Pēdējā atjaunošana :
05/12/2025
vēzis narkotiku   Cyclophosphamide  
Kapsula
Injekcija Orāls šķīdums
Stabilitāte farmaceitisko preparātu Maisījuma stabilitāte Stabilitāti ietekmējoši faktori Saderība Literatūras saraksts pdf
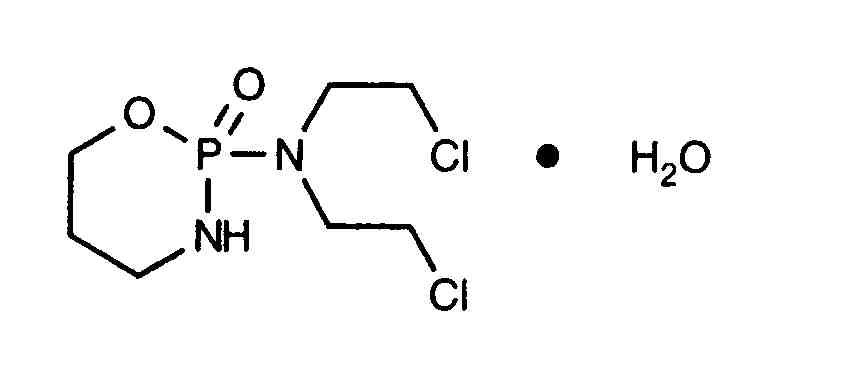
   Ķīmiskā uzbūve   

Kapsula
Saderība   Kapsula   Saderība : Cyclophosphamide              
Nav datu

  Mentions Légales