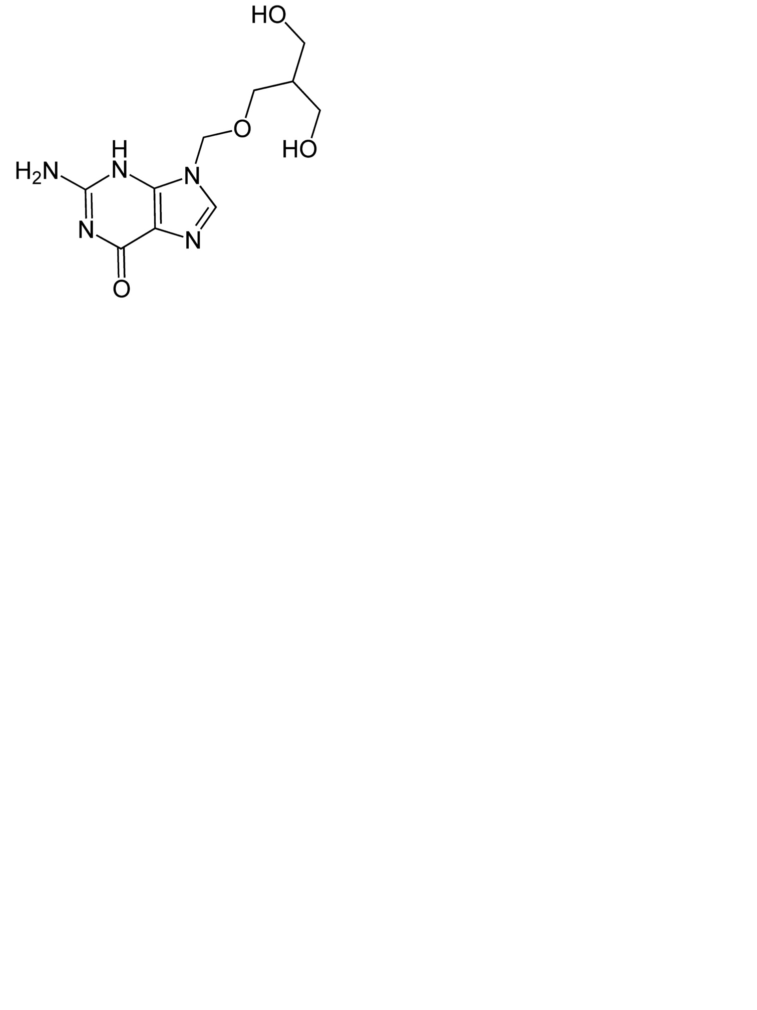
Antiviraal middel   Ganciclovir  
Oogwater
Stabiliteit van farmaceutische preparaten Stabiliteit in mengsels Factoren die de stabiliteit beïnvloeden Verenigbaarheden Literatuur pdf
   Molecuulstructuur  

Oogwater

Factoren die de stabiliteit beïnvloeden   Oogwater   Factoren die de stabiliteit beïnvloeden : Ganciclovir        
geen gegevens

  Mentions Légales