Ultimo aggiornamento :
18/03/2026
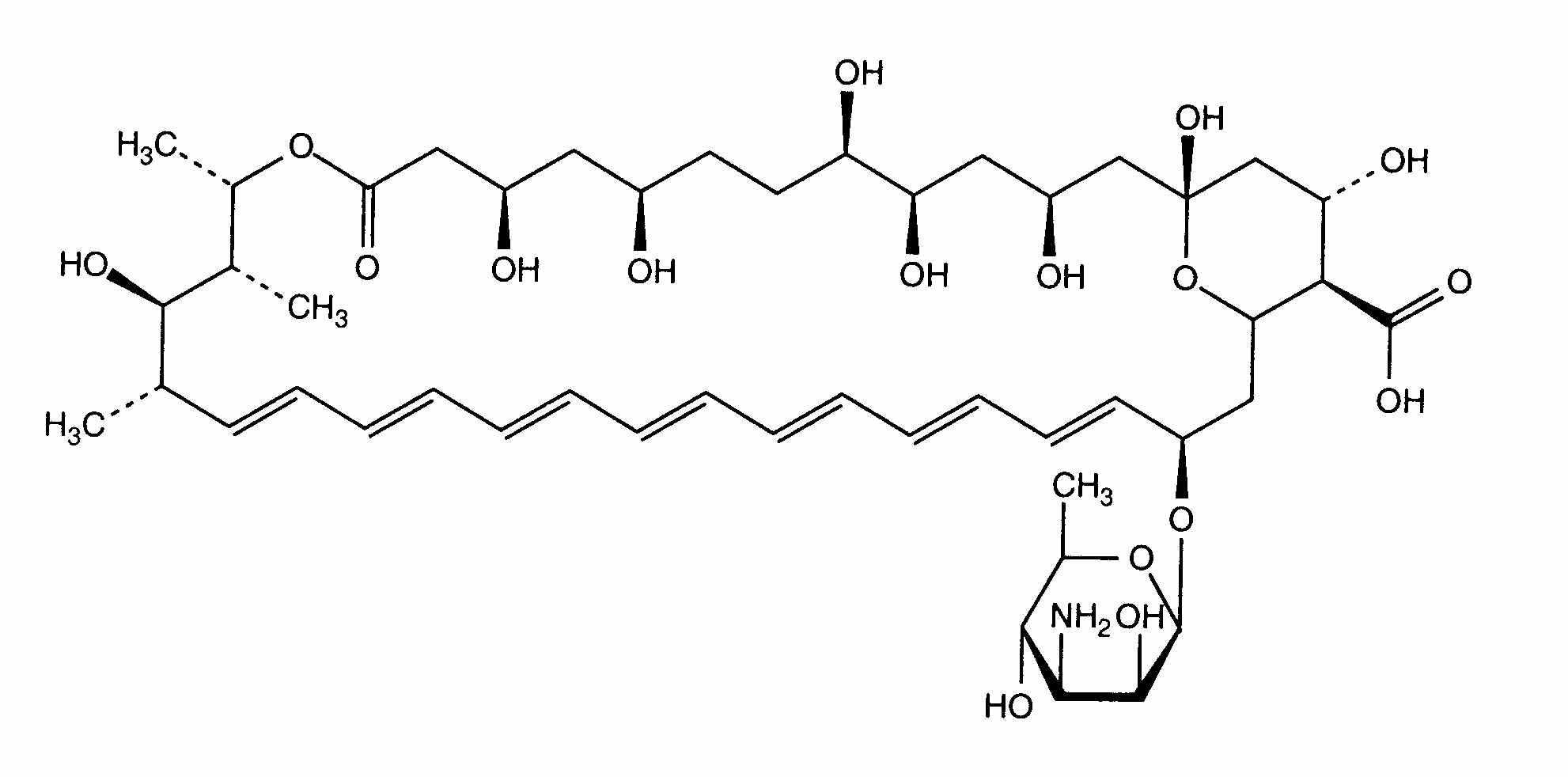
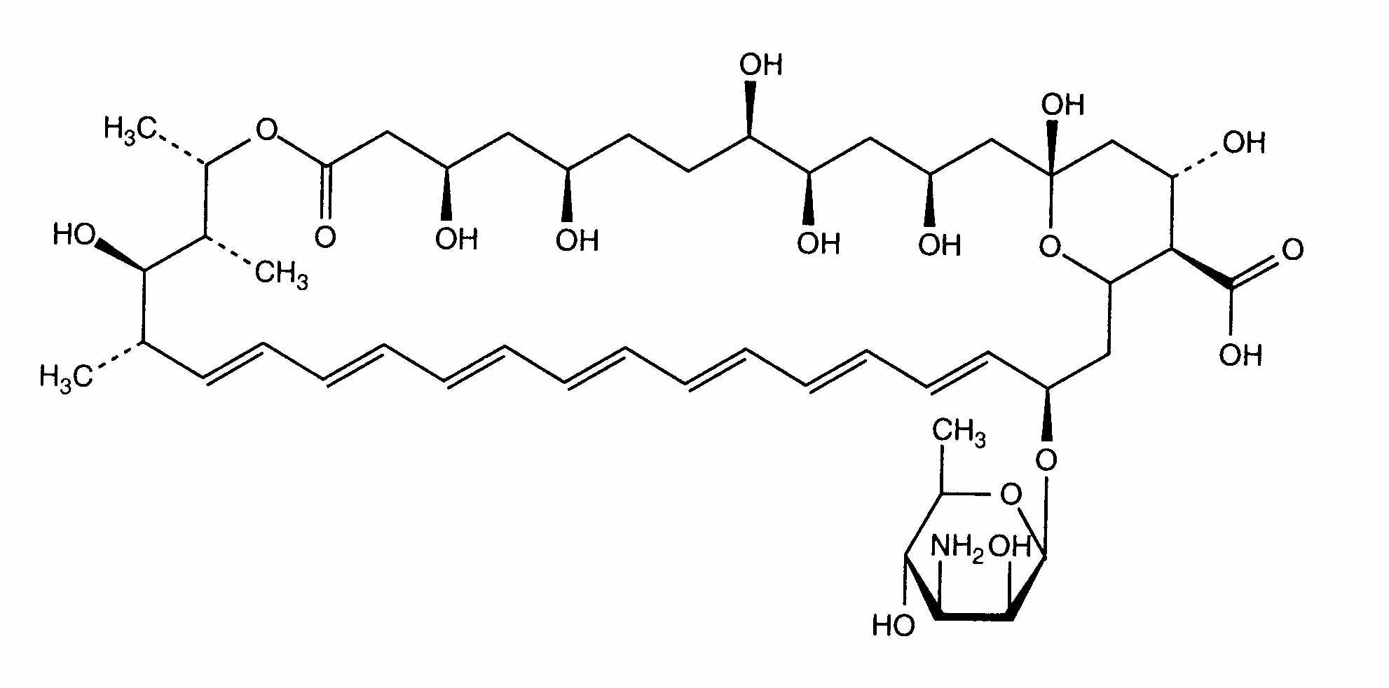
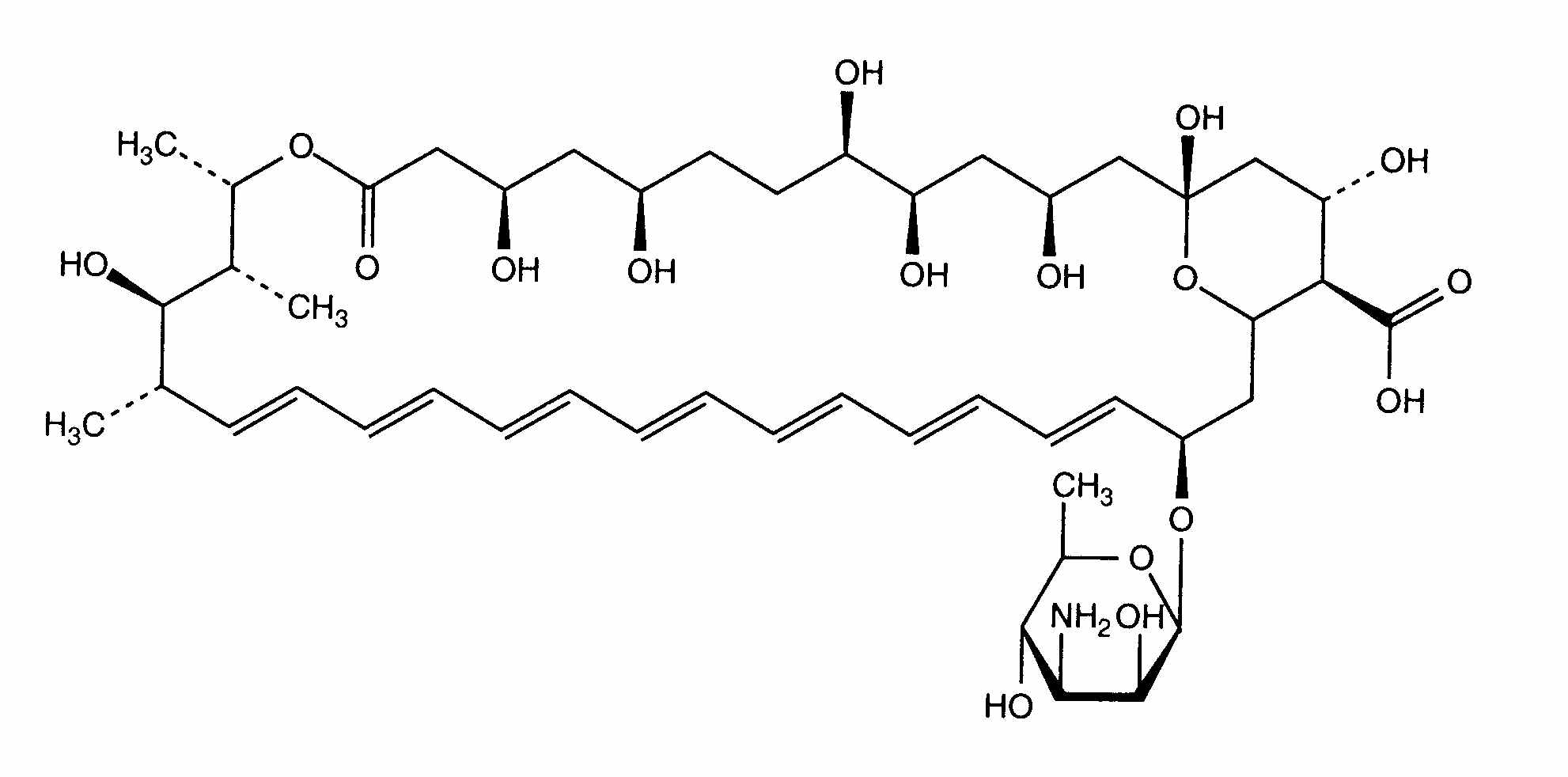
Antimicotico   Amphotericin B liposomale  
Collirio
Iniezione
Stabilità dei preparati farmaceutici Stabilità in miscela Fattori che influenzano la stabilità Compatibilità Bibliografia pdf
Liposoma   Struttura chimica  

Collirio
Stabilità in miscela   Collirio   Stabilità in miscela : Amphotericin B liposomale     
Assenza di dati

  Mentions Légales