Τελευταία ενημέρωση :
18/03/2026
φάρμακο κατά του καρκίνου   Cyclophosphamide  
Κάψουλα
Ενέσιμο Πόσιμο διάλυμα
Σταθερότητα και συμβατότητα των φαρμάκων Σταθερότητα σε μίγματα Παράγοντας που επηρεάζει τη σταθερότητα Συμβατότητες Βιβλιογραφία pdf
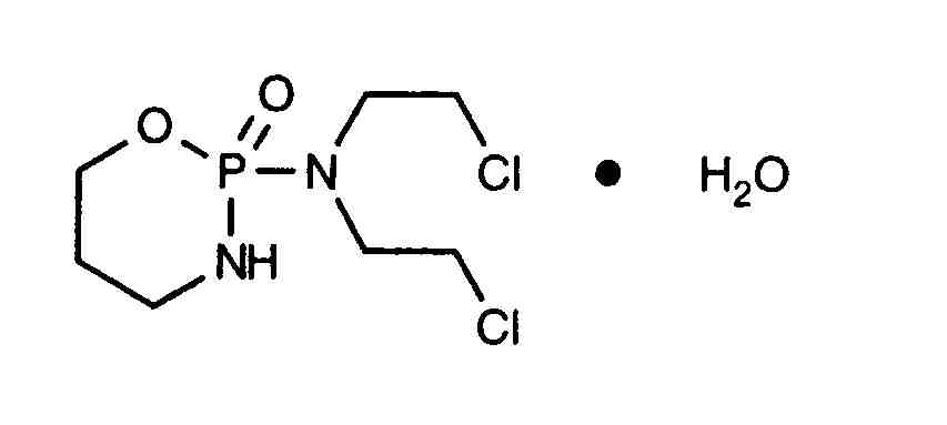
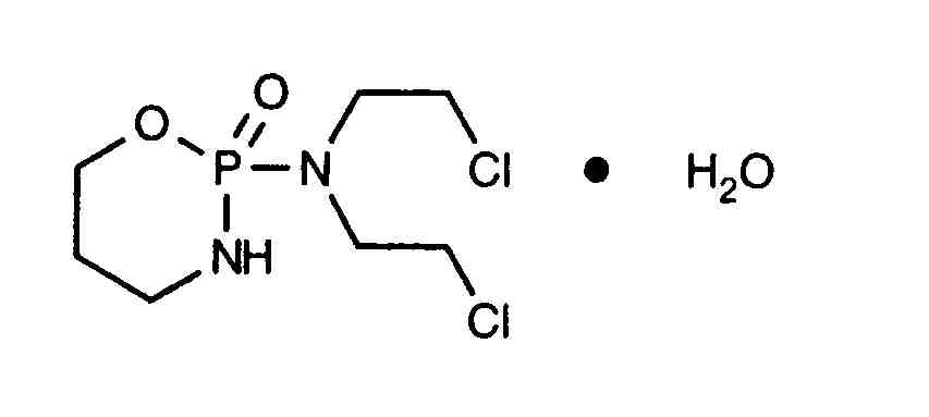
   χημική δομή  

Κάψουλα
Συμβατότητες    Κάψουλα   Συμβατότητες : Cyclophosphamide              
Δεν υπάρχουν πληροφορίες

  Mentions Légales