Posledná aktualizácia :
18/03/2026
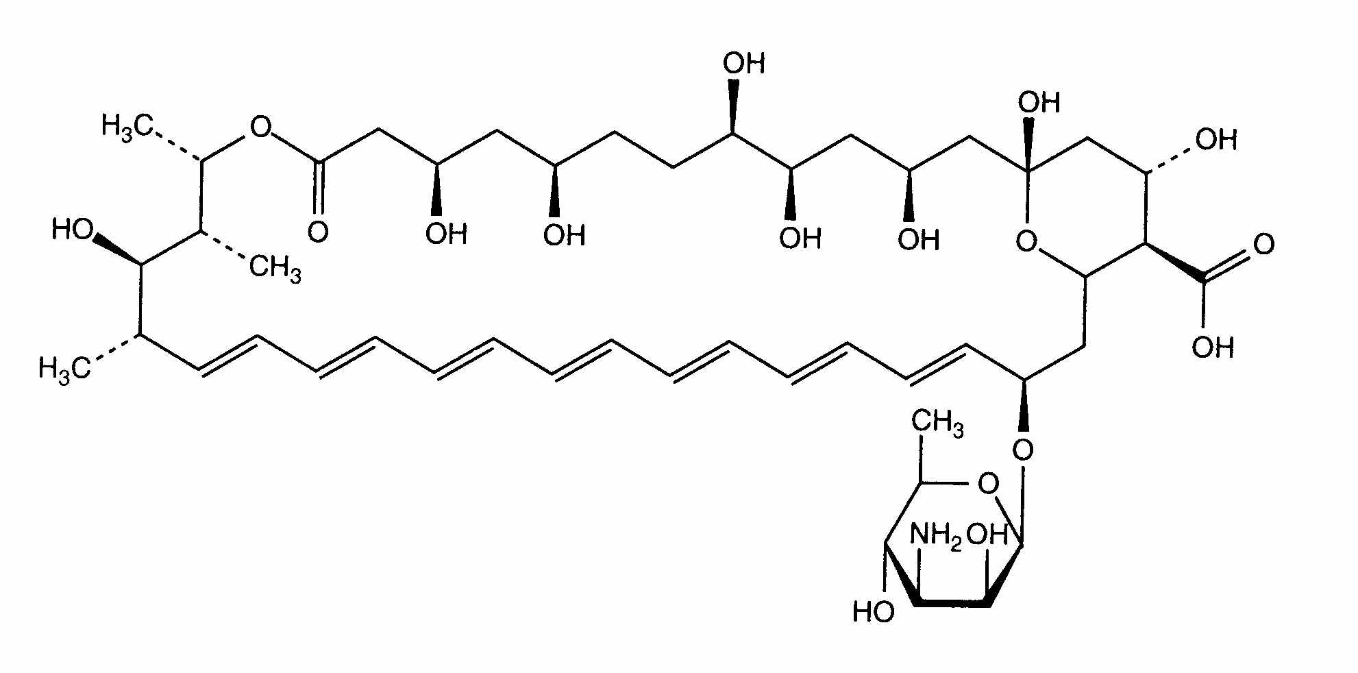
antimykotikum   Amphotericin B liposomale  
Očná instilácia
Injekcia
Stabilita farmaceutických prípravkov Stabilita v zmesiach Faktory ovplyvňujúce stabilitu Kompatibility Odkazy na literatúru PDF
lipozóm   Chemický vzorec  

Očná instilácia
Stabilita v zmesiach   Očná instilácia   Stabilita v zmesiach : Amphotericin B liposomale     
žiadne údaje

  Mentions Légales