Utolsó frissítés :
18/03/2026
Gombaellenes szer   Amphotericin B liposomale  
Szemcsepp
Injekció
Stabilitása gyógyszerészeti készítmények A keverékek stabilitása Stabilitást befolyásoló tényezők Kompatibilitás Irodalom pdf
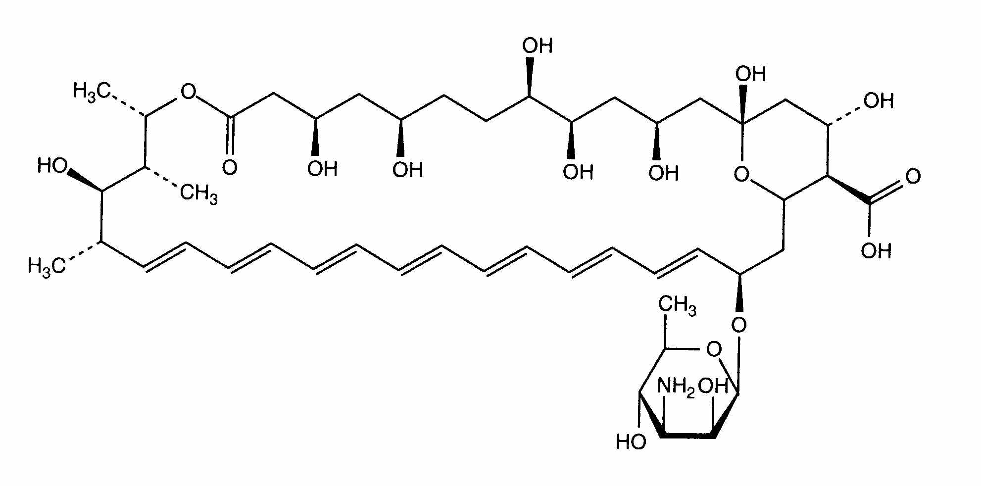
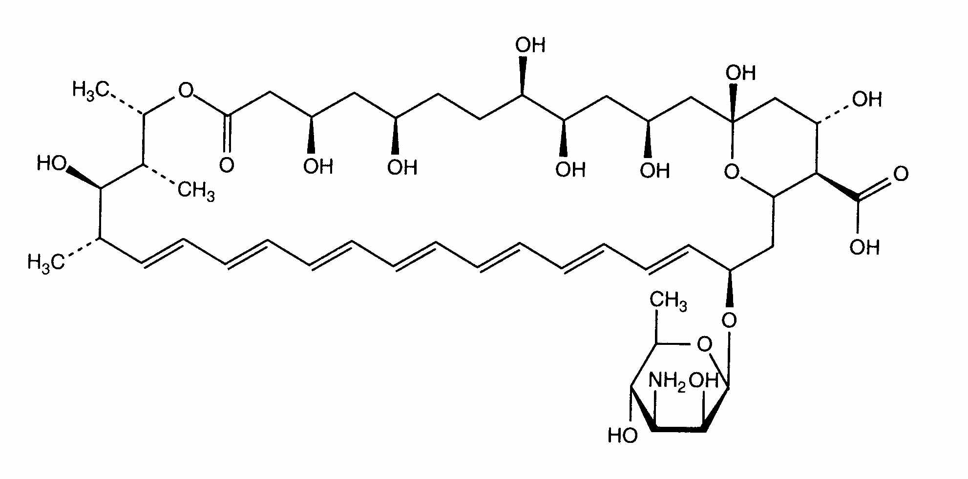
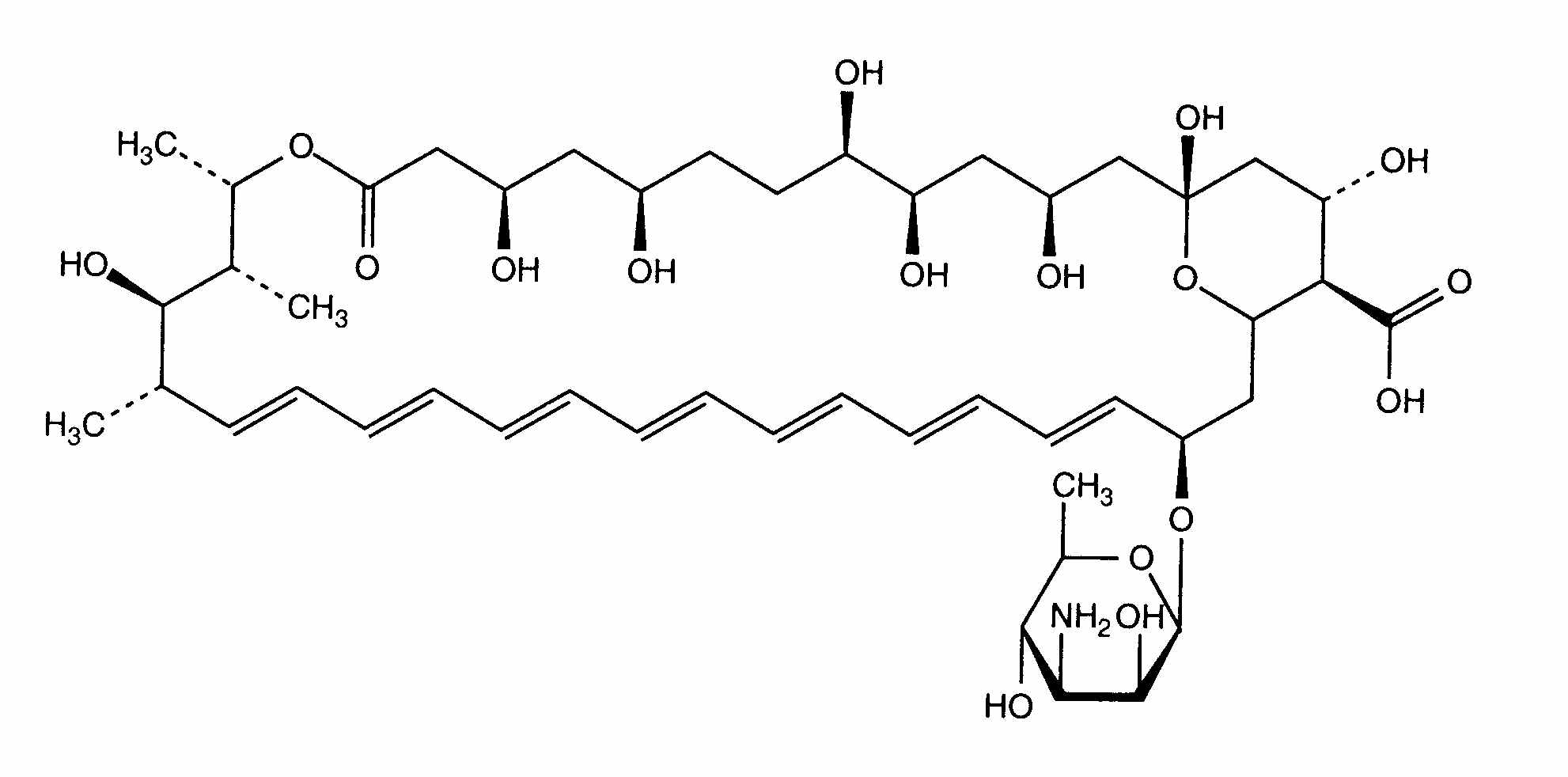
Liposzóma   Kémiai szerkezet   

Szemcsepp
A keverékek stabilitása   Szemcsepp   A keverékek stabilitása : Amphotericin B liposomale     
Hiányzó adat

  Mentions Légales