最新更新 :
18/03/2026
抗真菌药   Amphotericin B liposomale  
眼药水
注射液
制剂的稳定性 混合物稳定性 影响稳定性的因素 兼容性 引用文献 PDF
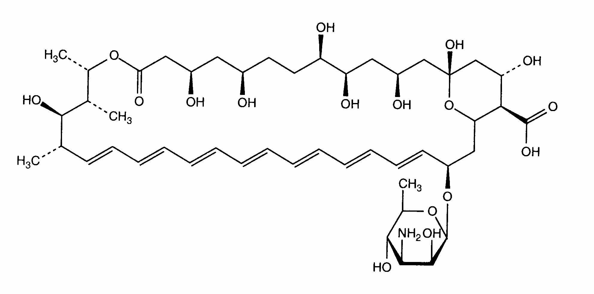
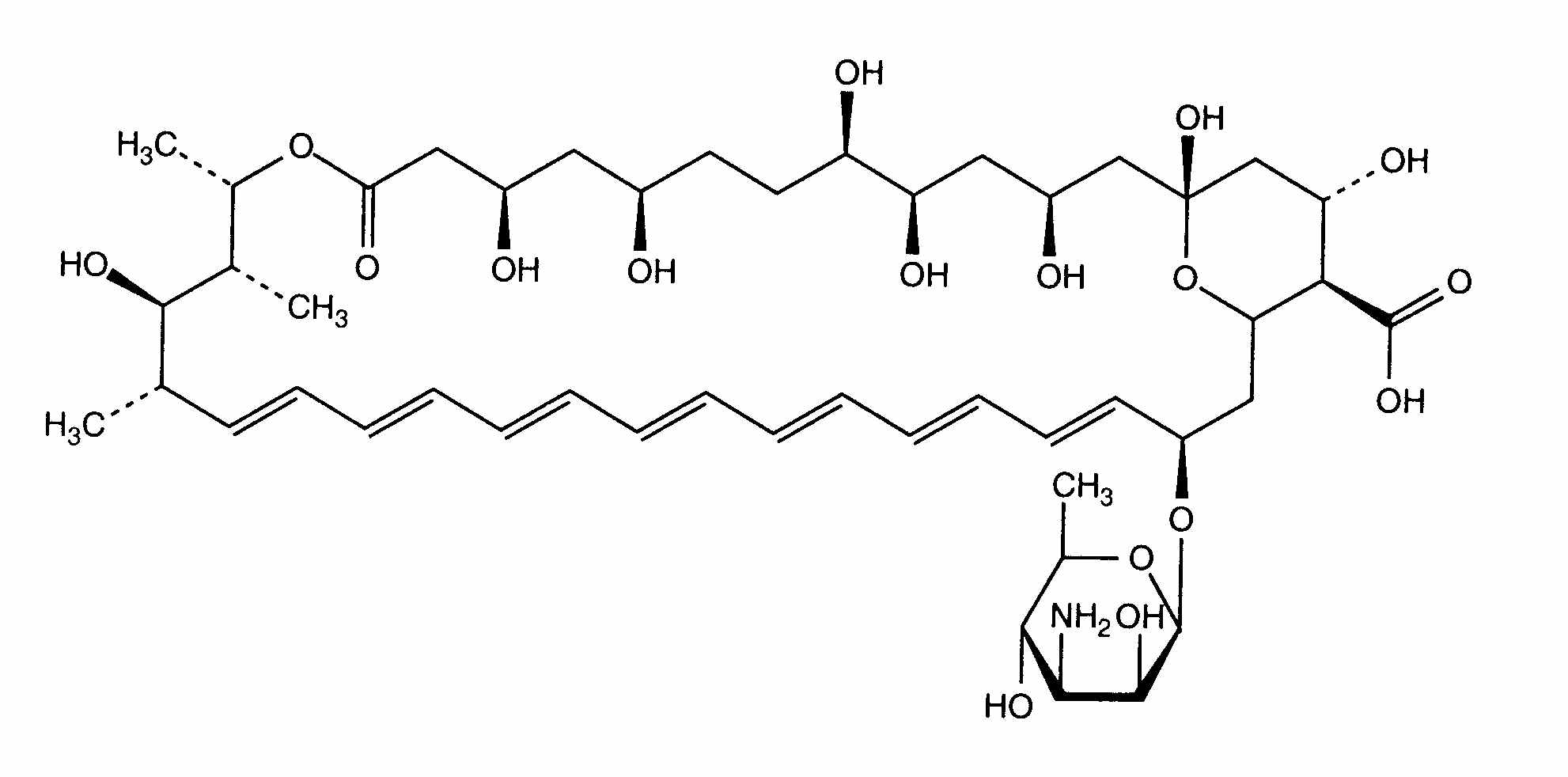
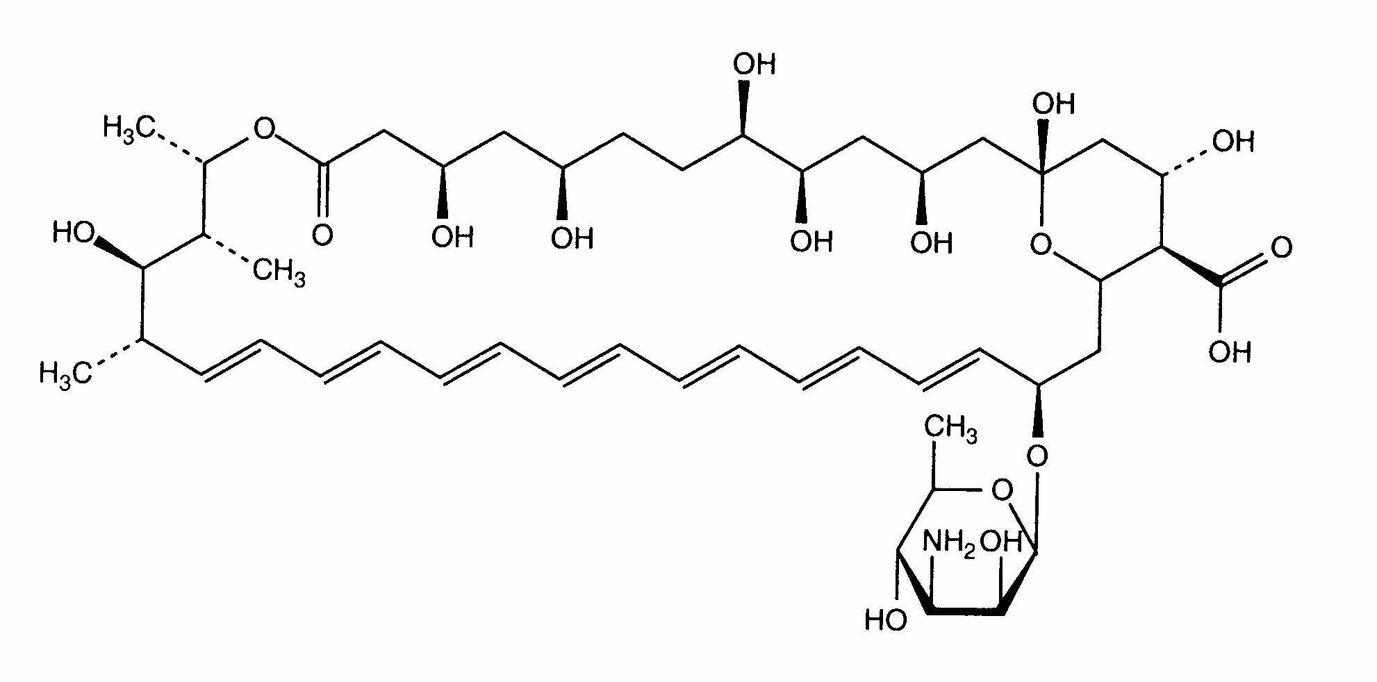
脂質體   化学式  

眼药水
混合物稳定性   眼药水   混合物稳定性 : Amphotericin B liposomale     
无数据

  Mentions Légales