Poslední aktualizace :
05/12/2025
vėžio narkotikų   Cyclophosphamide  
Kapsulė
Geriamas tirpalas Įpurškimas
Stabilumas farmacinių preparatų Mišinių stabilumas Stabilumą lemiantys veiksniai Suderinamumas Bibliografija pdf
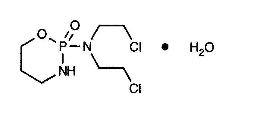
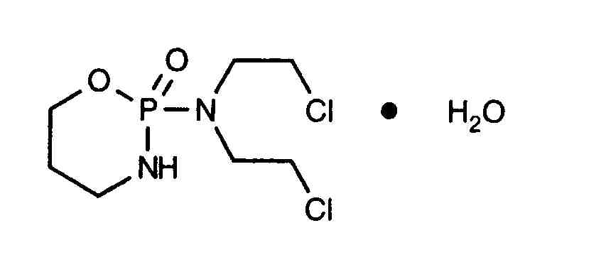
   Cheminė sandara  

Kapsulė
Suderinamumas   Kapsulė   Suderinamumas : Cyclophosphamide              
Nėra duomenų

  Mentions Légales