Ostatnia aktualizacja :
18/03/2026
Lek cytostatyk   Cyclophosphamide  
Kapsułka
Injekcje Roztwór doustny
Stabilność preparatów farmaceutycznych Trwałość w mieszaninie Czynnik wpływający na trwałość Zgodność Bibliografia pdf
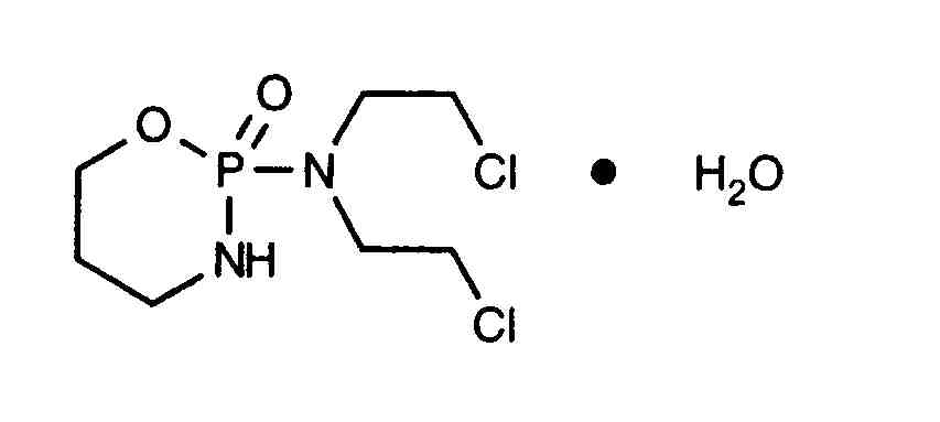
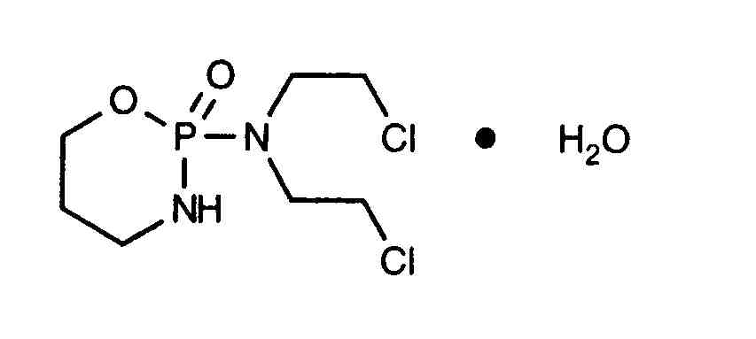
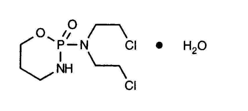
   Struktura chemiczna  

Kapsułka
Zgodność   Kapsułka   Zgodność : Cyclophosphamide              
Brak danych

  Mentions Légales