Poslední aktualizace :
18/03/2026
rakovina drog   Cyclophosphamide  
kapsle
injekce Perorální roztok
Stabilita farmaceutických přípravků Stabilita směsí Faktory ovlivňující stabilitu Kompatibilita Odkazy pdf
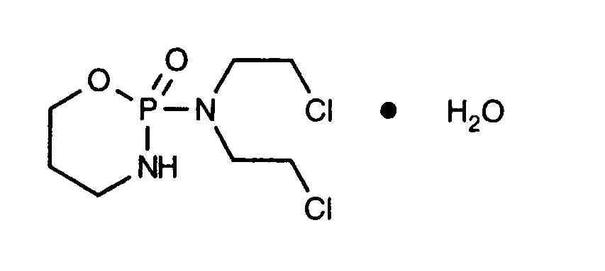
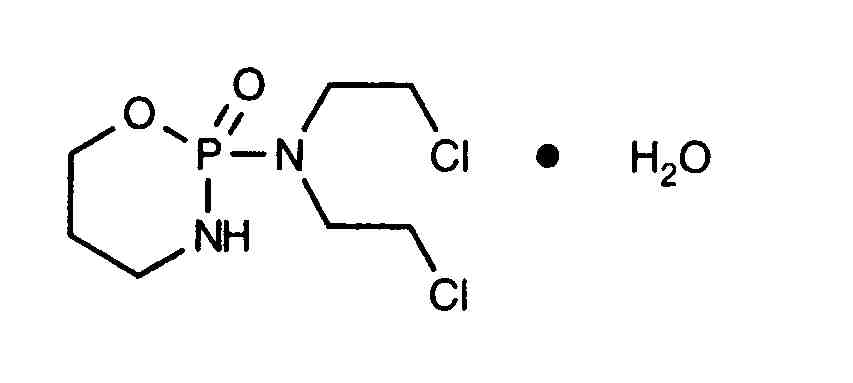
   Chemický vzorec  

kapsle
Kompatibilita   kapsle   Kompatibilita : Cyclophosphamide              
žádná data

  Mentions Légales