Poslední aktualizace :
31/03/2026
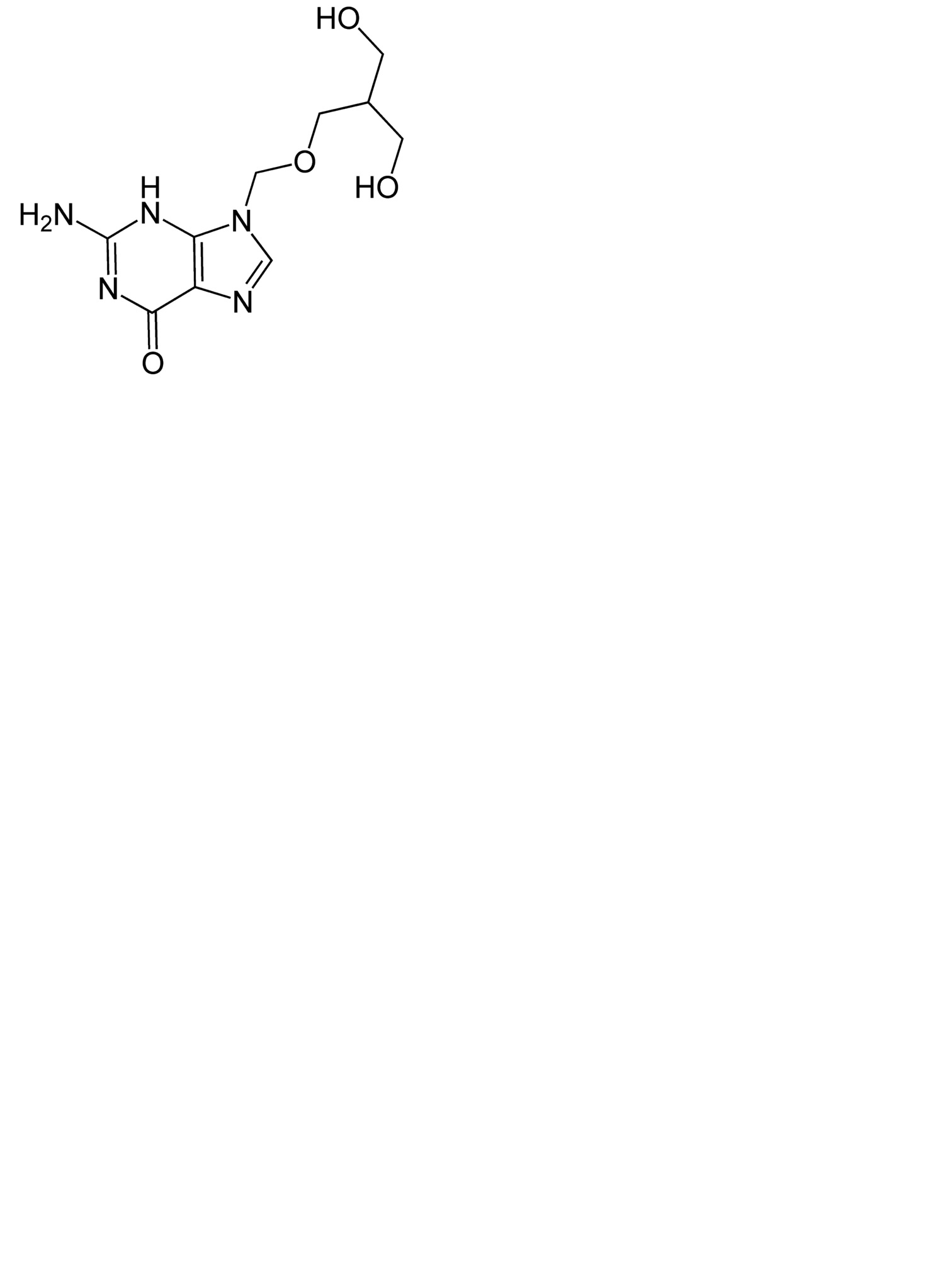
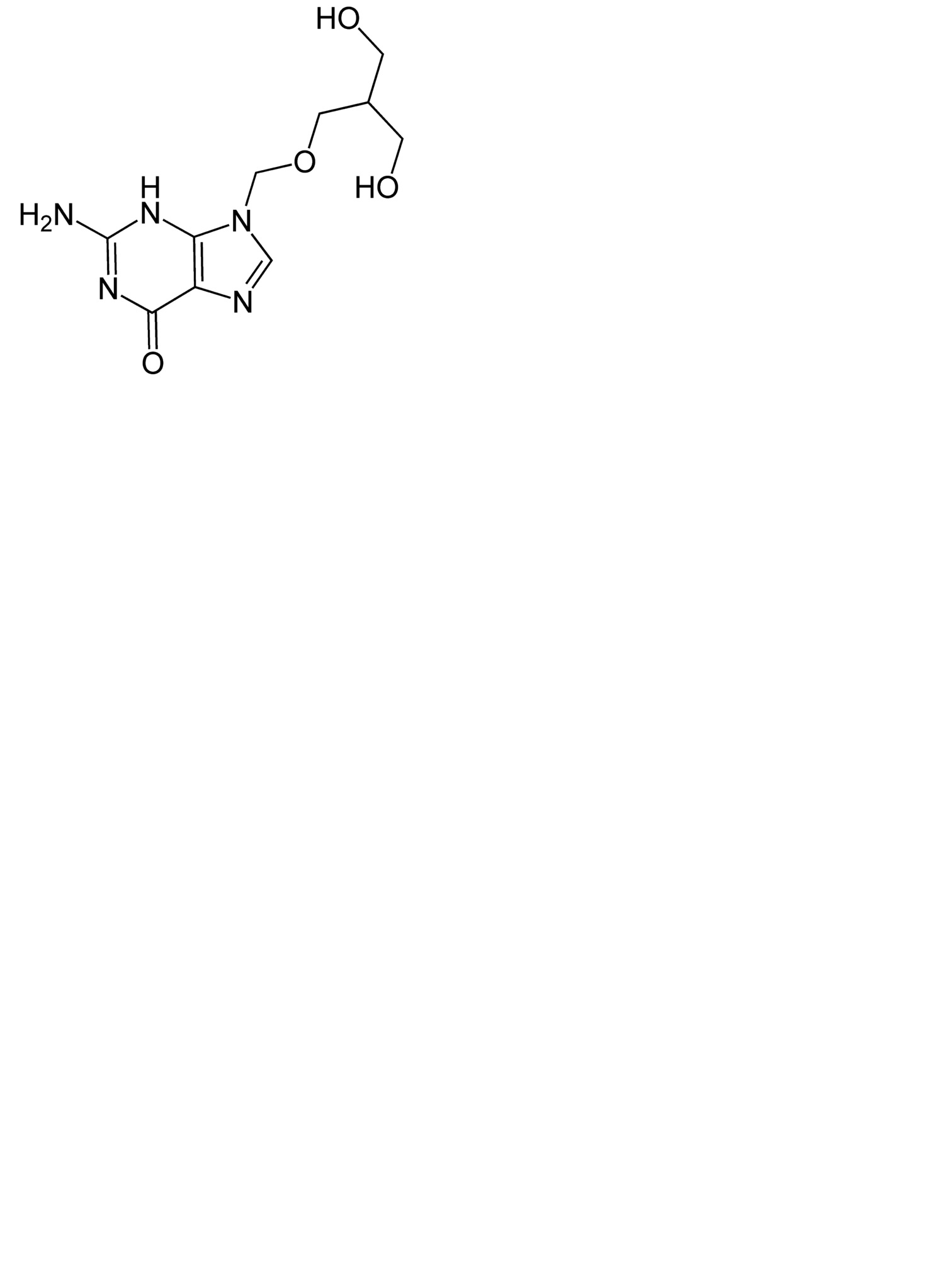
