آخر تحديث :
18/03/2026
المضادة للسرطان المخدرات   Cyclophosphamide  
كبسولة
حقن عن طريق الفم
استقرار المستحضرات الصيدلانية استقرار مخاليط العوامل التي تؤثر على الاستقرار التوافق مراجع pdf
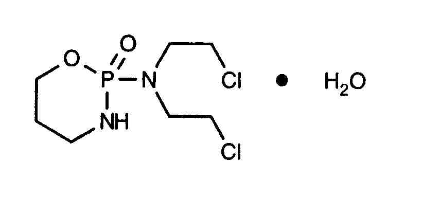
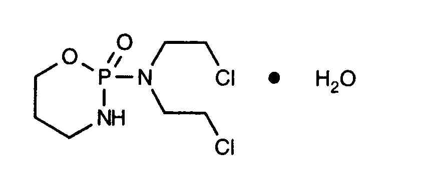
   التركيب الكيميائي  

كبسولة
التوافق   كبسولة   التوافق : Cyclophosphamide              
لا توجد بيانات

  Mentions Légales