آخر تحديث :
27/11/2025
المضادة للفيروسات   Ganciclovir  
قطرات العين
استقرار المستحضرات الصيدلانية استقرار مخاليط العوامل التي تؤثر على الاستقرار التوافق مراجع pdf
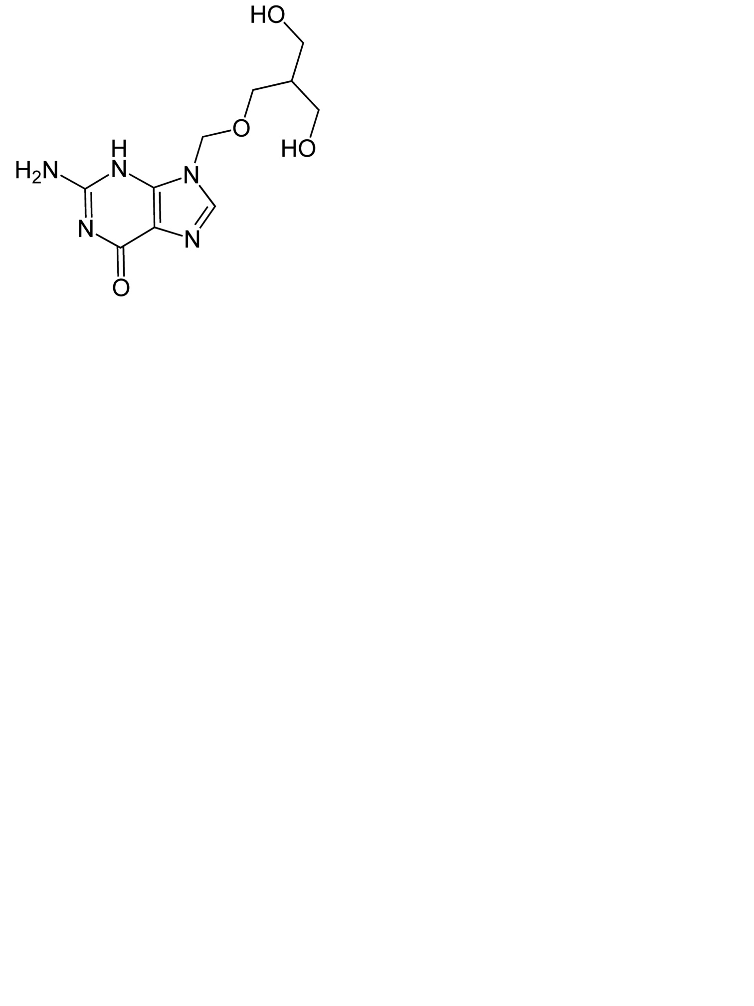
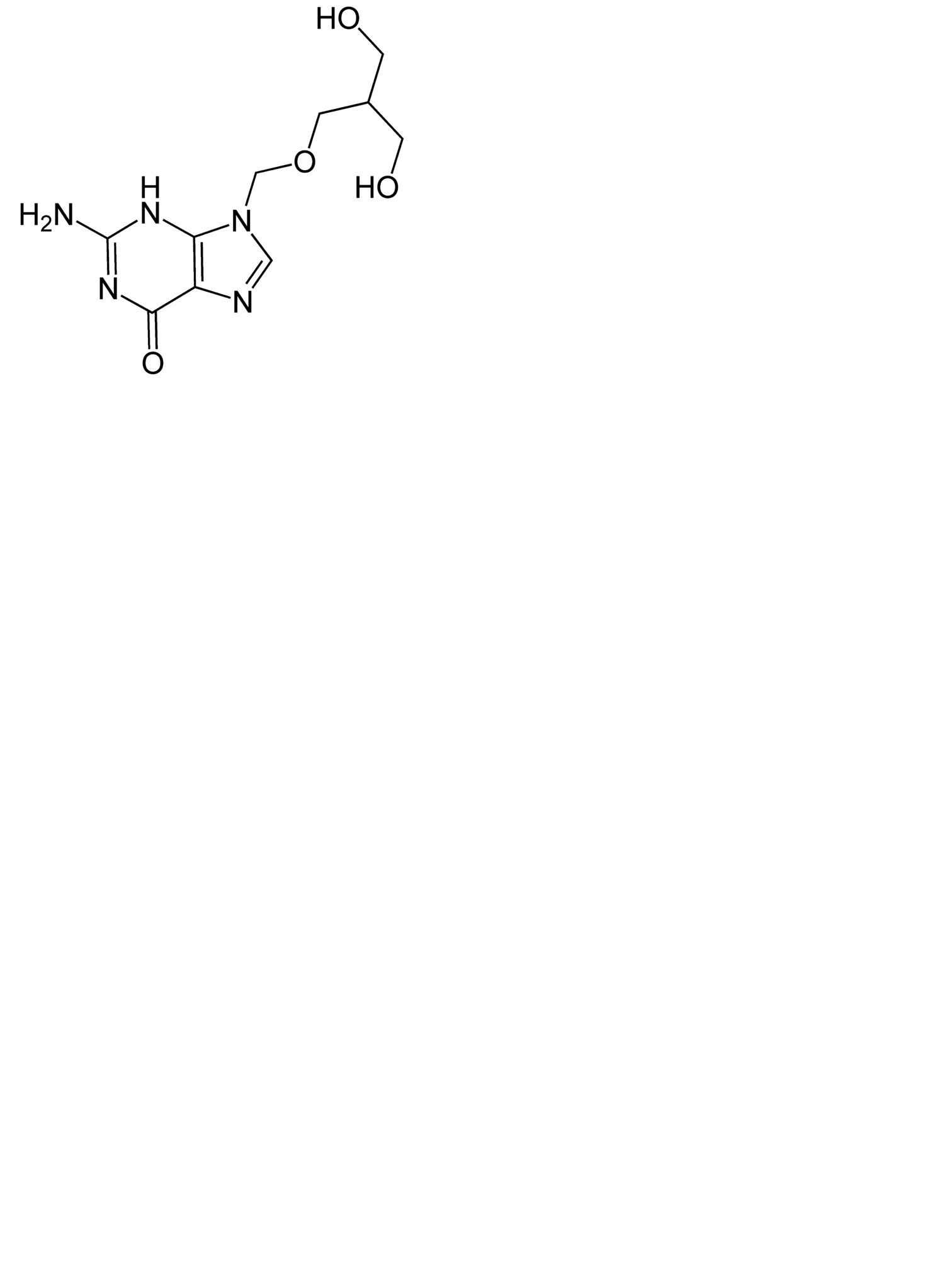
