Останнє оновлення :
18/03/2026
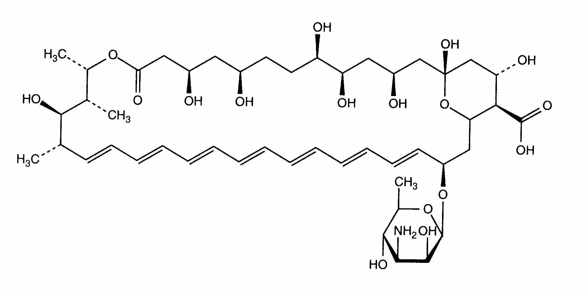
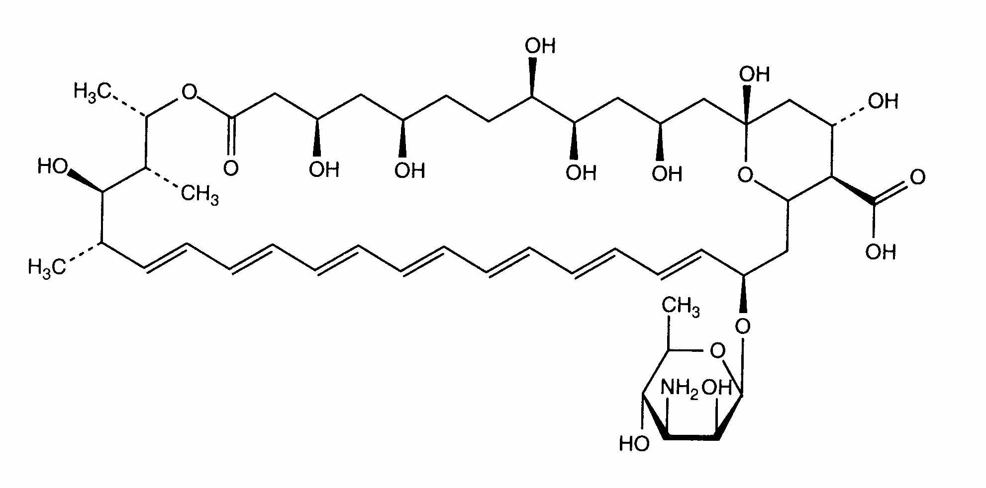
Протигрибковий   Amphotericin B liposomale  
Очні краплі
ін'єкція
Стабільність фармацевтичних препаратів Стійкість сумішей Фактори, що впливають на стабільність Сумісність Список літератури pdf
Ліпосома   Хімічна структура  

Очні краплі
Стійкість сумішей   Очні краплі   Стійкість сумішей : Amphotericin B liposomale     
7 / 5 000 Résultats de traduction Немає даних

  Mentions Légales