Utolsó frissítés :
18/03/2026
rákellenes gyógyszer   Cyclophosphamide  
kapszula
belsőleges oldat Injekció
Stabilitása gyógyszerészeti készítmények A keverékek stabilitása Stabilitást befolyásoló tényezők Kompatibilitás Irodalom pdf
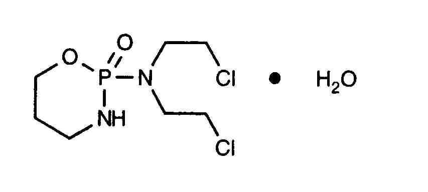
   Kémiai szerkezet   

kapszula
Kompatibilitás   kapszula   Kompatibilitás : Cyclophosphamide              
Hiányzó adat

  Mentions Légales