Última actualización :
18/03/2026
Antifúngico   Amphotericin B liposomale  
Gotas oculares
Inyectables
La estabilidad de las preparaciones farmacéuticas Estabilidad en mezcla Factores que influyen sobre la estabilidad Compatibilidades Bibliografía pdf
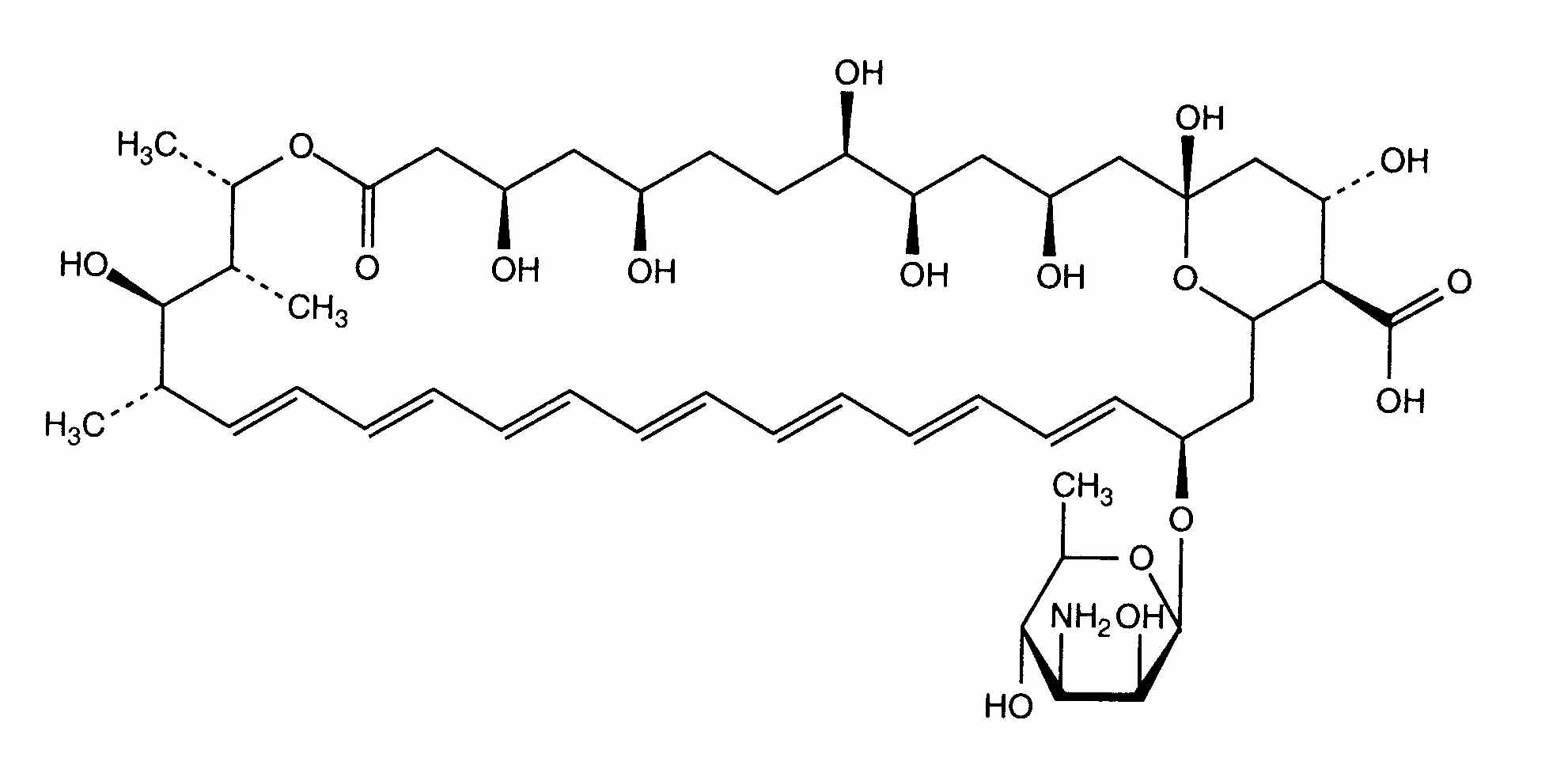
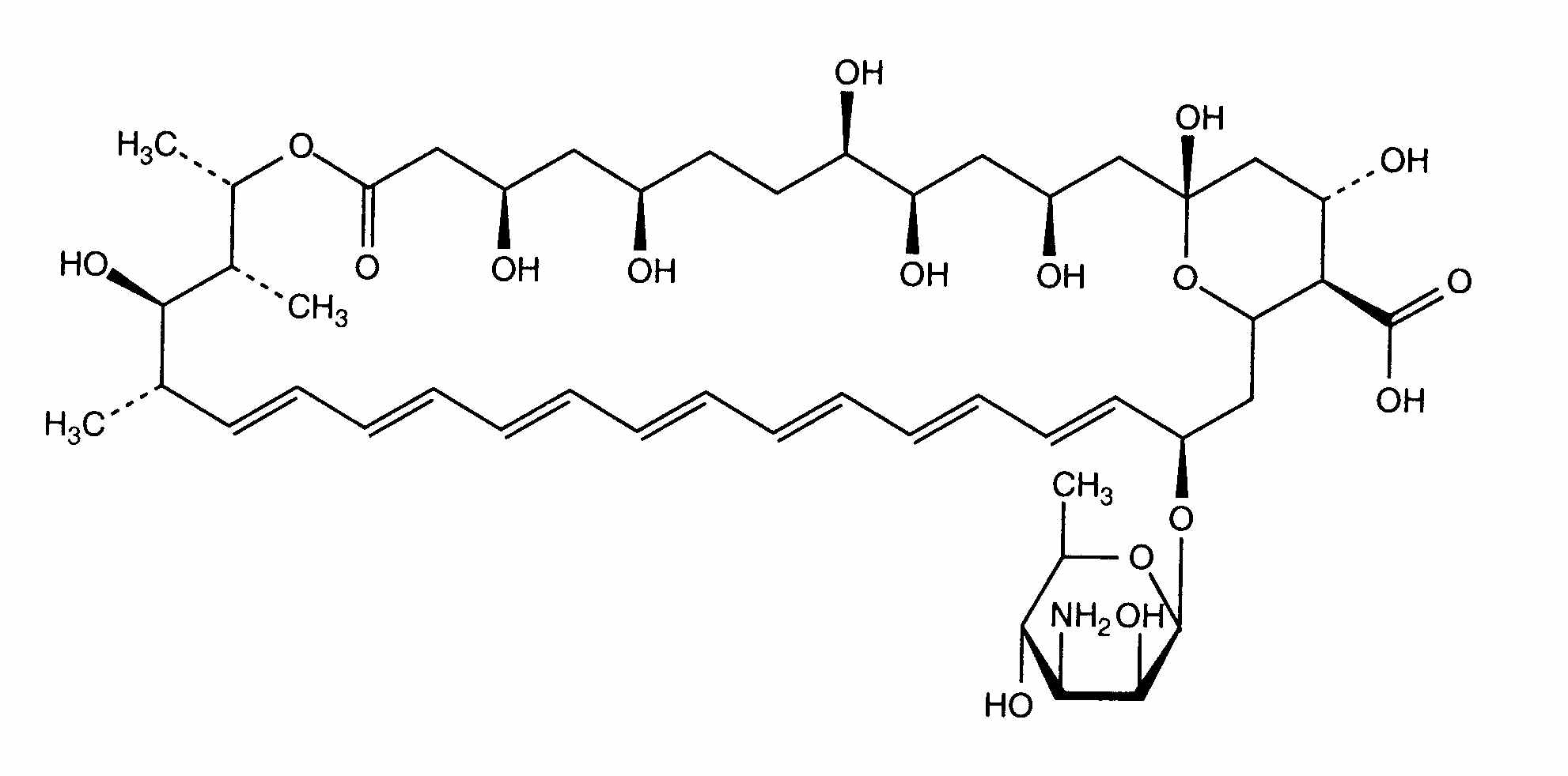
Liposoma   Estructura química  

Gotas oculares
Estabilidad en mezcla   Gotas oculares   Estabilidad en mezcla : Amphotericin B liposomale     
Ausencia de datos

  Mentions Légales