Son güncelleme :
18/03/2026
Antifungal   Amphotericin B liposomale  
Göz damlası
Enjeksiyon
Farmasötik preparatlar Kararlılığı Karışımlardaki stabilitesi Stabiliteyi etkileyen faktörler Uyumluluk Kaynaklar pdf
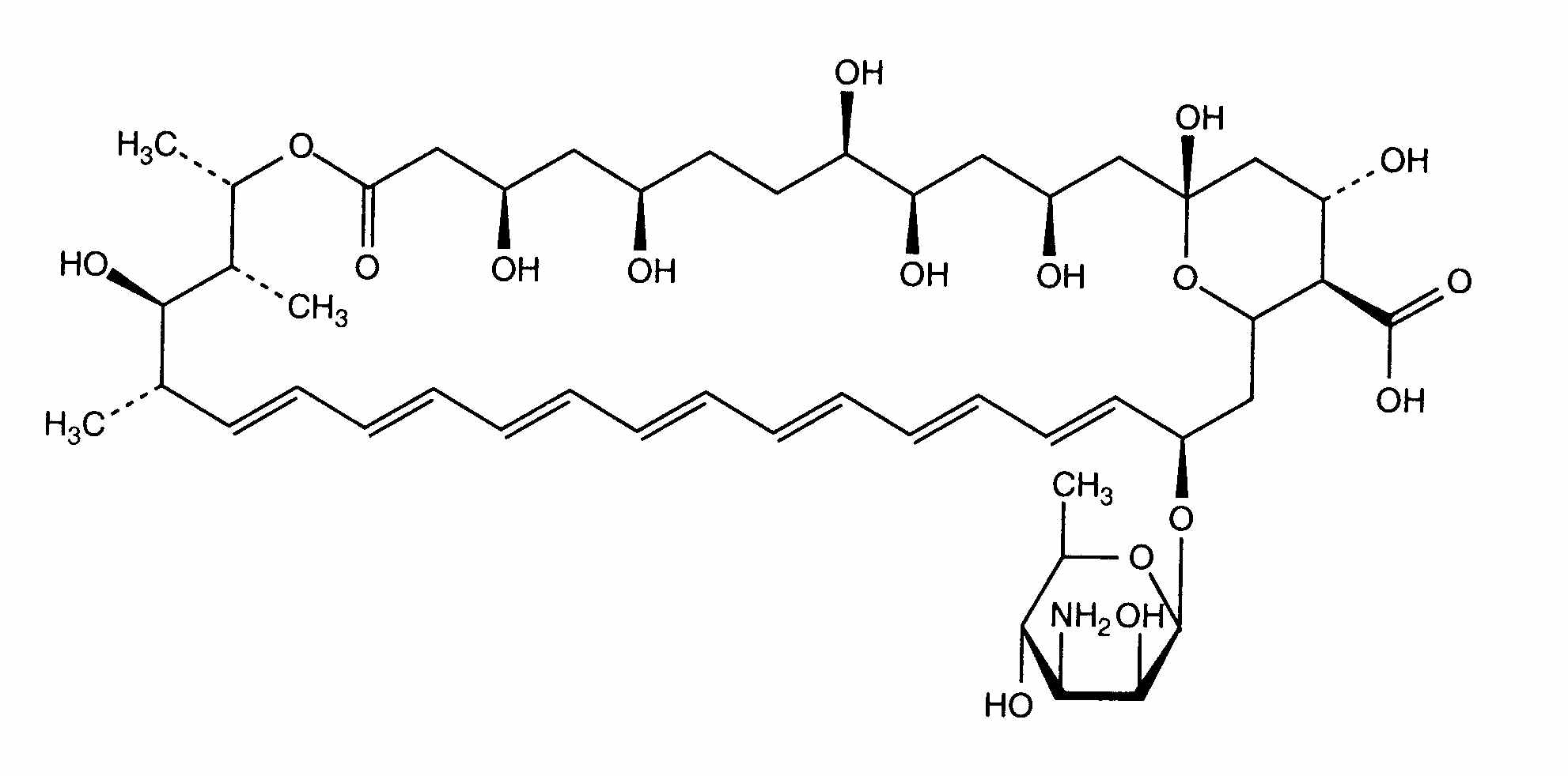