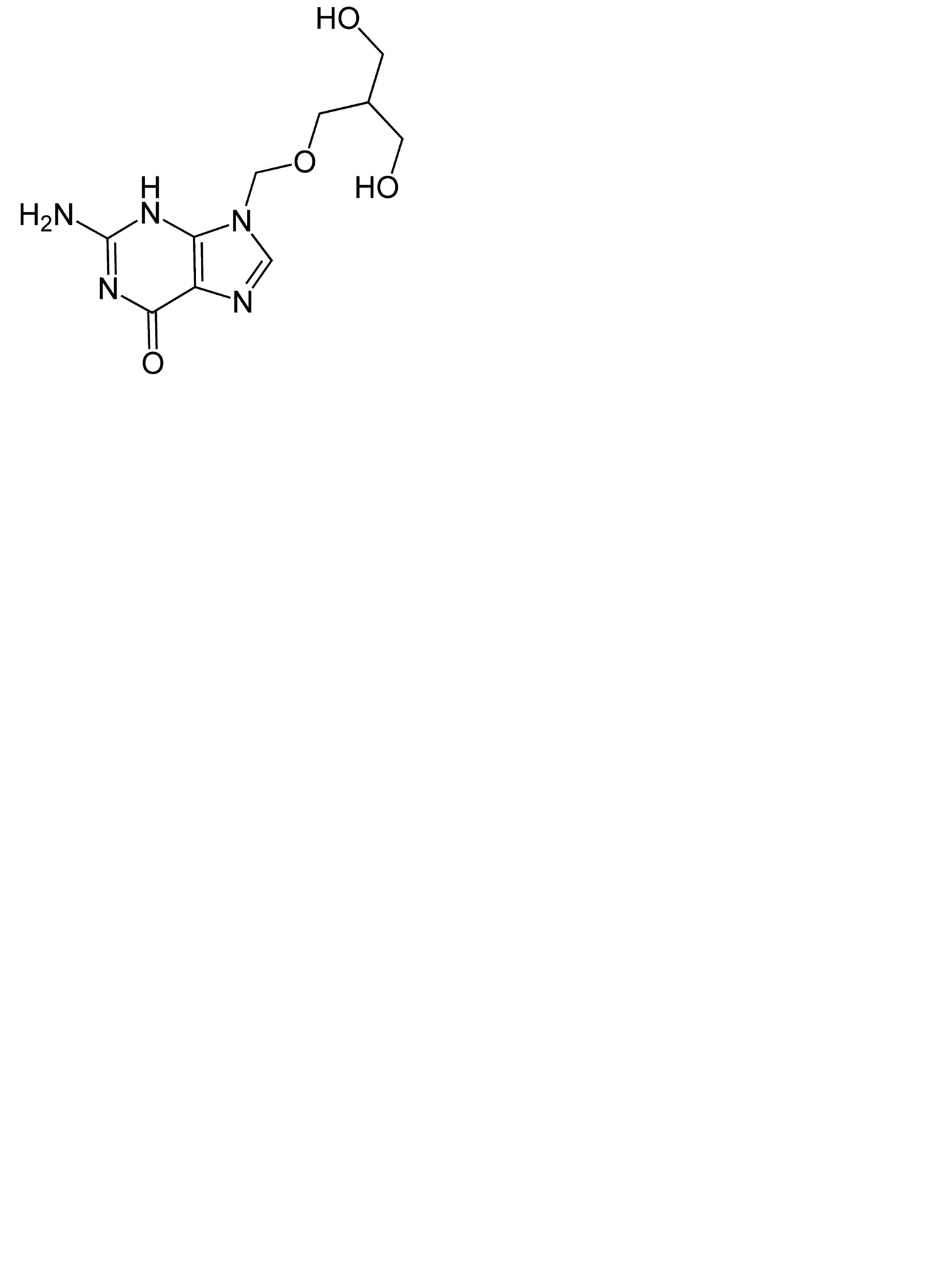
Priešvirusinis vaistas   Ganciclovir  
Akių lašai
