Last update :
18/03/2026
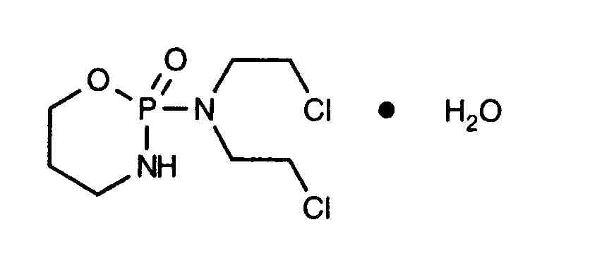
Anticancer drug   Cyclophosphamide  
Capsule
injection Oral solution
Stability of pharmaceutical preparations Stability of mixtures Factors which affect stability Compatibility References pdf
   Chemical structure  

Capsule
Compatibility   Capsule   Compatibility : Cyclophosphamide              
No data

  Mentions Légales