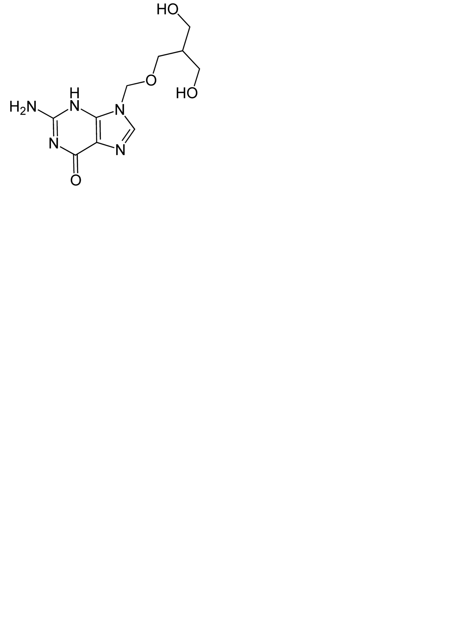
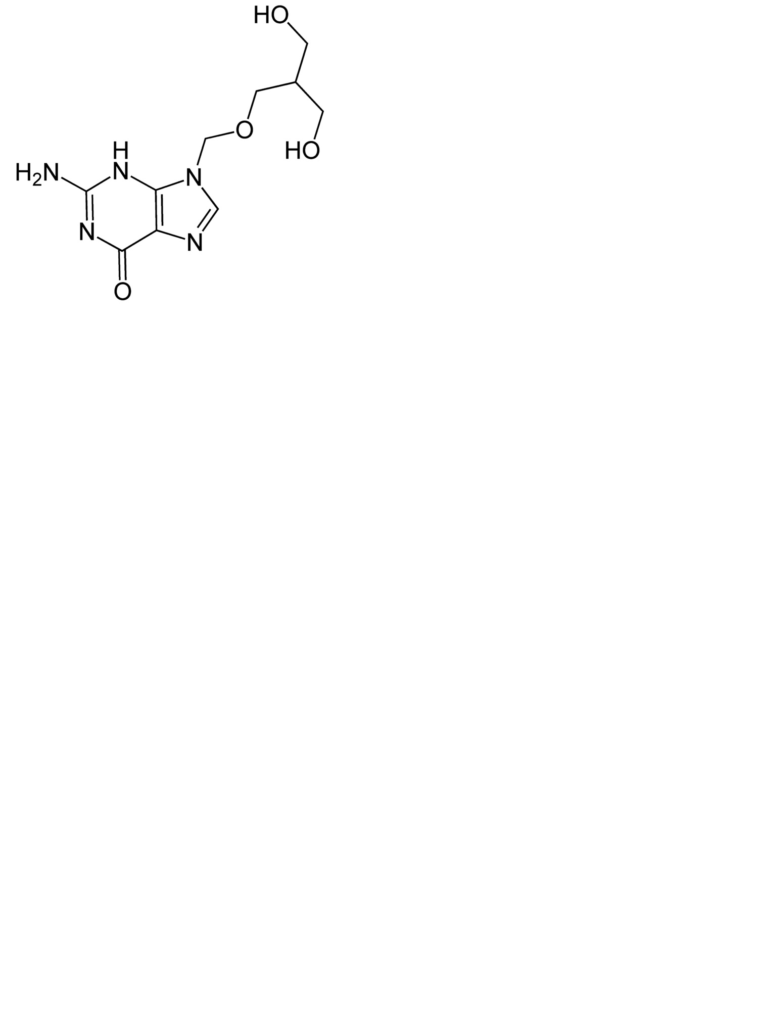
   التركيب الكيميائي  

قطرات العين

العوامل التي تؤثر على الاستقرار   قطرات العين   العوامل التي تؤثر على الاستقرار : Ganciclovir        
لا توجد بيانات

  Mentions Légales