Pēdējā atjaunošana :
18/03/2026
Pretsēnīšu līdzeklis   Amphotericin B liposomale  
Acu pilieni
Injekcija
Stabilitāte farmaceitisko preparātu Maisījuma stabilitāte Stabilitāti ietekmējoši faktori Saderība Literatūras saraksts pdf
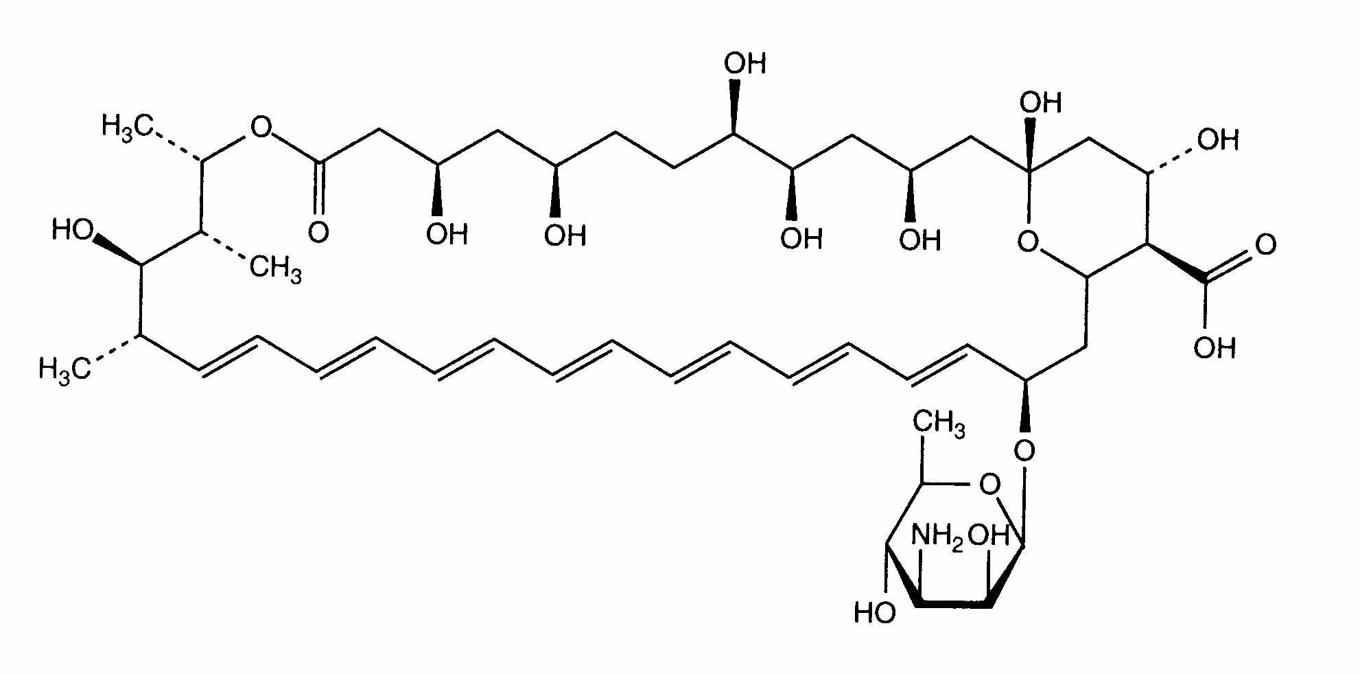