Stabilumas farmacinių preparatų Mišinių stabilumas Stabilumą lemiantys veiksniai Suderinamumas Bibliografija pdf
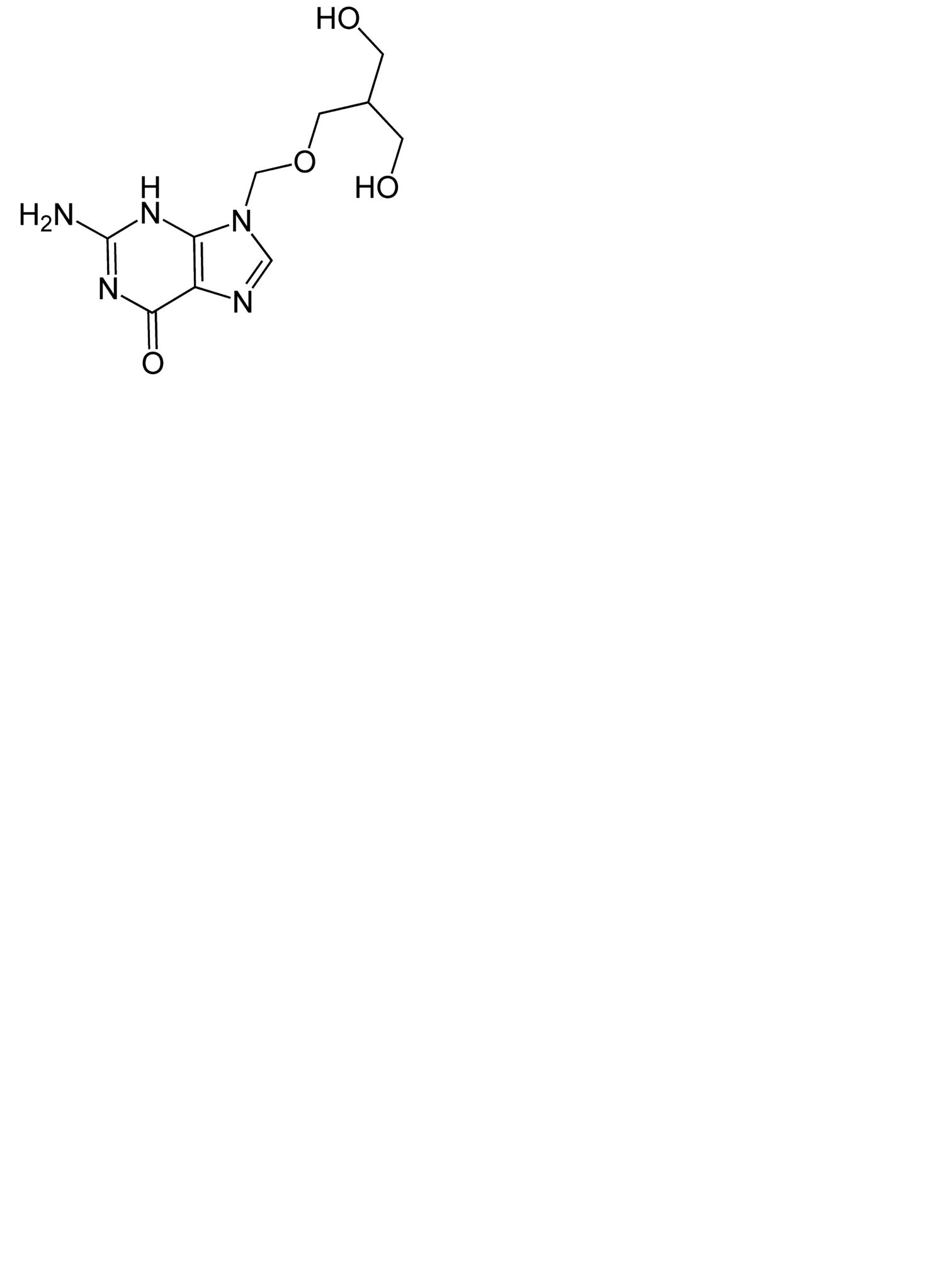
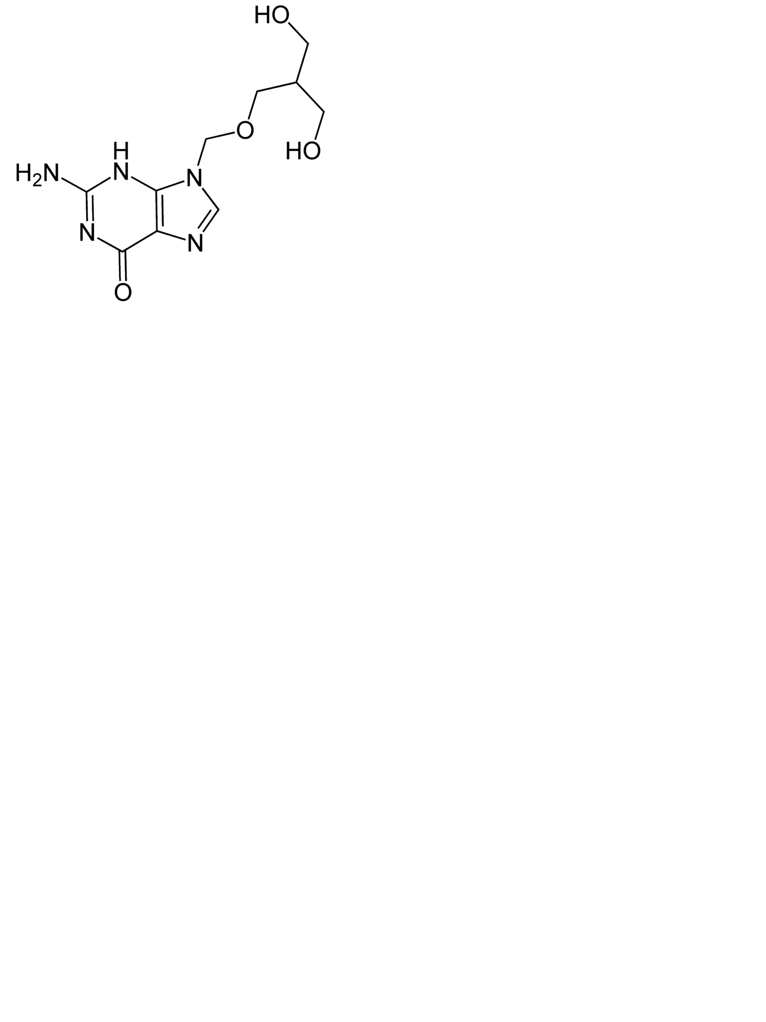
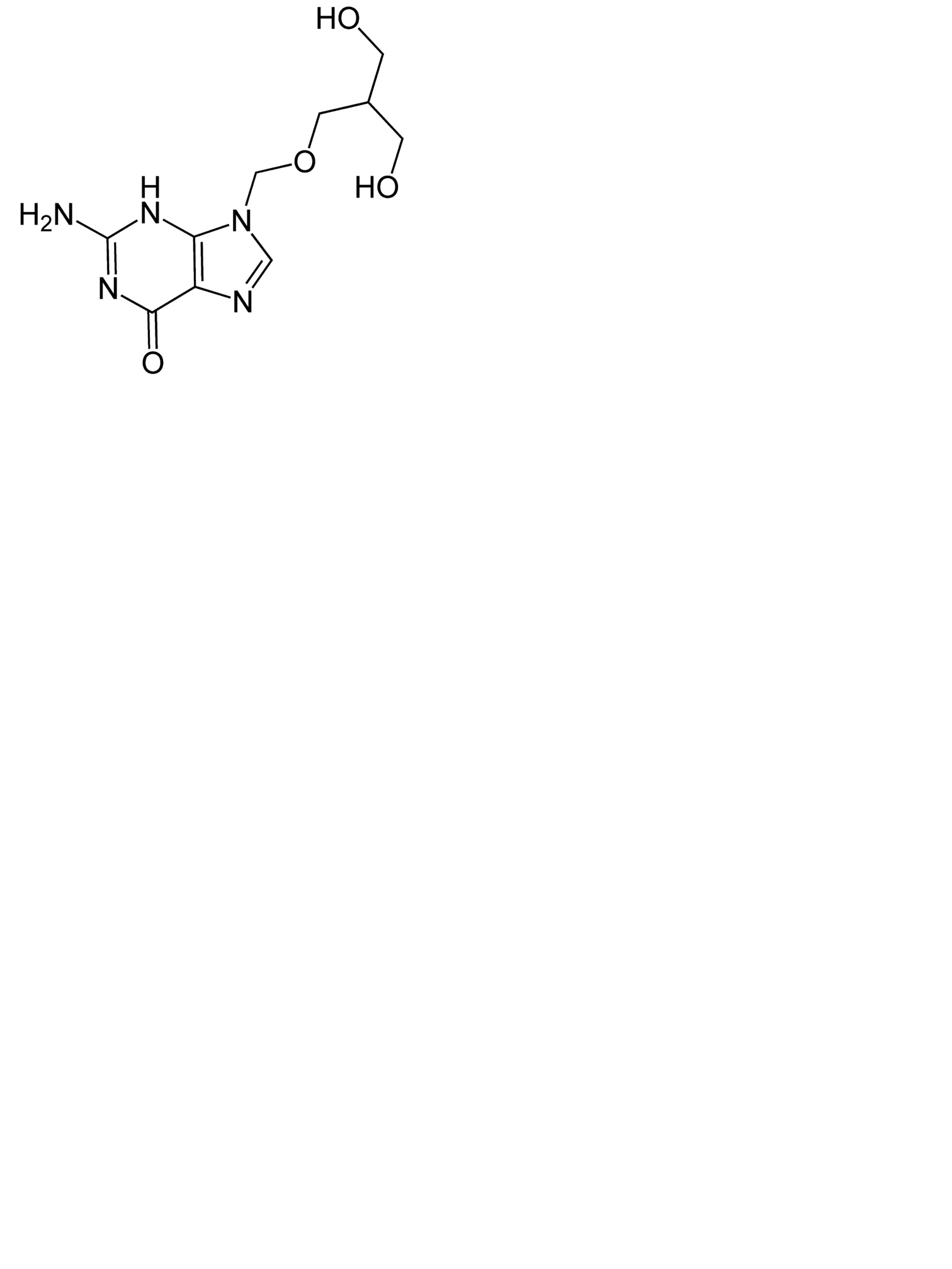
