Последно актуализиране :
18/03/2026
противораково лекарство   Cyclophosphamide  
Капсула
Инжекция/Инжекционен Орален разтвор
Стабилност на лекарствени препарати Стабилност на смеси Фактори, повлияващи стабилността Съвместимост Библиография Pdf
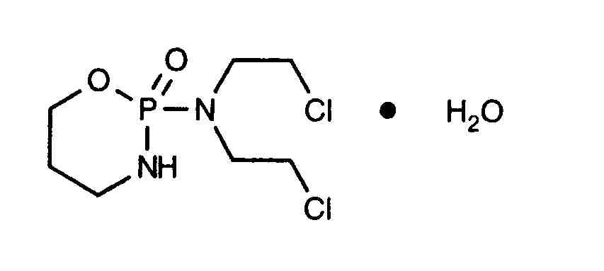
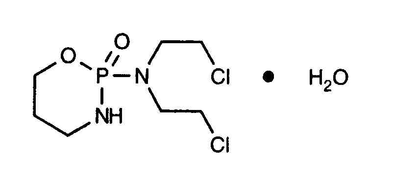
   Химична структура  

Капсула
Съвместимост   Капсула   Съвместимост : Cyclophosphamide              
Няма данни

  Mentions Légales