Ultimo aggiornamento :
18/03/2026
farmaco contro il cancro   Cyclophosphamide  
Capsula
Iniezione Soluzione orale
Stabilità dei preparati farmaceutici Stabilità in miscela Fattori che influenzano la stabilità Compatibilità Bibliografia pdf
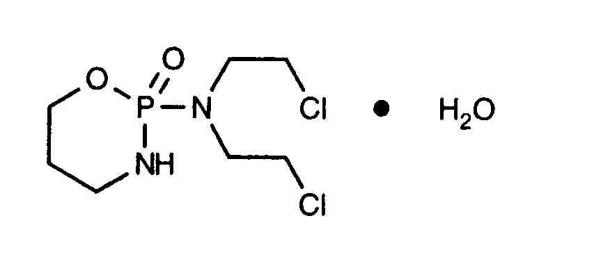
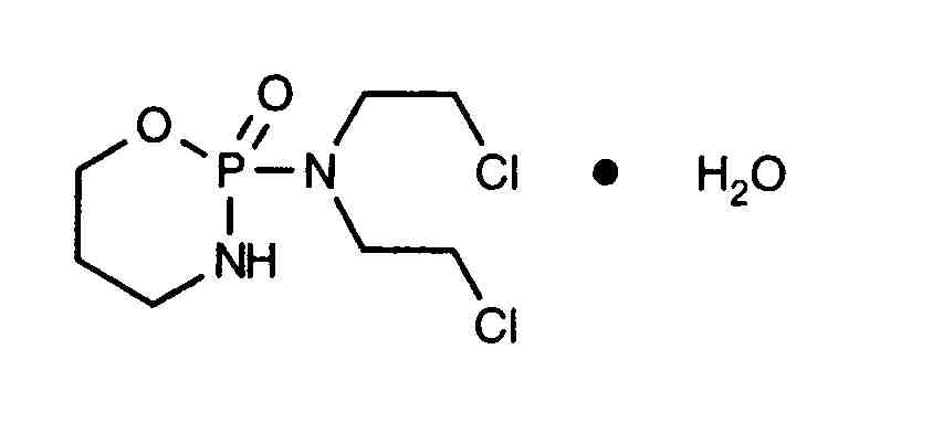
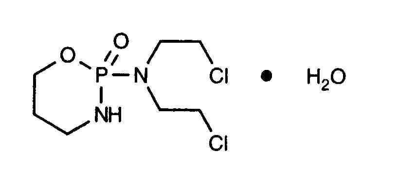
   Struttura chimica  

Capsula
Compatibilità   Capsula   Compatibilità : Cyclophosphamide              
Assenza di dati

  Mentions Légales