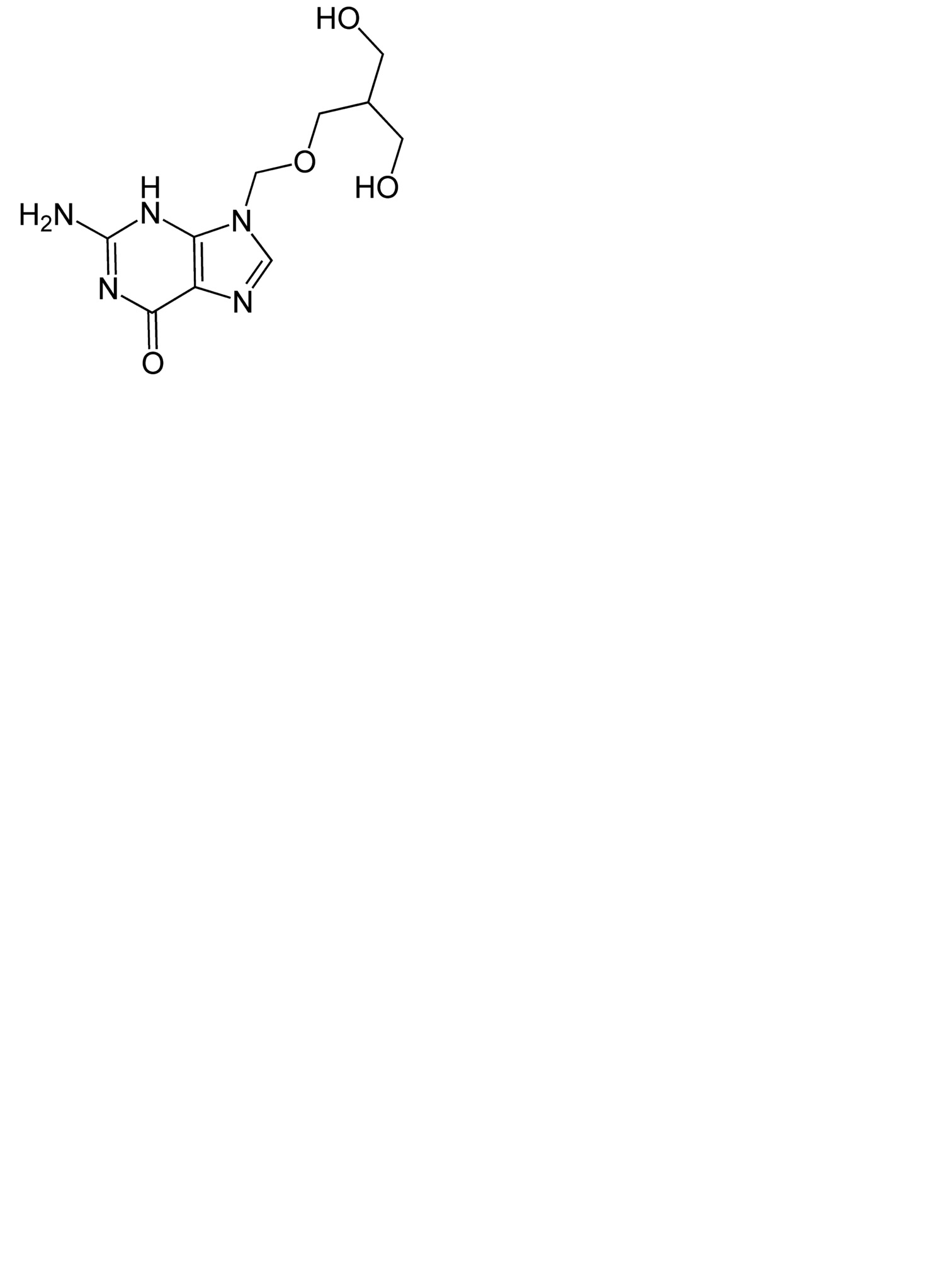
   Cheminė sandara  

Akių lašai

Stabilumą lemiantys veiksniai   Akių lašai   Stabilumą lemiantys veiksniai : Ganciclovir        
Nėra duomenų

  Mentions Légales