Cập nhật lần cuối :
18/03/2026
Thuốc chống nấm   Amphotericin B liposomale  
Thuốc nhỏ mắt
Dạng tiêm
Tính ổn định của các chế phẩm Độ ổn định khi trộn lẫn Những yếu tố ảnh hưởng đến độ ổn định Khả năng tương thích Tài liệu tham khảo Pdf
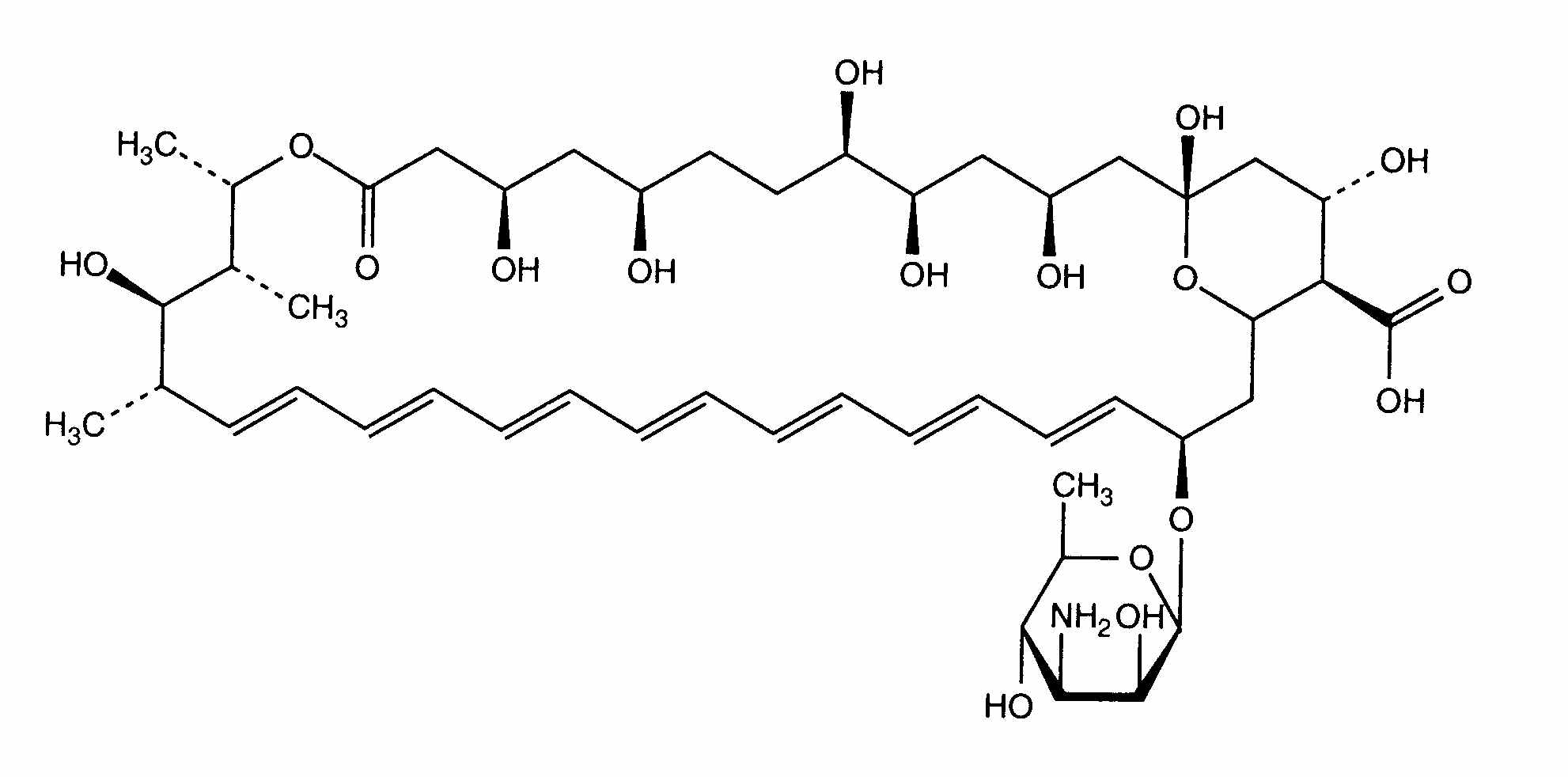
Liposome   Cấu trúc hóa học  

Thuốc nhỏ mắt
Độ ổn định khi trộn lẫn   Thuốc nhỏ mắt   Độ ổn định khi trộn lẫn : Amphotericin B liposomale     
Không có dữ liệu

  Mentions Légales