Poslední aktualizace :
18/03/2026
Priešgrybelinis vaistas   Amphotericin B liposomale  
Akių lašai
Įpurškimas
Stabilumas farmacinių preparatų Mišinių stabilumas Stabilumą lemiantys veiksniai Suderinamumas Bibliografija pdf
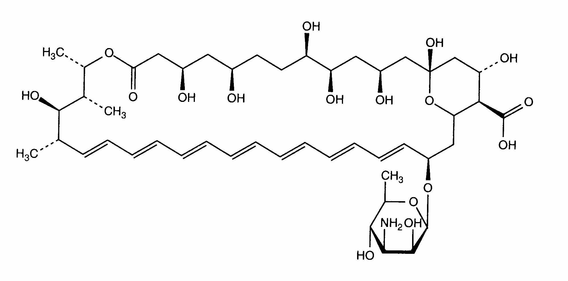
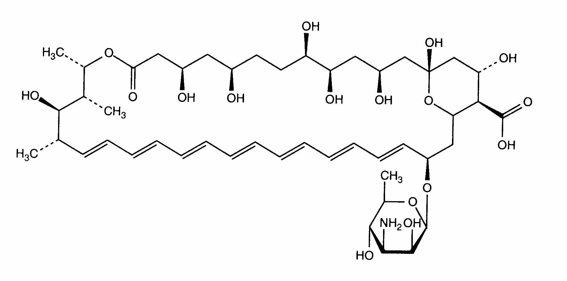
Liposoma   Cheminė sandara  

Akių lašai
Mišinių stabilumas   Akių lašai   Mišinių stabilumas : Amphotericin B liposomale     
Nėra duomenų

  Mentions Légales