Posledná aktualizácia :
05/12/2025
Protinádorová liečba   Cyclophosphamide  
Kapsula
Injekcia Perorálny roztok
Stabilita farmaceutických prípravkov Stabilita v zmesiach Faktory ovplyvňujúce stabilitu Kompatibility Odkazy na literatúru PDF
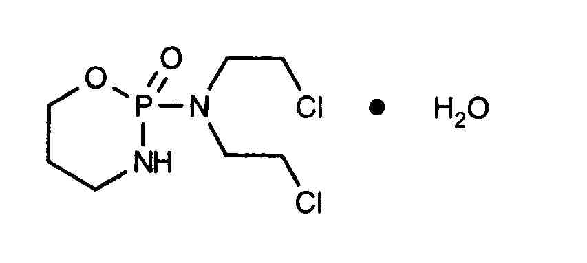
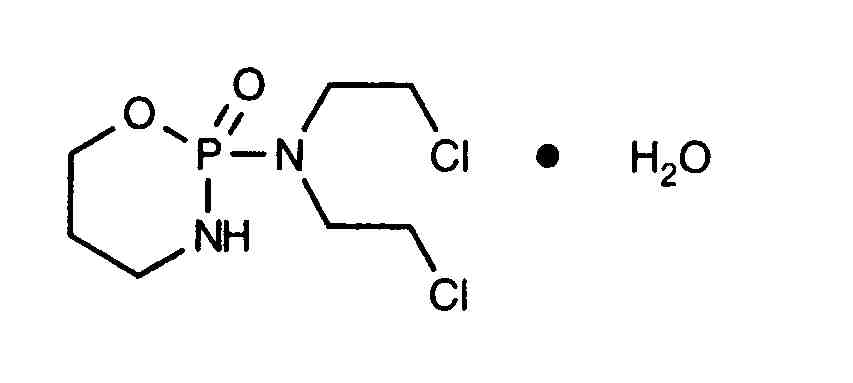
   Chemický vzorec  

Kapsula
Kompatibility   Kapsula   Kompatibility : Cyclophosphamide              
žiadne údaje

  Mentions Légales