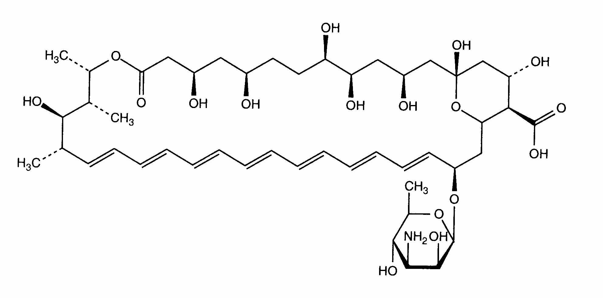
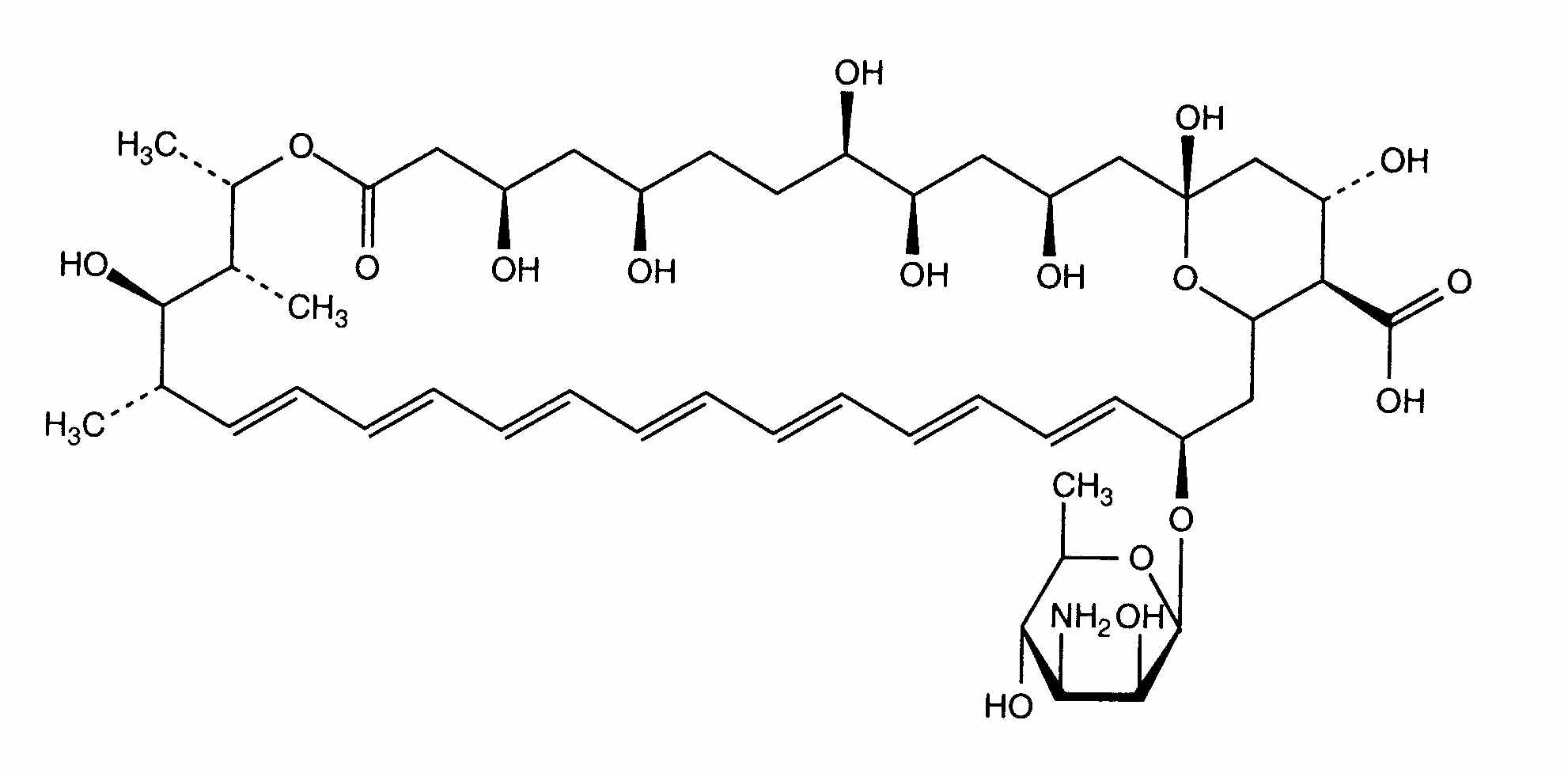
Lipozom   Kimyasal yapı   

Göz damlası
Karışımlardaki stabilitesi   Göz damlası   Karışımlardaki stabilitesi : Amphotericin B liposomale     
veri yok

  Mentions Légales