Viimeisin päivitys :
05/12/2025
syöpälääke   Cyclophosphamide  
Kapseli
Injektioneste Oraaliliuos
Vakaus lääkevalmisteen Stabilius seoksissa Tekijät, jotka vaikuttavat stabiliuteen Yhteensopivuus Viitteet pdf
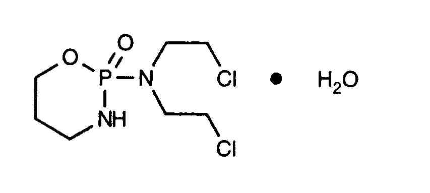
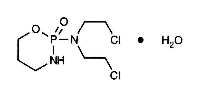
   Kemiallinen rakenne  

Kapseli
Yhteensopivuus   Kapseli   Yhteensopivuus : Cyclophosphamide              
ei tietoa

  Mentions Légales