Cập nhật lần cuối :
05/12/2025
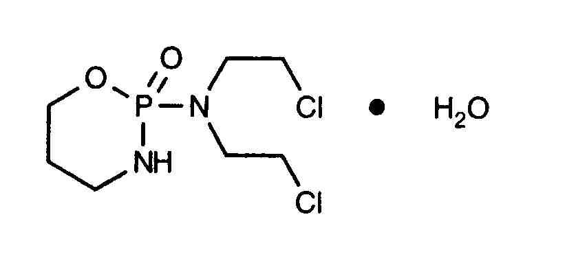
thuốc trị ung thư   Cyclophosphamide  
Viên nang
Dạng tiêm Dung dịch uống
Tính ổn định của các chế phẩm Độ ổn định khi trộn lẫn Những yếu tố ảnh hưởng đến độ ổn định Khả năng tương thích Tài liệu tham khảo Pdf
   Cấu trúc hóa học  

Viên nang
Khả năng tương thích   Viên nang   Khả năng tương thích : Cyclophosphamide              
Không có dữ liệu

  Mentions Légales