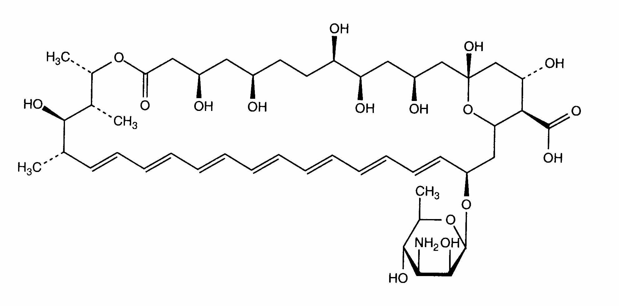
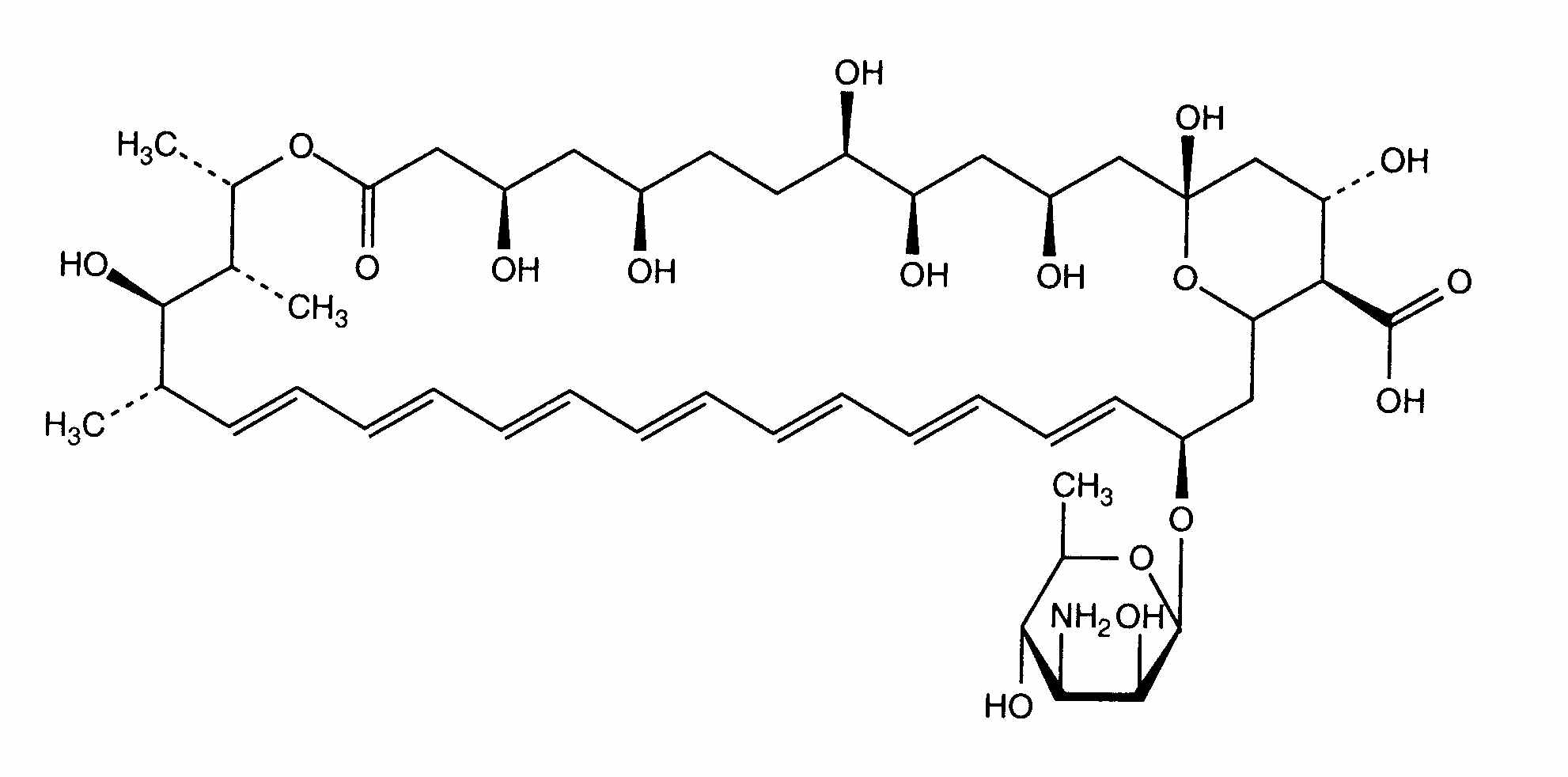
Liposoma   Ķīmiskā uzbūve   

Acu pilieni
Maisījuma stabilitāte   Acu pilieni   Maisījuma stabilitāte : Amphotericin B liposomale     
Nav datu

  Mentions Légales