Letztes “update” :
18/03/2026
Antifungoid   Amphotericin B liposomale  
Augentropfen
Injektion
Stabilität von pharmazeutischen Präparaten Gemengestabilität Stabilitätbeeinflussende Faktoren Kompatibilitäten Literaturverzeichnis pdf
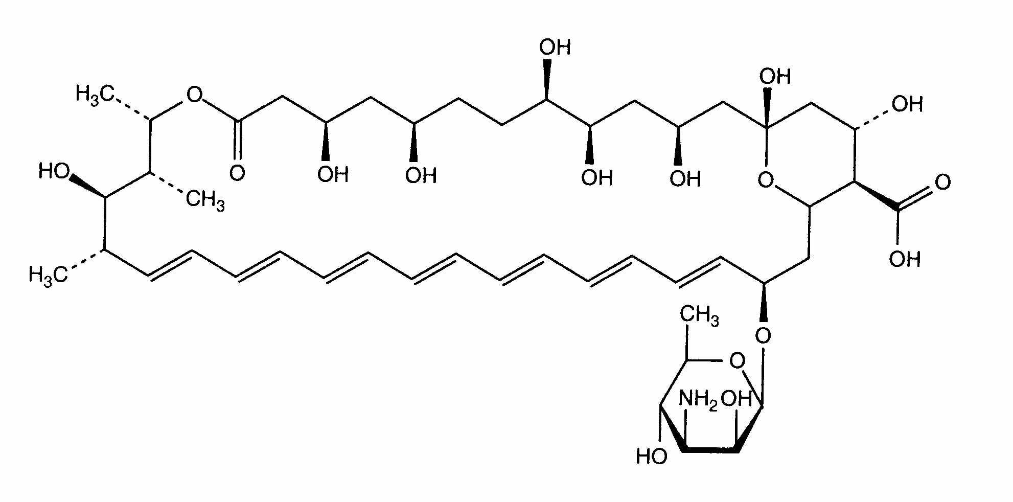
Liposom   Chemische Struktur  

Augentropfen
Gemengestabilität   Augentropfen   Gemengestabilität : Amphotericin B liposomale     
Keine Daten

  Mentions Légales