Ultimele actualizari :
18/03/2026
Citostatic   Cyclophosphamide  
Capsulă
Injectabil Soluţie orală
Stabilitatea preparatelor farmaceutice Stabilitatea in amestec Factorii care influenteaza stabilitatea Compatibilitate Bibliografie pdf
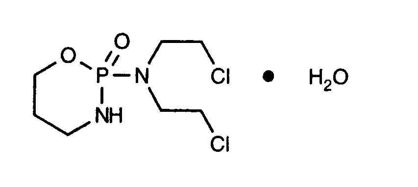
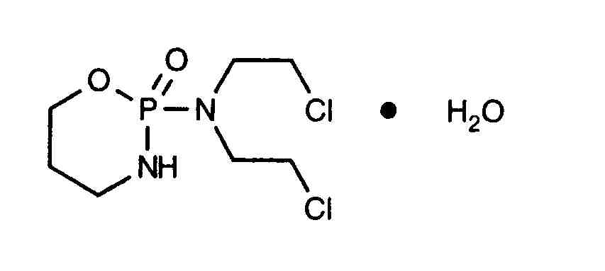
   Formula chimica  

Capsulă
Compatibilitate   Capsulă   Compatibilitate : Cyclophosphamide              
Absenta de date

  Mentions Légales